Siste oppdatering :
27/04/2026
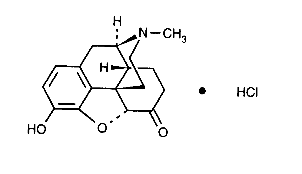
Analgetika   Hydromorphone hydrochloride  
Injeksjon
Oppløsningsstabilitet Stabilitet i blandinger Faktorer som påvirker stabiliteten Kompatibilitet Administrasjonsmåte Referanser pdf
   Kjemisk struktur  

Handelsnavn   Handelsnavn     

Handelsnavn er veiledende og sammensetning av hjelpestoffer kan være forskjellig avhengig av land og produsent

Dilaudid Canada, USA
Hydal Østerrike
Palladon Danmark, Sveits
Palladone Storbritannia
Stabilitet i blandinger   Injeksjon   Stabilitet i blandinger : Hydromorphone hydrochloride     
Beholder Oppløsningsmiddel Konsentrasjon Legemiddel Temperatur Oppbevaring Varighet av stabilitet Referanser
Glass Natriumklorid 0,9 % 0,25 mg/ml
Injeksjon   Hydromorphone hydrochloride   
Injeksjon   Granisetron hydrochloride 0,5 mg/ml
20°C-23°C
4 Tid
Beskyttes mot lys 57
Bevisgrad A +
Glass Natriumklorid 0,9 % 0,2 mg/ml
Injeksjon   Hydromorphone hydrochloride   
Injeksjon   Ketamine hydrochloride 0,2 >> 1 mg/ml
25°C
7 Dag
Beskyttes mot lys 2336
Bevisgrad D
Glass Natriumklorid 0,9 % 0,05 mg/ml
Injeksjon   Hydromorphone hydrochloride   
Injeksjon   Morphine hydrochloride 0,25 mg/ml
25°C
15 Dag
Ikke angitt 4667
Bevisgrad D
Glass Natriumklorid 0,9 % 0,05 mg/ml
Injeksjon   Hydromorphone hydrochloride   
Injeksjon   Morphine hydrochloride 0,25 mg/ml
37°C
15 Dag
Ikke angitt 4667
Bevisgrad D
Glass Glukose 5 % 0,1 & 1 mg/ml
Injeksjon   Hydromorphone hydrochloride   
Injeksjon   Tacrolimus 5 & 20 µg/ml
23°C-25°C
4 Tid
Lys 814
Bevisgrad A
Glass Ingen 2 & 10 & 40 mg/ml
Injeksjon   Hydromorphone hydrochloride   
Injeksjon   Dimenhydrinate 50 mg/ml
23°C
24 Tid
Ikke angitt 1497
Bevisgrad B
Glass Ingen 0,25 mg/ml
Injeksjon   Hydromorphone hydrochloride   
Injeksjon   Palonosetron hydrochloride 25 µg/ml
25°C
4 Tid
Lys 2196
Bevisgrad A +
Glass Ingen 2 & 10 & 40 mg/ml
Injeksjon   Hydromorphone hydrochloride   
Injeksjon   Dimenhydrinate 50 mg/ml
37°C
24 Tid
Ikke angitt 1497
Bevisgrad B
Glass Ingen 2 & 10 & 40 mg/ml
Injeksjon   Hydromorphone hydrochloride   
Injeksjon   Dimenhydrinate 50 mg/ml
4°C
24 Tid
Beskyttes mot lys 1497
Bevisgrad B
Polyvinylklorid Natriumklorid 0,9 % 0,5 mg/ml
Injeksjon   Hydromorphone hydrochloride   
Injeksjon   Fluorouracil 1 & 16 mg/ml
-20°C
35 Dag
Beskyttes mot lys 513
Bevisgrad A +
Polyvinylklorid Natriumklorid 0,9 % 20 mg/ml
Injeksjon   Hydromorphone hydrochloride   
Injeksjon   Esketamine 20 mg/ml
22°C
7 Dag
Ikke angitt 4664
Bevisgrad D
Polyvinylklorid Natriumklorid 0,9 % 0,5 mg/ml
Injeksjon   Hydromorphone hydrochloride   
Injeksjon   Ondansetron hydrochloride 0,1 & 1 mg/ml
22°C
31 Dag
Ikke angitt 6
Bevisgrad A +
