Utolsó frissítés :
27/04/2026
Fájdalomcsillapító   Hydromorphone hydrochloride  
Injekció
Az oldatok stabilitása A keverékek stabilitása Stabilitást befolyásoló tényezők Kompatibilitás Az alkalmazás módja Irodalom pdf
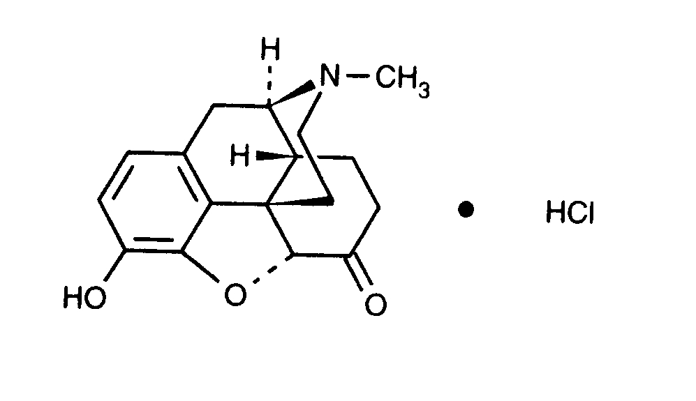
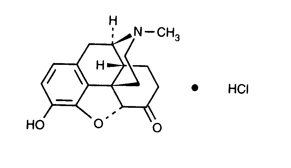
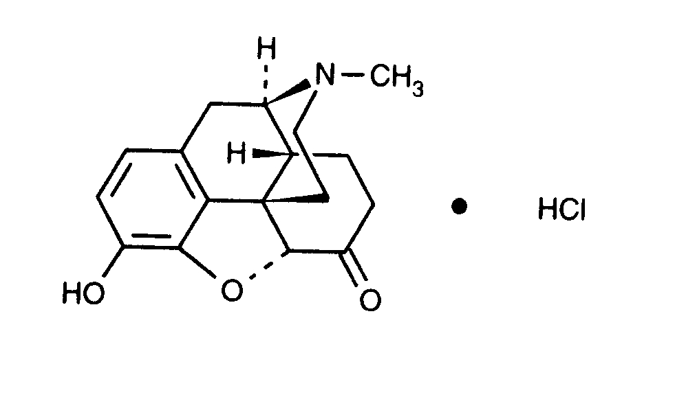
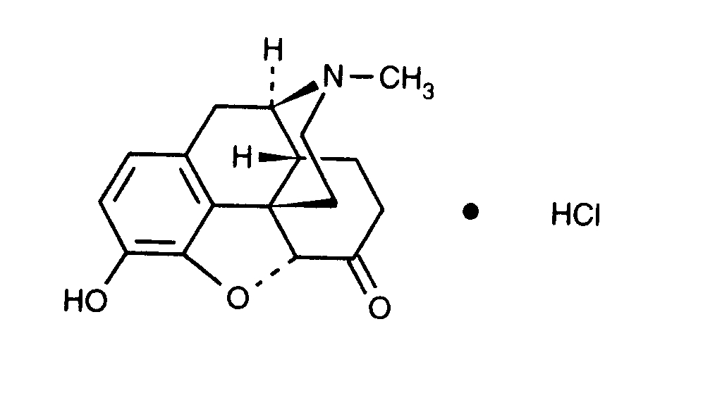
   Kémiai szerkezet   

Kereskedelmi név   Kereskedelmi név     

A kereskedelmi név meghatározó jelentőségű: a készítmények összetétele országonként, előállítóként eltérő lehet

Dilaudid Amerikai Egyesült Államok, Kanada
Hydal Ausztria
Palladon Dánia, Svájc
Palladone Nagy-Britannia
A keverékek stabilitása   Injekció   A keverékek stabilitása : Hydromorphone hydrochloride     
Csomagolás Oldószer Koncentráció Vegyület Hőmérséklet Tárolás A stabilitás időtartama Irodalom
Üveg 0,9% nátrium-klorid 0,25 mg/ml
Injekció   Hydromorphone hydrochloride   
Injekció   Granisetron hydrochloride 0,5 mg/ml
20°C-23°C
4 Óra
Fénytől védve tartandó 57
Szintű bizonyítékot A+
Üveg 0,9% nátrium-klorid 0,2 mg/ml
Injekció   Hydromorphone hydrochloride   
Injekció   Ketamine hydrochloride 0,2 >> 1 mg/ml
25°C
7 Nap
Fénytől védve tartandó 2336
Szintű bizonyítékot D
Üveg 0,9% nátrium-klorid 0,05 mg/ml
Injekció   Hydromorphone hydrochloride   
Injekció   Morphine hydrochloride 0,25 mg/ml
25°C
15 Nap
Nincs meghatározva 4667
Szintű bizonyítékot D
Üveg 0,9% nátrium-klorid 0,05 mg/ml
Injekció   Hydromorphone hydrochloride   
Injekció   Morphine hydrochloride 0,25 mg/ml
37°C
15 Nap
Nincs meghatározva 4667
Szintű bizonyítékot D
Üveg 5% glükóz 0,1 & 1 mg/ml
Injekció   Hydromorphone hydrochloride   
Injekció   Tacrolimus 5 & 20 µg/ml
23°C-25°C
4 Óra
Fény 814
Szintű bizonyítékot A
Üveg Egy sem 2 & 10 & 40 mg/ml
Injekció   Hydromorphone hydrochloride   
Injekció   Dimenhydrinate 50 mg/ml
23°C
24 Óra
Nincs meghatározva 1497
Szintű bizonyítékot B
Üveg Egy sem 0,25 mg/ml
Injekció   Hydromorphone hydrochloride   
Injekció   Palonosetron hydrochloride 25 µg/ml
25°C
4 Óra
Fény 2196
Szintű bizonyítékot A+
Üveg Egy sem 2 & 10 & 40 mg/ml
Injekció   Hydromorphone hydrochloride   
Injekció   Dimenhydrinate 50 mg/ml
37°C
24 Óra
Nincs meghatározva 1497
Szintű bizonyítékot B
Üveg Egy sem 2 & 10 & 40 mg/ml
Injekció   Hydromorphone hydrochloride   
Injekció   Dimenhydrinate 50 mg/ml
4°C
24 Óra
Fénytől védve tartandó 1497
Szintű bizonyítékot B
Poli(vinilklorid) 0,9% nátrium-klorid 0,5 mg/ml
