Senaste uppdateringen :
27/04/2026
Analgetikum   Hydromorphone hydrochloride  
injektion
Lösningars stabilitet Stabilitet i blandningar Faktorer som påverkar stabiliteten Kompatibilitet Administreringssätt Hänvisningar pdf
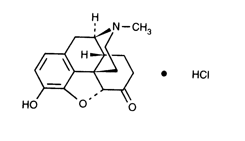
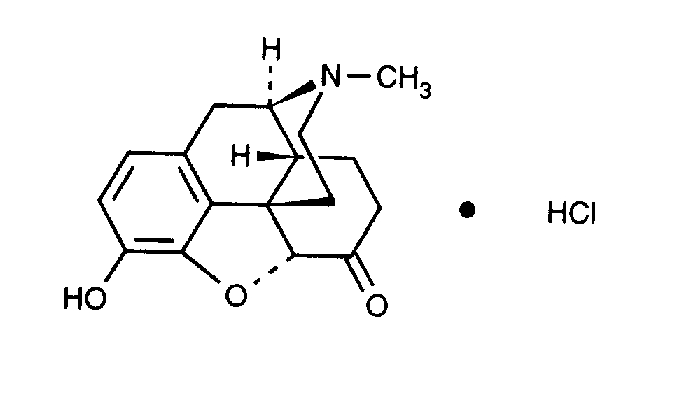
   Molekylstruktur  

Varunamn   Varunamn     

Angivna handelsnamn på läkemedel är enbart vägledande då formulering inklusive hjälpämnen kan variera mellan länder och tillverkare

Dilaudid Förenta Staterna, Kanada
Hydal Österrike
Palladon Danmark, Schweiz
Palladone Storbritannien
Stabilitet i blandningar   injektion   Stabilitet i blandningar : Hydromorphone hydrochloride     
Behållare Lösningsmedel Koncentration Substans Temperatur Förvaring Stabilitets varaktighet Hänvisningar
Glas Natriumklorid 0,9 % 0,25 mg/ml
injektion   Hydromorphone hydrochloride   
injektion   Granisetron hydrochloride 0,5 mg/ml
20°C-23°C
4 Timma
Skyddas från ljus 57
Evidensnivå A+
Glas Natriumklorid 0,9 % 0,2 mg/ml
injektion   Hydromorphone hydrochloride   
injektion   Ketamine hydrochloride 0,2 >> 1 mg/ml
25°C
7 Dag
Skyddas från ljus 2336
Evidensnivå D
Glas Natriumklorid 0,9 % 0,05 mg/ml
injektion   Hydromorphone hydrochloride   
injektion   Morphine hydrochloride 0,25 mg/ml
25°C
15 Dag
Ej angiven 4667
Evidensnivå D
Glas Natriumklorid 0,9 % 0,05 mg/ml
injektion   Hydromorphone hydrochloride   
injektion   Morphine hydrochloride 0,25 mg/ml
37°C
15 Dag
Ej angiven 4667
Evidensnivå D
Glas Glukos 5 % 0,1 & 1 mg/ml
injektion   Hydromorphone hydrochloride   
injektion   Tacrolimus 5 & 20 µg/ml
23°C-25°C
4 Timma
Ljus 814
Evidensnivå A
Glas Ingen 2 & 10 & 40 mg/ml
injektion   Hydromorphone hydrochloride   
injektion   Dimenhydrinate 50 mg/ml
23°C
24 Timma
Ej angiven 1497
Evidensnivå B
Glas Ingen 0,25 mg/ml
injektion   Hydromorphone hydrochloride   
injektion   Palonosetron hydrochloride 25 µg/ml
25°C
4 Timma
Ljus 2196
Evidensnivå A+
Glas Ingen 2 & 10 & 40 mg/ml
injektion   Hydromorphone hydrochloride   
injektion   Dimenhydrinate 50 mg/ml
37°C
24 Timma
Ej angiven 1497
Evidensnivå B
Glas Ingen 2 & 10 & 40 mg/ml
injektion   Hydromorphone hydrochloride   
injektion   Dimenhydrinate 50 mg/ml
4°C
24 Timma
Skyddas från ljus 1497
Evidensnivå B
Polyvinylklorid Natriumklorid 0,9 % 0,5 mg/ml
injektion   Hydromorphone hydrochloride   
injektion   Fluorouracil 1 & 16 mg/ml
-20°C
35 Dag
Skyddas från ljus 513
Evidensnivå A+
Polyvinylklorid Natriumklorid 0,9 % 20 mg/ml
injektion   Hydromorphone hydrochloride   
injektion   Esketamine 20 mg/ml
22°C
7 Dag
Ej angiven 4664
Evidensnivå D
Polyvinylklorid Natriumklorid 0,9 % 0,5 mg/ml
injektion   Hydromorphone hydrochloride   
injektion   Ondansetron hydrochloride 0,1 & 1 mg/ml