Polyvinylklorid Natriumklorid 0,9 % 0,5 mg/ml
Injeksjon   Hydromorphone hydrochloride   
Injeksjon   Fluorouracil 16 mg/ml
23°C
7 Dag
Ikke angitt 513
Bevisgrad A +
Polyvinylklorid Natriumklorid 0,9 % 0,5 mg/ml
Injeksjon   Hydromorphone hydrochloride   
Injeksjon   Fluorouracil 1 mg/ml
23°C
35 Dag
Ikke angitt 513
Bevisgrad A +
Polyvinylklorid Natriumklorid 0,9 % 0,02 & 0,1 mg/ml
Injeksjon   Hydromorphone hydrochloride   
Injeksjon   Bupivacaine hydrochloride 0,62 & 1,2 mg/ml
23°C-25°C
72 Tid
Lys 306
Bevisgrad A
Polyvinylklorid Natriumklorid 0,9 % 0,2 mg/ml
Injeksjon   Hydromorphone hydrochloride   
Injeksjon   Ketamine hydrochloride 0,2 >> 1 mg/ml
25°C
7 Dag
Beskyttes mot lys 2336
Bevisgrad D
Polyvinylklorid Natriumklorid 0,9 % 0,05 mg/ml
Injeksjon   Hydromorphone hydrochloride   
Injeksjon   Morphine hydrochloride 0,25 mg/ml
25°C
15 Dag
Ikke angitt 4667
Bevisgrad D
Polyvinylklorid Natriumklorid 0,9 % 0.0015 mg/ml
Injeksjon   Hydromorphone hydrochloride   
Injeksjon   Bupivacaine hydrochloride 0.5 mg/ml
25°C
30 Dag
Ikke angitt 4746
Bevisgrad A
Polyvinylklorid Natriumklorid 0,9 % 0.03 mg/ml
Injeksjon   Hydromorphone hydrochloride   
Injeksjon   Bupivacaine hydrochloride 0.5 mg/ml
25°C
30 Dag
Ikke angitt 4746
Bevisgrad A
Polyvinylklorid Natriumklorid 0,9 % 0.03 mg/ml
Injeksjon   Hydromorphone hydrochloride   
Injeksjon   Bupivacaine hydrochloride 2.5 mg/ml
25°C
30 Dag
Ikke angitt 4746
Bevisgrad A
Polyvinylklorid Natriumklorid 0,9 % 0.0015 mg/ml
Injeksjon   Hydromorphone hydrochloride   
Injeksjon   Bupivacaine hydrochloride 2.5 mg/ml
25°C
30 Dag
Ikke angitt 4746
Bevisgrad A
Polyvinylklorid Natriumklorid 0,9 % 0,5 mg/ml
Injeksjon   Hydromorphone hydrochloride   
Injeksjon   Fluorouracil 16 mg/ml
32°C
3 Dag
Ikke angitt 513
Bevisgrad A +
Polyvinylklorid Natriumklorid 0,9 % 0,5 mg/ml
Injeksjon   Hydromorphone hydrochloride   
Injeksjon   Ondansetron hydrochloride 0,1 & 1 mg/ml
32°C
7 Dag
Ikke angitt 6
Bevisgrad A +
Polyvinylklorid Natriumklorid 0,9 % 0,5 mg/ml
Injeksjon   Hydromorphone hydrochloride   
Injeksjon   Fluorouracil 1 mg/ml
32°C
7 Dag
Ikke angitt 513
Bevisgrad A +
Polyvinylklorid Natriumklorid 0,9 % 20 mg/ml
Injeksjon   Hydromorphone hydrochloride   
Injeksjon   Esketamine 20 mg/ml
37°C
7 Dag
Ikke angitt 4664
Bevisgrad D
Polyvinylklorid Natriumklorid 0,9 % 0,05 mg/ml
Injeksjon   Hydromorphone hydrochloride   
Injeksjon   Morphine hydrochloride 0,25 mg/ml
37°C
15 Dag
Ikke angitt 4667
Bevisgrad D
Polyvinylklorid Natriumklorid 0,9 % 0,5 mg/ml
Injeksjon   Hydromorphone hydrochloride   
Injeksjon   Ondansetron hydrochloride 0,1 & 1 mg/ml
4°C
31 Dag
Beskyttes mot lys 6
Bevisgrad A +
Polyvinylklorid Natriumklorid 0,9 % 0,5 mg/ml
Injeksjon   Hydromorphone hydrochloride   
