Pēdējā atjaunošana :
27/04/2026
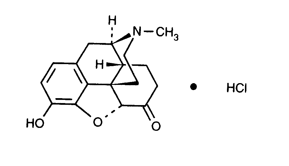
Analgētiķis   Hydromorphone hydrochloride  
Injekcija
Šķīduma stabilitāte Maisījuma stabilitāte Stabilitāti ietekmējoši faktori Saderība Levadīšanas veids Literatūras saraksts pdf
   Ķīmiskā uzbūve   

Oriģinālais nosaukums   Oriģinālais nosaukums     

Tirdzniecības nosaukumi ir apzīmējoši un palīgvielas var atšķirties dažādām valstīm un laboratorijām

Dilaudid Amerikas Savienotās Valstis, Kanāda
Hydal Austrija
Palladon Dānija, Šveice
Palladone Lielbritānija
Maisījuma stabilitāte   Injekcija   Maisījuma stabilitāte : Hydromorphone hydrochloride     
Iepakojums Šķīdinātājs Koncentrācija Savienojums Temperatūra Glabāšana Stabilitātes ilgums Literatūras saraksts
Stikls Nātrija hlorīds 0.9% 0,25 mg/ml
Injekcija   Hydromorphone hydrochloride   
Injekcija   Granisetron hydrochloride 0,5 mg/ml
20°C-23°C
4 Stunda
Aizsargāt no gaismas 57
Pierādījumu līmenis A+
Stikls Nātrija hlorīds 0.9% 0,2 mg/ml
Injekcija   Hydromorphone hydrochloride   
Injekcija   Ketamine hydrochloride 0,2 >> 1 mg/ml
25°C
7 Diena
Aizsargāt no gaismas 2336
Pierādījumu līmenis D
Stikls Nātrija hlorīds 0.9% 0,05 mg/ml
Injekcija   Hydromorphone hydrochloride   
Injekcija   Morphine hydrochloride 0,25 mg/ml
25°C
15 Diena
Nav specifisks 4667
Pierādījumu līmenis D
Stikls Nātrija hlorīds 0.9% 0,05 mg/ml
Injekcija   Hydromorphone hydrochloride   
Injekcija   Morphine hydrochloride 0,25 mg/ml
37°C
15 Diena
Nav specifisks 4667
Pierādījumu līmenis D
Stikls 5% glikoze 0,1 & 1 mg/ml
Injekcija   Hydromorphone hydrochloride   
Injekcija   Tacrolimus 5 & 20 µg/ml
23°C-25°C
4 Stunda
Gaisma 814
Pierādījumu līmenis A
Stikls Nekāds 2 & 10 & 40 mg/ml
Injekcija   Hydromorphone hydrochloride   
Injekcija   Dimenhydrinate 50 mg/ml
23°C
24 Stunda
Nav specifisks 1497
Pierādījumu līmenis B
Stikls Nekāds 0,25 mg/ml
Injekcija   Hydromorphone hydrochloride   
Injekcija   Palonosetron hydrochloride 25 µg/ml
25°C
4 Stunda
Gaisma 2196
Pierādījumu līmenis A+
Stikls Nekāds 2 & 10 & 40 mg/ml
Injekcija   Hydromorphone hydrochloride   
Injekcija   Dimenhydrinate 50 mg/ml
37°C
24 Stunda
Nav specifisks 1497
Pierādījumu līmenis B
Stikls Nekāds 2 & 10 & 40 mg/ml
Injekcija   Hydromorphone hydrochloride   
Injekcija   Dimenhydrinate 50 mg/ml
4°C
24 Stunda
Aizsargāt no gaismas 1497
Pierādījumu līmenis B
Polivinilhlorīds Nātrija hlorīds 0.9% 0,5 mg/ml
Injekcija   Hydromorphone hydrochloride   
Injekcija   Fluorouracil 1 & 16 mg/ml
-20°C
35 Diena
Aizsargāt no gaismas 513
Pierādījumu līmenis A+
Polivinilhlorīds Nātrija hlorīds 0.9% 20 mg/ml
Injekcija   Hydromorphone hydrochloride   
Injekcija   Esketamine 20 mg/ml
22°C
7 Diena
Nav specifisks 4664
Pierādījumu līmenis D
Polivinilhlorīds Nātrija hlorīds 0.9% 0,5 mg/ml
Injekcija   Hydromorphone hydrochloride   
Injekcija   Ondansetron hydrochloride 0,1 & 1 mg/ml
22°C
31 Diena
Nav specifisks 6
Pierādījumu līmenis A+