Injekció   Hydromorphone hydrochloride   
Injekció   Fluorouracil 1 & 16 mg/ml
-20°C
35 Nap
Fénytől védve tartandó 513
Szintű bizonyítékot A+
Poli(vinilklorid) 0,9% nátrium-klorid 20 mg/ml
Injekció   Hydromorphone hydrochloride   
Injekció   Esketamine 20 mg/ml
22°C
7 Nap
Nincs meghatározva 4664
Szintű bizonyítékot D
Poli(vinilklorid) 0,9% nátrium-klorid 0,5 mg/ml
Injekció   Hydromorphone hydrochloride   
Injekció   Ondansetron hydrochloride 0,1 & 1 mg/ml
22°C
31 Nap
Nincs meghatározva 6
Szintű bizonyítékot A+
Poli(vinilklorid) 0,9% nátrium-klorid 0,5 mg/ml
Injekció   Hydromorphone hydrochloride   
Injekció   Fluorouracil 16 mg/ml
23°C
7 Nap
Nincs meghatározva 513
Szintű bizonyítékot A+
Poli(vinilklorid) 0,9% nátrium-klorid 0,5 mg/ml
Injekció   Hydromorphone hydrochloride   
Injekció   Fluorouracil 1 mg/ml
23°C
35 Nap
Nincs meghatározva 513
Szintű bizonyítékot A+
Poli(vinilklorid) 0,9% nátrium-klorid 0,02 & 0,1 mg/ml
Injekció   Hydromorphone hydrochloride   
Injekció   Bupivacaine hydrochloride 0,62 & 1,2 mg/ml
23°C-25°C
72 Óra
Fény 306
Szintű bizonyítékot A
Poli(vinilklorid) 0,9% nátrium-klorid 0,2 mg/ml
Injekció   Hydromorphone hydrochloride   
Injekció   Ketamine hydrochloride 0,2 >> 1 mg/ml
25°C
7 Nap
Fénytől védve tartandó 2336
Szintű bizonyítékot D
Poli(vinilklorid) 0,9% nátrium-klorid 0,05 mg/ml
Injekció   Hydromorphone hydrochloride   
Injekció   Morphine hydrochloride 0,25 mg/ml
25°C
15 Nap
Nincs meghatározva 4667
Szintű bizonyítékot D
Poli(vinilklorid) 0,9% nátrium-klorid 0.0015 mg/ml
Injekció   Hydromorphone hydrochloride   
Injekció   Bupivacaine hydrochloride 0.5 mg/ml
25°C
30 Nap
Nincs meghatározva 4746
Szintű bizonyítékot A
Poli(vinilklorid) 0,9% nátrium-klorid 0.03 mg/ml
Injekció   Hydromorphone hydrochloride   
Injekció   Bupivacaine hydrochloride 0.5 mg/ml
25°C
30 Nap
Nincs meghatározva 4746
Szintű bizonyítékot A
Poli(vinilklorid) 0,9% nátrium-klorid 0.03 mg/ml
Injekció   Hydromorphone hydrochloride   
Injekció   Bupivacaine hydrochloride 2.5 mg/ml
25°C
30 Nap
Nincs meghatározva 4746
Szintű bizonyítékot A
Poli(vinilklorid) 0,9% nátrium-klorid 0.0015 mg/ml
Injekció   Hydromorphone hydrochloride   
Injekció   Bupivacaine hydrochloride 2.5 mg/ml
25°C
30 Nap
Nincs meghatározva 4746
Szintű bizonyítékot A
Poli(vinilklorid) 0,9% nátrium-klorid 0,5 mg/ml
Injekció   Hydromorphone hydrochloride   
Injekció   Fluorouracil 16 mg/ml
32°C
3 Nap
Nincs meghatározva 513