Injeksjon   Fluorouracil 1 & 16 mg/ml
4°C
35 Dag
Beskyttes mot lys 513
Bevisgrad A +
Polyvinylklorid Natriumklorid 0,9 % 0.0015 mg/ml
Injeksjon   Hydromorphone hydrochloride   
Injeksjon   Bupivacaine hydrochloride 0.5 mg/ml
4°C
30 Dag
Ikke angitt 4746
Bevisgrad A
Polyvinylklorid Natriumklorid 0,9 % 0.03 mg/ml
Injeksjon   Hydromorphone hydrochloride   
Injeksjon   Bupivacaine hydrochloride 0.5 mg/ml
4°C
30 Dag
Ikke angitt 4746
Bevisgrad A
Polyvinylklorid Natriumklorid 0,9 % 0.03 mg/ml
Injeksjon   Hydromorphone hydrochloride   
Injeksjon   Bupivacaine hydrochloride 2.5 mg/ml
4°C
30 Dag
Ikke angitt 4746
Bevisgrad A
Polyvinylklorid Natriumklorid 0,9 % 0.0015 mg/ml
Injeksjon   Hydromorphone hydrochloride   
Injeksjon   Bupivacaine hydrochloride 2.5 mg/ml
4°C
30 Dag
Ikke angitt 4746
Bevisgrad A
Polyvinylklorid Natriumklorid 0,9 % 0,5 mg/ml
Injeksjon   Hydromorphone hydrochloride   
Injeksjon   Ondansetron hydrochloride 0,1 & 1 mg/ml
4°C-22°C
31 Dag
Ikke angitt 6
Bevisgrad A +
Polyvinylklorid Natriumklorid 0,9 % 0,5 mg/ml
Injeksjon   Hydromorphone hydrochloride   
Injeksjon   Granisetron hydrochloride 0,056 mg/ml
4°C-22°C
31 Tid
Ikke angitt 6
Bevisgrad A +
Polyvinylklorid Natriumklorid 0,9 % 0,5 mg/ml
Injeksjon   Hydromorphone hydrochloride   
Injeksjon   Granisetron hydrochloride 0,056 mg/ml
4°C-22°C
31 Tid
Ikke angitt 6
Bevisgrad A +
Polyvinylklorid Glukose 5 % 0,5 mg/ml
Injeksjon   Hydromorphone hydrochloride   
Injeksjon   Fluorouracil 1 & 16 mg/ml
-20°C
35 Dag
Beskyttes mot lys 513
Bevisgrad A +
Polyvinylklorid Glukose 5 % 0,5 mg/ml
Injeksjon   Hydromorphone hydrochloride   
Injeksjon   Fluorouracil 16 mg/ml
23°C
7 Dag
Ikke angitt 513
Bevisgrad A +
Polyvinylklorid Glukose 5 % 0,5 mg/ml
Injeksjon   Hydromorphone hydrochloride   
Injeksjon   Fluorouracil 1 mg/ml
23°C
35 Dag
Ikke angitt 513
Bevisgrad A +
Polyvinylklorid Glukose 5 % 0,5 mg/ml
Injeksjon   Hydromorphone hydrochloride   
Injeksjon   Fluorouracil 16 mg/ml
32°C
3 Dag
Ikke angitt 513
Bevisgrad A +
Polyvinylklorid Glukose 5 % 0,5 mg/ml
Injeksjon   Hydromorphone hydrochloride   
Injeksjon   Fluorouracil 1 mg/ml
32°C
7 Dag
Ikke angitt 513
Bevisgrad A +
Polyvinylklorid Glukose 5 % 0,5 mg/ml
Injeksjon   Hydromorphone hydrochloride   
Injeksjon   Fluorouracil 1 & 16 mg/ml
4°C
35 Dag
Beskyttes mot lys 513
Bevisgrad A +
Polyetylen Natriumklorid 0,9 % 0,05 mg/ml
Injeksjon   Hydromorphone hydrochloride   
Injeksjon   Morphine hydrochloride 0,25 mg/ml
25°C
15 Dag
Ikke angitt 4667
Bevisgrad D
Polyetylen Natriumklorid 0,9 % 0,05 mg/ml
Injeksjon   Hydromorphone hydrochloride   
Injeksjon   Morphine hydrochloride 0,25 mg/ml
37°C
15 Dag
Ikke angitt 4667
Bevisgrad D
Polyolefin Natriumklorid 0,9 % 0.0015 mg/ml