Polivinilhlorīds Nātrija hlorīds 0.9% 0,5 mg/ml
Injekcija   Hydromorphone hydrochloride   
Injekcija   Fluorouracil 16 mg/ml
23°C
7 Diena
Nav specifisks 513
Pierādījumu līmenis A+
Polivinilhlorīds Nātrija hlorīds 0.9% 0,5 mg/ml
Injekcija   Hydromorphone hydrochloride   
Injekcija   Fluorouracil 1 mg/ml
23°C
35 Diena
Nav specifisks 513
Pierādījumu līmenis A+
Polivinilhlorīds Nātrija hlorīds 0.9% 0,02 & 0,1 mg/ml
Injekcija   Hydromorphone hydrochloride   
Injekcija   Bupivacaine hydrochloride 0,62 & 1,2 mg/ml
23°C-25°C
72 Stunda
Gaisma 306
Pierādījumu līmenis A
Polivinilhlorīds Nātrija hlorīds 0.9% 0,2 mg/ml
Injekcija   Hydromorphone hydrochloride   
Injekcija   Ketamine hydrochloride 0,2 >> 1 mg/ml
25°C
7 Diena
Aizsargāt no gaismas 2336
Pierādījumu līmenis D
Polivinilhlorīds Nātrija hlorīds 0.9% 0,05 mg/ml
Injekcija   Hydromorphone hydrochloride   
Injekcija   Morphine hydrochloride 0,25 mg/ml
25°C
15 Diena
Nav specifisks 4667
Pierādījumu līmenis D
Polivinilhlorīds Nātrija hlorīds 0.9% 0.0015 mg/ml
Injekcija   Hydromorphone hydrochloride   
Injekcija   Bupivacaine hydrochloride 0.5 mg/ml
25°C
30 Diena
Nav specifisks 4746
Pierādījumu līmenis A
Polivinilhlorīds Nātrija hlorīds 0.9% 0.03 mg/ml
Injekcija   Hydromorphone hydrochloride   
Injekcija   Bupivacaine hydrochloride 0.5 mg/ml
25°C
30 Diena
Nav specifisks 4746
Pierādījumu līmenis A
Polivinilhlorīds Nātrija hlorīds 0.9% 0.03 mg/ml
Injekcija   Hydromorphone hydrochloride   
Injekcija   Bupivacaine hydrochloride 2.5 mg/ml
25°C
30 Diena
Nav specifisks 4746
Pierādījumu līmenis A
Polivinilhlorīds Nātrija hlorīds 0.9% 0.0015 mg/ml
Injekcija   Hydromorphone hydrochloride   
Injekcija   Bupivacaine hydrochloride 2.5 mg/ml
25°C
30 Diena
Nav specifisks 4746
Pierādījumu līmenis A
Polivinilhlorīds Nātrija hlorīds 0.9% 0,5 mg/ml
Injekcija   Hydromorphone hydrochloride   
Injekcija   Fluorouracil 16 mg/ml
32°C
3 Diena
Nav specifisks 513
Pierādījumu līmenis A+
Polivinilhlorīds Nātrija hlorīds 0.9% 0,5 mg/ml
Injekcija   Hydromorphone hydrochloride   
Injekcija   Ondansetron hydrochloride 0,1 & 1 mg/ml
32°C
7 Diena
Nav specifisks 6
Pierādījumu līmenis A+
Polivinilhlorīds Nātrija hlorīds 0.9% 0,5 mg/ml
Injekcija   Hydromorphone hydrochloride   
Injekcija   Fluorouracil 1 mg/ml
32°C
7 Diena
Nav specifisks 513
Pierādījumu līmenis A+
Polivinilhlorīds Nātrija hlorīds 0.9% 20 mg/ml
Injekcija   Hydromorphone hydrochloride   
Injekcija   Esketamine 20 mg/ml
37°C
7 Diena
Nav specifisks 4664
Pierādījumu līmenis D
Polivinilhlorīds Nātrija hlorīds 0.9% 0,05 mg/ml
Injekcija   Hydromorphone hydrochloride   
Injekcija   Morphine hydrochloride 0,25 mg/ml
37°C
15 Diena
Nav specifisks 4667
Pierādījumu līmenis D
Polivinilhlorīds Nātrija hlorīds 0.9% 0,5 mg/ml
Injekcija   Hydromorphone hydrochloride   
Injekcija   Ondansetron hydrochloride 0,1 & 1 mg/ml
4°C
31 Diena
Aizsargāt no gaismas 6
Pierādījumu līmenis A+
Polivinilhlorīds Nātrija hlorīds 0.9% 0,5 mg/ml