22°C
31 Dag
Ej angiven 6
Evidensnivå A+
Polyvinylklorid Natriumklorid 0,9 % 0,5 mg/ml
injektion   Hydromorphone hydrochloride   
injektion   Fluorouracil 16 mg/ml
23°C
7 Dag
Ej angiven 513
Evidensnivå A+
Polyvinylklorid Natriumklorid 0,9 % 0,5 mg/ml
injektion   Hydromorphone hydrochloride   
injektion   Fluorouracil 1 mg/ml
23°C
35 Dag
Ej angiven 513
Evidensnivå A+
Polyvinylklorid Natriumklorid 0,9 % 0,02 & 0,1 mg/ml
injektion   Hydromorphone hydrochloride   
injektion   Bupivacaine hydrochloride 0,62 & 1,2 mg/ml
23°C-25°C
72 Timma
Ljus 306
Evidensnivå A
Polyvinylklorid Natriumklorid 0,9 % 0,2 mg/ml
injektion   Hydromorphone hydrochloride   
injektion   Ketamine hydrochloride 0,2 >> 1 mg/ml
25°C
7 Dag
Skyddas från ljus 2336
Evidensnivå D
Polyvinylklorid Natriumklorid 0,9 % 0,05 mg/ml
injektion   Hydromorphone hydrochloride   
injektion   Morphine hydrochloride 0,25 mg/ml
25°C
15 Dag
Ej angiven 4667
Evidensnivå D
Polyvinylklorid Natriumklorid 0,9 % 0.0015 mg/ml
injektion   Hydromorphone hydrochloride   
injektion   Bupivacaine hydrochloride 0.5 mg/ml
25°C
30 Dag
Ej angiven 4746
Evidensnivå A
Polyvinylklorid Natriumklorid 0,9 % 0.03 mg/ml
injektion   Hydromorphone hydrochloride   
injektion   Bupivacaine hydrochloride 0.5 mg/ml
25°C
30 Dag
Ej angiven 4746
Evidensnivå A
Polyvinylklorid Natriumklorid 0,9 % 0.03 mg/ml
injektion   Hydromorphone hydrochloride   
injektion   Bupivacaine hydrochloride 2.5 mg/ml
25°C
30 Dag
Ej angiven 4746
Evidensnivå A
Polyvinylklorid Natriumklorid 0,9 % 0.0015 mg/ml
injektion   Hydromorphone hydrochloride   
injektion   Bupivacaine hydrochloride 2.5 mg/ml
25°C
30 Dag
Ej angiven 4746
Evidensnivå A
Polyvinylklorid Natriumklorid 0,9 % 0,5 mg/ml
injektion   Hydromorphone hydrochloride   
injektion   Fluorouracil 16 mg/ml
32°C
3 Dag
Ej angiven 513
Evidensnivå A+
Polyvinylklorid Natriumklorid 0,9 % 0,5 mg/ml
injektion   Hydromorphone hydrochloride   
injektion   Ondansetron hydrochloride 0,1 & 1 mg/ml
32°C
7 Dag
Ej angiven 6
Evidensnivå A+
Polyvinylklorid Natriumklorid 0,9 % 0,5 mg/ml
injektion   Hydromorphone hydrochloride   
injektion   Fluorouracil 1 mg/ml
32°C
7 Dag
Ej angiven 513
Evidensnivå A+
Polyvinylklorid Natriumklorid 0,9 % 20 mg/ml
injektion   Hydromorphone hydrochloride   
injektion   Esketamine 20 mg/ml
37°C
7 Dag
Ej angiven 4664
Evidensnivå D
Polyvinylklorid Natriumklorid 0,9 % 0,05 mg/ml
injektion   Hydromorphone hydrochloride   
injektion   Morphine hydrochloride 0,25 mg/ml
37°C
15 Dag
Ej angiven 4667
Evidensnivå D
Polyvinylklorid Natriumklorid 0,9 % 0,5 mg/ml
injektion   Hydromorphone hydrochloride   
injektion   Ondansetron hydrochloride 0,1 & 1 mg/ml
4°C
31 Dag
Skyddas från ljus 6
Evidensnivå A+
Polyvinylklorid Natriumklorid 0,9 % 0,5 mg/ml