Injeksjon   Hydromorphone hydrochloride   
Injeksjon   Bupivacaine hydrochloride 0.5 mg/ml
25°C
30 Dag
Ikke angitt 4746
Bevisgrad A
Polyolefin Natriumklorid 0,9 % 0.03 mg/ml
Injeksjon   Hydromorphone hydrochloride   
Injeksjon   Bupivacaine hydrochloride 0.5 mg/ml
25°C
30 Dag
Ikke angitt 4746
Bevisgrad A
Polyolefin Natriumklorid 0,9 % 0.03 mg/ml
Injeksjon   Hydromorphone hydrochloride   
Injeksjon   Bupivacaine hydrochloride 2.5 mg/ml
25°C
30 Dag
Ikke angitt 4746
Bevisgrad A
Polyolefin Natriumklorid 0,9 % 0.0015 mg/ml
Injeksjon   Hydromorphone hydrochloride   
Injeksjon   Bupivacaine hydrochloride 2.5 mg/ml
25°C
30 Dag
Ikke angitt 4746
Bevisgrad A
Polyolefin Natriumklorid 0,9 % 0.0015 mg/ml
Injeksjon   Hydromorphone hydrochloride   
Injeksjon   Bupivacaine hydrochloride 0.5 mg/ml
4°C
30 Dag
Ikke angitt 4746
Bevisgrad A
Polyolefin Natriumklorid 0,9 % 0.03 mg/ml
Injeksjon   Hydromorphone hydrochloride   
Injeksjon   Bupivacaine hydrochloride 0.5 mg/ml
4°C
30 Dag
Ikke angitt 4746
Bevisgrad A
Polyolefin Natriumklorid 0,9 % 0.03 mg/ml
Injeksjon   Hydromorphone hydrochloride   
Injeksjon   Bupivacaine hydrochloride 2.5 mg/ml
4°C
30 Dag
Ikke angitt 4746
Bevisgrad A
Polyolefin Natriumklorid 0,9 % 0.0015 mg/ml
Injeksjon   Hydromorphone hydrochloride   
Injeksjon   Bupivacaine hydrochloride 2.5 mg/ml
4°C
30 Dag
Ikke angitt 4746
Bevisgrad A
Sprøyte polypropylen Natriumklorid 0,9 % 0,02 & 0,04 mg/ml
Injeksjon   Hydromorphone hydrochloride   
Injeksjon   Bupivacaine hydrochloride 2,5 mg/ml
22°C
91 Dag
Lys 1931
Bevisgrad A
Sprøyte polypropylen Natriumklorid 0,9 % 0,2 mg/ml
Injeksjon   Hydromorphone hydrochloride   
Injeksjon   Ketamine hydrochloride 0,2 >> 1 mg/ml
25°C
7 Dag
Beskyttes mot lys 2336
Bevisgrad D
Sprøyte polypropylen Natriumklorid 0,9 % 10 mg/ml
Injeksjon   Hydromorphone hydrochloride   
Injeksjon   Scopolamine hydrobromide 0,04 mg/ml
Injeksjon   Famotidine 0,4 mg/ml
Injeksjon   Haloperidol lactate 0,5 mg/ml
Injeksjon   Dimenhydrinate 5 mg/ml
25°C
12 Tid
Ikke angitt 2166
Sprøyte polypropylen Natriumklorid 0,9 % 10 mg/ml
Injeksjon   Hydromorphone hydrochloride   
Injeksjon   Famotidine 0,4 mg/ml
Injeksjon   Midazolam hydrochloride 1 mg/ml
25°C
96 Tid
Ikke angitt 2166
Sprøyte polypropylen Natriumklorid 0,9 % 10 mg/ml
Injeksjon   Hydromorphone hydrochloride   
Injeksjon   Haloperidol lactate 0,5 mg/ml
Injeksjon   Metoclopramide hydrochloride 0,5 mg/ml
25°C
96 Tid
Ikke angitt 2166
Sprøyte polypropylen Natriumklorid 0,9 % 10 mg/ml
Injeksjon   Hydromorphone hydrochloride   
Injeksjon   Famotidine 0,4 mg/ml
Injeksjon   Metoclopramide hydrochloride 0,5 mg/ml
Stikkpille   Ketoprofene   
25°C
96 Tid
Ikke angitt 2166
Sprøyte polypropylen Natriumklorid 0,9 % 10 mg/ml