Szintű bizonyítékot A+
Poli(vinilklorid) 0,9% nátrium-klorid 0,5 mg/ml
Injekció   Hydromorphone hydrochloride   
Injekció   Ondansetron hydrochloride 0,1 & 1 mg/ml
32°C
7 Nap
Nincs meghatározva 6
Szintű bizonyítékot A+
Poli(vinilklorid) 0,9% nátrium-klorid 0,5 mg/ml
Injekció   Hydromorphone hydrochloride   
Injekció   Fluorouracil 1 mg/ml
32°C
7 Nap
Nincs meghatározva 513
Szintű bizonyítékot A+
Poli(vinilklorid) 0,9% nátrium-klorid 20 mg/ml
Injekció   Hydromorphone hydrochloride   
Injekció   Esketamine 20 mg/ml
37°C
7 Nap
Nincs meghatározva 4664
Szintű bizonyítékot D
Poli(vinilklorid) 0,9% nátrium-klorid 0,05 mg/ml
Injekció   Hydromorphone hydrochloride   
Injekció   Morphine hydrochloride 0,25 mg/ml
37°C
15 Nap
Nincs meghatározva 4667
Szintű bizonyítékot D
Poli(vinilklorid) 0,9% nátrium-klorid 0,5 mg/ml
Injekció   Hydromorphone hydrochloride   
Injekció   Ondansetron hydrochloride 0,1 & 1 mg/ml
4°C
31 Nap
Fénytől védve tartandó 6
Szintű bizonyítékot A+
Poli(vinilklorid) 0,9% nátrium-klorid 0,5 mg/ml
Injekció   Hydromorphone hydrochloride   
Injekció   Fluorouracil 1 & 16 mg/ml
4°C
35 Nap
Fénytől védve tartandó 513
Szintű bizonyítékot A+
Poli(vinilklorid) 0,9% nátrium-klorid 0.0015 mg/ml
Injekció   Hydromorphone hydrochloride   
Injekció   Bupivacaine hydrochloride 0.5 mg/ml
4°C
30 Nap
Nincs meghatározva 4746
Szintű bizonyítékot A
Poli(vinilklorid) 0,9% nátrium-klorid 0.03 mg/ml
Injekció   Hydromorphone hydrochloride   
Injekció   Bupivacaine hydrochloride 0.5 mg/ml
4°C
30 Nap
Nincs meghatározva 4746
Szintű bizonyítékot A
Poli(vinilklorid) 0,9% nátrium-klorid 0.03 mg/ml
Injekció   Hydromorphone hydrochloride   
Injekció   Bupivacaine hydrochloride 2.5 mg/ml
4°C
30 Nap
Nincs meghatározva 4746
Szintű bizonyítékot A
Poli(vinilklorid) 0,9% nátrium-klorid 0.0015 mg/ml
Injekció   Hydromorphone hydrochloride   
Injekció   Bupivacaine hydrochloride 2.5 mg/ml
4°C
30 Nap
Nincs meghatározva 4746
Szintű bizonyítékot A
Poli(vinilklorid) 0,9% nátrium-klorid 0,5 mg/ml
Injekció   Hydromorphone hydrochloride   
Injekció   Ondansetron hydrochloride 0,1 & 1 mg/ml
4°C-22°C
31 Nap
Nincs meghatározva 6
Szintű bizonyítékot A+
Poli(vinilklorid) 0,9% nátrium-klorid 0,5 mg/ml
Injekció   Hydromorphone hydrochloride   
Injekció   Granisetron hydrochloride 0,056 mg/ml
4°C-22°C
31 Óra
Nincs meghatározva 6
Szintű bizonyítékot A+
Poli(vinilklorid) 0,9% nátrium-klorid 0,5 mg/ml
Injekció   Hydromorphone hydrochloride   