injektion   Hydromorphone hydrochloride   
injektion   Fluorouracil 1 & 16 mg/ml
4°C
35 Dag
Skyddas från ljus 513
Evidensnivå A+
Polyvinylklorid Natriumklorid 0,9 % 0.0015 mg/ml
injektion   Hydromorphone hydrochloride   
injektion   Bupivacaine hydrochloride 0.5 mg/ml
4°C
30 Dag
Ej angiven 4746
Evidensnivå A
Polyvinylklorid Natriumklorid 0,9 % 0.03 mg/ml
injektion   Hydromorphone hydrochloride   
injektion   Bupivacaine hydrochloride 0.5 mg/ml
4°C
30 Dag
Ej angiven 4746
Evidensnivå A
Polyvinylklorid Natriumklorid 0,9 % 0.03 mg/ml
injektion   Hydromorphone hydrochloride   
injektion   Bupivacaine hydrochloride 2.5 mg/ml
4°C
30 Dag
Ej angiven 4746
Evidensnivå A
Polyvinylklorid Natriumklorid 0,9 % 0.0015 mg/ml
injektion   Hydromorphone hydrochloride   
injektion   Bupivacaine hydrochloride 2.5 mg/ml
4°C
30 Dag
Ej angiven 4746
Evidensnivå A
Polyvinylklorid Natriumklorid 0,9 % 0,5 mg/ml
injektion   Hydromorphone hydrochloride   
injektion   Ondansetron hydrochloride 0,1 & 1 mg/ml
4°C-22°C
31 Dag
Ej angiven 6
Evidensnivå A+
Polyvinylklorid Natriumklorid 0,9 % 0,5 mg/ml
injektion   Hydromorphone hydrochloride   
injektion   Granisetron hydrochloride 0,056 mg/ml
4°C-22°C
31 Timma
Ej angiven 6
Evidensnivå A+
Polyvinylklorid Natriumklorid 0,9 % 0,5 mg/ml
injektion   Hydromorphone hydrochloride   
injektion   Granisetron hydrochloride 0,056 mg/ml
4°C-22°C
31 Timma
Ej angiven 6
Evidensnivå A+
Polyvinylklorid Glukos 5 % 0,5 mg/ml
injektion   Hydromorphone hydrochloride   
injektion   Fluorouracil 1 & 16 mg/ml
-20°C
35 Dag
Skyddas från ljus 513
Evidensnivå A+
Polyvinylklorid Glukos 5 % 0,5 mg/ml
injektion   Hydromorphone hydrochloride   
injektion   Fluorouracil 16 mg/ml
23°C
7 Dag
Ej angiven 513
Evidensnivå A+
Polyvinylklorid Glukos 5 % 0,5 mg/ml
injektion   Hydromorphone hydrochloride   
injektion   Fluorouracil 1 mg/ml
23°C
35 Dag
Ej angiven 513
Evidensnivå A+
Polyvinylklorid Glukos 5 % 0,5 mg/ml
injektion   Hydromorphone hydrochloride   
injektion   Fluorouracil 16 mg/ml
32°C
3 Dag
Ej angiven 513
Evidensnivå A+
Polyvinylklorid Glukos 5 % 0,5 mg/ml
injektion   Hydromorphone hydrochloride   
injektion   Fluorouracil 1 mg/ml
32°C
7 Dag
Ej angiven 513
Evidensnivå A+
Polyvinylklorid Glukos 5 % 0,5 mg/ml
injektion   Hydromorphone hydrochloride   
injektion   Fluorouracil 1 & 16 mg/ml
4°C
35 Dag
Skyddas från ljus 513
Evidensnivå A+
Polyetylen Natriumklorid 0,9 % 0,05 mg/ml
injektion   Hydromorphone hydrochloride   
injektion   Morphine hydrochloride 0,25 mg/ml
25°C
15 Dag
Ej angiven 4667
Evidensnivå D
Polyetylen Natriumklorid 0,9 % 0,05 mg/ml
injektion   Hydromorphone hydrochloride   
injektion   Morphine hydrochloride 0,25 mg/ml
37°C
15 Dag
Ej angiven 4667