Injeksjon   Hydromorphone hydrochloride   
Injeksjon   Scopolamine hydrobromide 0,04 mg/ml
Injeksjon   Famotidine 0,4 mg/ml
Injeksjon   Haloperidol lactate 0,5 mg/ml
Injeksjon   Dimenhydrinate 5 mg/ml
4°C
12 Tid
Ikke angitt 2166
Sprøyte polypropylen Natriumklorid 0,9 % 10 mg/ml
Injeksjon   Hydromorphone hydrochloride   
Injeksjon   Famotidine 0,4 mg/ml
Injeksjon   Midazolam hydrochloride 1 mg/ml
4°C
96 Tid
Ikke angitt 2166
Sprøyte polypropylen Natriumklorid 0,9 % 10 mg/ml
Injeksjon   Hydromorphone hydrochloride   
Injeksjon   Famotidine 0,4 mg/ml
Injeksjon   Metoclopramide hydrochloride 0,5 mg/ml
Injeksjon   Ketorolac tromethamine 1,5 mg/ml
4°C
96 Tid
Ikke angitt 2166
Sprøyte polypropylen Natriumklorid 0,9 % 0,02 & 0,04 mg/ml
Injeksjon   Hydromorphone hydrochloride   
Injeksjon   Bupivacaine hydrochloride 2,5 mg/ml
6°C
91 Dag
Beskyttes mot lys 1931
Bevisgrad A
Polyisopren elastomer Natriumklorid 0,9 % 0,08 mg/ml
Injeksjon   Hydromorphone hydrochloride   
Injeksjon   Fentanyl citrate 16 µg/ml
Injeksjon   Nefopam 0,8 mg/ml
Injeksjon   Ramosetron hydrochloride 12 µg/ml
24°C
4 Dag
Beskyttes mot lys 4666
Bevisgrad D
Polyisopren elastomer Natriumklorid 0,9 % 0,08 mg/ml
Injeksjon   Hydromorphone hydrochloride   
Injeksjon   Fentanyl citrate 16 µg/ml
Injeksjon   Nefopam 0,8 mg/ml
Injeksjon   Ondansetron hydrochloride 0,32 mg/ml
24°C
4 Dag
Beskyttes mot lys 4666
Bevisgrad D
Ikke angitt Natriumklorid 0,9 % 2 & 20 mg/ml
Injeksjon   Hydromorphone hydrochloride   
Injeksjon   Midazolam hydrochloride 0.1 & 0.5 mg/ml
23°C
23 Dag
Beskyttes mot lys 345
Bevisgrad A
Ikke angitt Natriumklorid 0,9 % 35 mg/ml
Injeksjon   Hydromorphone hydrochloride   
Injeksjon   Ziconotide acetate 25 µg/ml
37°C
19 Dag
Beskyttes mot lys 2251
Bevisgrad D
Ikke angitt Natriumklorid 0,9 % 50 mg/ml
Injeksjon   Hydromorphone hydrochloride   
Injeksjon   Bupivacaine hydrochloride 24 mg/ml
Injeksjon   Clonidine hydrochloride 2 mg/ml
37°C
90 Dag
Beskyttes mot lys 2305
Ikke angitt Natriumklorid 0,9 % 2 & 20 mg/ml
Injeksjon   Hydromorphone hydrochloride   
Injeksjon   Midazolam hydrochloride 0.1 & 0.5 mg/ml
4°C
23 Dag
Beskyttes mot lys 345
Bevisgrad A
Ikke angitt Glukose 5 % 2 & 20 mg/ml
Injeksjon   Hydromorphone hydrochloride   
Injeksjon   Midazolam hydrochloride 0.1 & 0.5 mg/ml
23°C
23 Dag
Beskyttes mot lys 345
Bevisgrad A
Ikke angitt Glukose 5 % 2 & 20 mg/ml
Injeksjon   Hydromorphone hydrochloride   
Injeksjon   Midazolam hydrochloride 0.1 & 0.5 mg/ml
4°C
23 Dag
Beskyttes mot lys 345
Bevisgrad A
Ikke angitt Ingen 15 mg/ml
Injeksjon   Hydromorphone hydrochloride   
Injeksjon   Bupivacaine hydrochloride 10 mg/ml
37°C
90 Dag
Beskyttes mot lys 4200
Bevisgrad A

  Mentions Légales