Injekció   Granisetron hydrochloride 0,056 mg/ml
4°C-22°C
31 Óra
Nincs meghatározva 6
Szintű bizonyítékot A+
Poli(vinilklorid) 5% glükóz 0,5 mg/ml
Injekció   Hydromorphone hydrochloride   
Injekció   Fluorouracil 1 & 16 mg/ml
-20°C
35 Nap
Fénytől védve tartandó 513
Szintű bizonyítékot A+
Poli(vinilklorid) 5% glükóz 0,5 mg/ml
Injekció   Hydromorphone hydrochloride   
Injekció   Fluorouracil 16 mg/ml
23°C
7 Nap
Nincs meghatározva 513
Szintű bizonyítékot A+
Poli(vinilklorid) 5% glükóz 0,5 mg/ml
Injekció   Hydromorphone hydrochloride   
Injekció   Fluorouracil 1 mg/ml
23°C
35 Nap
Nincs meghatározva 513
Szintű bizonyítékot A+
Poli(vinilklorid) 5% glükóz 0,5 mg/ml
Injekció   Hydromorphone hydrochloride   
Injekció   Fluorouracil 16 mg/ml
32°C
3 Nap
Nincs meghatározva 513
Szintű bizonyítékot A+
Poli(vinilklorid) 5% glükóz 0,5 mg/ml
Injekció   Hydromorphone hydrochloride   
Injekció   Fluorouracil 1 mg/ml
32°C
7 Nap
Nincs meghatározva 513
Szintű bizonyítékot A+
Poli(vinilklorid) 5% glükóz 0,5 mg/ml
Injekció   Hydromorphone hydrochloride   
Injekció   Fluorouracil 1 & 16 mg/ml
4°C
35 Nap
Fénytől védve tartandó 513
Szintű bizonyítékot A+
Polietilén 0,9% nátrium-klorid 0,05 mg/ml
Injekció   Hydromorphone hydrochloride   
Injekció   Morphine hydrochloride 0,25 mg/ml
25°C
15 Nap
Nincs meghatározva 4667
Szintű bizonyítékot D
Polietilén 0,9% nátrium-klorid 0,05 mg/ml
Injekció   Hydromorphone hydrochloride   
Injekció   Morphine hydrochloride 0,25 mg/ml
37°C
15 Nap
Nincs meghatározva 4667
Szintű bizonyítékot D
Poliolefin 0,9% nátrium-klorid 0.0015 mg/ml
Injekció   Hydromorphone hydrochloride   
Injekció   Bupivacaine hydrochloride 0.5 mg/ml
25°C
30 Nap
Nincs meghatározva 4746
Szintű bizonyítékot A
Poliolefin 0,9% nátrium-klorid 0.03 mg/ml
Injekció   Hydromorphone hydrochloride   
Injekció   Bupivacaine hydrochloride 0.5 mg/ml
25°C
30 Nap
Nincs meghatározva 4746
Szintű bizonyítékot A
Poliolefin 0,9% nátrium-klorid 0.03 mg/ml
Injekció   Hydromorphone hydrochloride   
Injekció   Bupivacaine hydrochloride 2.5 mg/ml
25°C
30 Nap
Nincs meghatározva 4746
Szintű bizonyítékot A
Poliolefin 0,9% nátrium-klorid 0.0015 mg/ml
Injekció   Hydromorphone hydrochloride   
Injekció   Bupivacaine hydrochloride 2.5 mg/ml
25°C
30 Nap
Nincs meghatározva 4746
Szintű bizonyítékot A
Poliolefin 0,9% nátrium-klorid 0.0015 mg/ml
Injekció   Hydromorphone hydrochloride   
Injekció   Bupivacaine hydrochloride 0.5 mg/ml
4°C
30 Nap