Evidensnivå D
Polyolefin Natriumklorid 0,9 % 0.0015 mg/ml
injektion   Hydromorphone hydrochloride   
injektion   Bupivacaine hydrochloride 0.5 mg/ml
25°C
30 Dag
Ej angiven 4746
Evidensnivå A
Polyolefin Natriumklorid 0,9 % 0.03 mg/ml
injektion   Hydromorphone hydrochloride   
injektion   Bupivacaine hydrochloride 0.5 mg/ml
25°C
30 Dag
Ej angiven 4746
Evidensnivå A
Polyolefin Natriumklorid 0,9 % 0.03 mg/ml
injektion   Hydromorphone hydrochloride   
injektion   Bupivacaine hydrochloride 2.5 mg/ml
25°C
30 Dag
Ej angiven 4746
Evidensnivå A
Polyolefin Natriumklorid 0,9 % 0.0015 mg/ml
injektion   Hydromorphone hydrochloride   
injektion   Bupivacaine hydrochloride 2.5 mg/ml
25°C
30 Dag
Ej angiven 4746
Evidensnivå A
Polyolefin Natriumklorid 0,9 % 0.0015 mg/ml
injektion   Hydromorphone hydrochloride   
injektion   Bupivacaine hydrochloride 0.5 mg/ml
4°C
30 Dag
Ej angiven 4746
Evidensnivå A
Polyolefin Natriumklorid 0,9 % 0.03 mg/ml
injektion   Hydromorphone hydrochloride   
injektion   Bupivacaine hydrochloride 0.5 mg/ml
4°C
30 Dag
Ej angiven 4746
Evidensnivå A
Polyolefin Natriumklorid 0,9 % 0.03 mg/ml
injektion   Hydromorphone hydrochloride   
injektion   Bupivacaine hydrochloride 2.5 mg/ml
4°C
30 Dag
Ej angiven 4746
Evidensnivå A
Polyolefin Natriumklorid 0,9 % 0.0015 mg/ml
injektion   Hydromorphone hydrochloride   
injektion   Bupivacaine hydrochloride 2.5 mg/ml
4°C
30 Dag
Ej angiven 4746
Evidensnivå A
Spruta polypropen Natriumklorid 0,9 % 0,02 & 0,04 mg/ml
injektion   Hydromorphone hydrochloride   
injektion   Bupivacaine hydrochloride 2,5 mg/ml
22°C
91 Dag
Ljus 1931
Evidensnivå A
Spruta polypropen Natriumklorid 0,9 % 0,2 mg/ml
injektion   Hydromorphone hydrochloride   
injektion   Ketamine hydrochloride 0,2 >> 1 mg/ml
25°C
7 Dag
Skyddas från ljus 2336
Evidensnivå D
Spruta polypropen Natriumklorid 0,9 % 10 mg/ml
injektion   Hydromorphone hydrochloride   
injektion   Scopolamine hydrobromide 0,04 mg/ml
injektion   Famotidine 0,4 mg/ml
injektion   Haloperidol lactate 0,5 mg/ml
injektion   Dimenhydrinate 5 mg/ml
25°C
12 Timma
Ej angiven 2166
Spruta polypropen Natriumklorid 0,9 % 10 mg/ml
injektion   Hydromorphone hydrochloride   
injektion   Famotidine 0,4 mg/ml
injektion   Midazolam hydrochloride 1 mg/ml
25°C
96 Timma
Ej angiven 2166
Spruta polypropen Natriumklorid 0,9 % 10 mg/ml
injektion   Hydromorphone hydrochloride   
injektion   Haloperidol lactate 0,5 mg/ml
injektion   Metoclopramide hydrochloride 0,5 mg/ml
25°C
96 Timma
Ej angiven 2166
Spruta polypropen Natriumklorid 0,9 % 10 mg/ml
injektion   Hydromorphone hydrochloride   
injektion   Famotidine 0,4 mg/ml
injektion   Metoclopramide hydrochloride 0,5 mg/ml
Stolpiller   Ketoprofene   
25°C
96 Timma
Ej angiven 2166
Spruta polypropen Natriumklorid 0,9 % 10 mg/ml
injektion   Hydromorphone hydrochloride   
injektion   Scopolamine hydrobromide 0,04 mg/ml
injektion   Famotidine 0,4 mg/ml
injektion   Haloperidol lactate 0,5 mg/ml
injektion   Dimenhydrinate 5 mg/ml
4°C
12 Timma
Ej angiven 2166
Spruta polypropen Natriumklorid 0,9 % 10 mg/ml
injektion   Hydromorphone hydrochloride   
injektion   Famotidine 0,4 mg/ml
injektion   Midazolam hydrochloride 1 mg/ml
4°C
96 Timma
Ej angiven 2166
Spruta polypropen Natriumklorid 0,9 % 10 mg/ml
injektion   Hydromorphone hydrochloride   
injektion   Famotidine 0,4 mg/ml
injektion   Metoclopramide hydrochloride 0,5 mg/ml
injektion   Ketorolac tromethamine 1,5 mg/ml
4°C
96 Timma
Ej angiven 2166
Spruta polypropen Natriumklorid 0,9 % 0,02 & 0,04 mg/ml
injektion   Hydromorphone hydrochloride   
injektion   Bupivacaine hydrochloride 2,5 mg/ml
6°C
91 Dag
Skyddas från ljus 1931
Evidensnivå A
Polyisopren elastomer Natriumklorid 0,9 % 0,08 mg/ml
injektion   Hydromorphone hydrochloride   
injektion   Fentanyl citrate 16 µg/ml
injektion   Nefopam 0,8 mg/ml
injektion   Ramosetron hydrochloride 12 µg/ml
24°C
4 Dag
Skyddas från ljus 4666
Evidensnivå D
Polyisopren elastomer Natriumklorid 0,9 % 0,08 mg/ml
injektion   Hydromorphone hydrochloride   
injektion   Fentanyl citrate 16 µg/ml
injektion   Nefopam 0,8 mg/ml
injektion   Ondansetron hydrochloride 0,32 mg/ml
24°C
4 Dag
Skyddas från ljus 4666
Evidensnivå D
Ej angiven Natriumklorid 0,9 % 2 & 20 mg/ml
injektion   Hydromorphone hydrochloride   
injektion   Midazolam hydrochloride 0.1 & 0.5 mg/ml
23°C
23 Dag
Skyddas från ljus 345
Evidensnivå A
Ej angiven Natriumklorid 0,9 % 35 mg/ml
injektion   Hydromorphone hydrochloride   
injektion   Ziconotide acetate 25 µg/ml
37°C
19 Dag
Skyddas från ljus 2251
Evidensnivå D
Ej angiven Natriumklorid 0,9 % 50 mg/ml
injektion   Hydromorphone hydrochloride   
injektion   Bupivacaine hydrochloride 24 mg/ml
injektion   Clonidine hydrochloride 2 mg/ml
37°C
90 Dag
Skyddas från ljus 2305
Ej angiven Natriumklorid 0,9 % 2 & 20 mg/ml
injektion   Hydromorphone hydrochloride   
injektion   Midazolam hydrochloride 0.1 & 0.5 mg/ml
4°C
23 Dag
Skyddas från ljus 345
Evidensnivå A
Ej angiven Glukos 5 % 2 & 20 mg/ml
injektion   Hydromorphone hydrochloride   
injektion   Midazolam hydrochloride 0.1 & 0.5 mg/ml
23°C
23 Dag
Skyddas från ljus 345
Evidensnivå A
Ej angiven Glukos 5 % 2 & 20 mg/ml
injektion   Hydromorphone hydrochloride   
injektion   Midazolam hydrochloride 0.1 & 0.5 mg/ml
4°C
23 Dag
Skyddas från ljus 345
Evidensnivå A
Ej angiven Ingen 15 mg/ml
injektion   Hydromorphone hydrochloride   
injektion   Bupivacaine hydrochloride 10 mg/ml
37°C
90 Dag
Skyddas från ljus 4200
Evidensnivå A

  Mentions Légales