Nincs meghatározva 4746
Szintű bizonyítékot A
Poliolefin 0,9% nátrium-klorid 0.03 mg/ml
Injekció   Hydromorphone hydrochloride   
Injekció   Bupivacaine hydrochloride 0.5 mg/ml
4°C
30 Nap
Nincs meghatározva 4746
Szintű bizonyítékot A
Poliolefin 0,9% nátrium-klorid 0.03 mg/ml
Injekció   Hydromorphone hydrochloride   
Injekció   Bupivacaine hydrochloride 2.5 mg/ml
4°C
30 Nap
Nincs meghatározva 4746
Szintű bizonyítékot A
Poliolefin 0,9% nátrium-klorid 0.0015 mg/ml
Injekció   Hydromorphone hydrochloride   
Injekció   Bupivacaine hydrochloride 2.5 mg/ml
4°C
30 Nap
Nincs meghatározva 4746
Szintű bizonyítékot A
fecskendő polipropilén 0,9% nátrium-klorid 0,02 & 0,04 mg/ml
Injekció   Hydromorphone hydrochloride   
Injekció   Bupivacaine hydrochloride 2,5 mg/ml
22°C
91 Nap
Fény 1931
Szintű bizonyítékot A
fecskendő polipropilén 0,9% nátrium-klorid 0,2 mg/ml
Injekció   Hydromorphone hydrochloride   
Injekció   Ketamine hydrochloride 0,2 >> 1 mg/ml
25°C
7 Nap
Fénytől védve tartandó 2336
Szintű bizonyítékot D
fecskendő polipropilén 0,9% nátrium-klorid 10 mg/ml
Injekció   Hydromorphone hydrochloride   
Injekció   Scopolamine hydrobromide 0,04 mg/ml
Injekció   Famotidine 0,4 mg/ml
Injekció   Haloperidol lactate 0,5 mg/ml
Injekció   Dimenhydrinate 5 mg/ml
25°C
12 Óra
Nincs meghatározva 2166
fecskendő polipropilén 0,9% nátrium-klorid 10 mg/ml
Injekció   Hydromorphone hydrochloride   
Injekció   Famotidine 0,4 mg/ml
Injekció   Midazolam hydrochloride 1 mg/ml
25°C
96 Óra
Nincs meghatározva 2166
fecskendő polipropilén 0,9% nátrium-klorid 10 mg/ml
Injekció   Hydromorphone hydrochloride   
Injekció   Haloperidol lactate 0,5 mg/ml
Injekció   Metoclopramide hydrochloride 0,5 mg/ml
25°C
96 Óra
Nincs meghatározva 2166
fecskendő polipropilén 0,9% nátrium-klorid 10 mg/ml
Injekció   Hydromorphone hydrochloride   
Injekció   Famotidine 0,4 mg/ml
Injekció   Metoclopramide hydrochloride 0,5 mg/ml
kúp   Ketoprofene   
25°C
96 Óra
Nincs meghatározva 2166
fecskendő polipropilén 0,9% nátrium-klorid 10 mg/ml
Injekció   Hydromorphone hydrochloride   
Injekció   Scopolamine hydrobromide 0,04 mg/ml
Injekció   Famotidine 0,4 mg/ml
Injekció   Haloperidol lactate 0,5 mg/ml
Injekció   Dimenhydrinate 5 mg/ml
4°C
12 Óra
Nincs meghatározva 2166
fecskendő polipropilén 0,9% nátrium-klorid 10 mg/ml
Injekció   Hydromorphone hydrochloride   
Injekció   Famotidine 0,4 mg/ml
Injekció   Midazolam hydrochloride 1 mg/ml
4°C
96 Óra
Nincs meghatározva 2166
fecskendő polipropilén 0,9% nátrium-klorid 10 mg/ml
Injekció   Hydromorphone hydrochloride   
Injekció   Famotidine 0,4 mg/ml
Injekció   Metoclopramide hydrochloride 0,5 mg/ml
Injekció   Ketorolac tromethamine 1,5 mg/ml
4°C
96 Óra
Nincs meghatározva 2166
fecskendő polipropilén 0,9% nátrium-klorid 0,02 & 0,04 mg/ml
Injekció   Hydromorphone hydrochloride   
Injekció   Bupivacaine hydrochloride 2,5 mg/ml
6°C
91 Nap
Fénytől védve tartandó 1931
Szintű bizonyítékot A
Poliizoprén elasztomer 0,9% nátrium-klorid 0,08 mg/ml
Injekció   Hydromorphone hydrochloride   
Injekció   Fentanyl citrate 16 µg/ml
Injekció   Nefopam 0,8 mg/ml
Injekció   Ramosetron hydrochloride 12 µg/ml
24°C
4 Nap
Fénytől védve tartandó 4666
Szintű bizonyítékot D
Poliizoprén elasztomer 0,9% nátrium-klorid 0,08 mg/ml
Injekció   Hydromorphone hydrochloride   
Injekció   Fentanyl citrate 16 µg/ml
Injekció   Nefopam 0,8 mg/ml
Injekció   Ondansetron hydrochloride 0,32 mg/ml
24°C
4 Nap
Fénytől védve tartandó 4666
Szintű bizonyítékot D
Nincs meghatározva 0,9% nátrium-klorid 2 & 20 mg/ml
Injekció   Hydromorphone hydrochloride   
Injekció   Midazolam hydrochloride 0.1 & 0.5 mg/ml
23°C
23 Nap
Fénytől védve tartandó 345
Szintű bizonyítékot A
Nincs meghatározva 0,9% nátrium-klorid 35 mg/ml
Injekció   Hydromorphone hydrochloride   
Injekció   Ziconotide acetate 25 µg/ml
37°C
19 Nap
Fénytől védve tartandó 2251
Szintű bizonyítékot D
Nincs meghatározva 0,9% nátrium-klorid 50 mg/ml
Injekció   Hydromorphone hydrochloride   
Injekció   Bupivacaine hydrochloride 24 mg/ml
Injekció   Clonidine hydrochloride 2 mg/ml
37°C
90 Nap
Fénytől védve tartandó 2305
Nincs meghatározva 0,9% nátrium-klorid 2 & 20 mg/ml
Injekció   Hydromorphone hydrochloride   
Injekció   Midazolam hydrochloride 0.1 & 0.5 mg/ml
4°C
23 Nap
Fénytől védve tartandó 345
Szintű bizonyítékot A
Nincs meghatározva 5% glükóz 2 & 20 mg/ml
Injekció   Hydromorphone hydrochloride   
Injekció   Midazolam hydrochloride 0.1 & 0.5 mg/ml
23°C
23 Nap
Fénytől védve tartandó 345
Szintű bizonyítékot A
Nincs meghatározva 5% glükóz 2 & 20 mg/ml
Injekció   Hydromorphone hydrochloride   
Injekció   Midazolam hydrochloride 0.1 & 0.5 mg/ml
4°C
23 Nap
Fénytől védve tartandó 345
Szintű bizonyítékot A
Nincs meghatározva Egy sem 15 mg/ml
Injekció   Hydromorphone hydrochloride   
Injekció   Bupivacaine hydrochloride 10 mg/ml
37°C
90 Nap
Fénytől védve tartandó 4200
Szintű bizonyítékot A

  Mentions Légales