Injekcija   Hydromorphone hydrochloride   
Injekcija   Fluorouracil 1 & 16 mg/ml
4°C
35 Diena
Aizsargāt no gaismas 513
Pierādījumu līmenis A+
Polivinilhlorīds Nātrija hlorīds 0.9% 0.0015 mg/ml
Injekcija   Hydromorphone hydrochloride   
Injekcija   Bupivacaine hydrochloride 0.5 mg/ml
4°C
30 Diena
Nav specifisks 4746
Pierādījumu līmenis A
Polivinilhlorīds Nātrija hlorīds 0.9% 0.03 mg/ml
Injekcija   Hydromorphone hydrochloride   
Injekcija   Bupivacaine hydrochloride 0.5 mg/ml
4°C
30 Diena
Nav specifisks 4746
Pierādījumu līmenis A
Polivinilhlorīds Nātrija hlorīds 0.9% 0.03 mg/ml
Injekcija   Hydromorphone hydrochloride   
Injekcija   Bupivacaine hydrochloride 2.5 mg/ml
4°C
30 Diena
Nav specifisks 4746
Pierādījumu līmenis A
Polivinilhlorīds Nātrija hlorīds 0.9% 0.0015 mg/ml
Injekcija   Hydromorphone hydrochloride   
Injekcija   Bupivacaine hydrochloride 2.5 mg/ml
4°C
30 Diena
Nav specifisks 4746
Pierādījumu līmenis A
Polivinilhlorīds Nātrija hlorīds 0.9% 0,5 mg/ml
Injekcija   Hydromorphone hydrochloride   
Injekcija   Ondansetron hydrochloride 0,1 & 1 mg/ml
4°C-22°C
31 Diena
Nav specifisks 6
Pierādījumu līmenis A+
Polivinilhlorīds Nātrija hlorīds 0.9% 0,5 mg/ml
Injekcija   Hydromorphone hydrochloride   
Injekcija   Granisetron hydrochloride 0,056 mg/ml
4°C-22°C
31 Stunda
Nav specifisks 6
Pierādījumu līmenis A+
Polivinilhlorīds Nātrija hlorīds 0.9% 0,5 mg/ml
Injekcija   Hydromorphone hydrochloride   
Injekcija   Granisetron hydrochloride 0,056 mg/ml
4°C-22°C
31 Stunda
Nav specifisks 6
Pierādījumu līmenis A+
Polivinilhlorīds 5% glikoze 0,5 mg/ml
Injekcija   Hydromorphone hydrochloride   
Injekcija   Fluorouracil 1 & 16 mg/ml
-20°C
35 Diena
Aizsargāt no gaismas 513
Pierādījumu līmenis A+
Polivinilhlorīds 5% glikoze 0,5 mg/ml
Injekcija   Hydromorphone hydrochloride   
Injekcija   Fluorouracil 16 mg/ml
23°C
7 Diena
Nav specifisks 513
Pierādījumu līmenis A+
Polivinilhlorīds 5% glikoze 0,5 mg/ml
Injekcija   Hydromorphone hydrochloride   
Injekcija   Fluorouracil 1 mg/ml
23°C
35 Diena
Nav specifisks 513
Pierādījumu līmenis A+
Polivinilhlorīds 5% glikoze 0,5 mg/ml
Injekcija   Hydromorphone hydrochloride   
Injekcija   Fluorouracil 16 mg/ml
32°C
3 Diena
Nav specifisks 513
Pierādījumu līmenis A+
Polivinilhlorīds 5% glikoze 0,5 mg/ml
Injekcija   Hydromorphone hydrochloride   
Injekcija   Fluorouracil 1 mg/ml
32°C
7 Diena
Nav specifisks 513
Pierādījumu līmenis A+
Polivinilhlorīds 5% glikoze 0,5 mg/ml
Injekcija   Hydromorphone hydrochloride   
Injekcija   Fluorouracil 1 & 16 mg/ml
4°C
35 Diena
Aizsargāt no gaismas 513
Pierādījumu līmenis A+
Polietilēns Nātrija hlorīds 0.9% 0,05 mg/ml
Injekcija   Hydromorphone hydrochloride   
Injekcija   Morphine hydrochloride 0,25 mg/ml
25°C
15 Diena
Nav specifisks 4667
Pierādījumu līmenis D
Polietilēns Nātrija hlorīds 0.9% 0,05 mg/ml
Injekcija   Hydromorphone hydrochloride   
Injekcija   Morphine hydrochloride 0,25 mg/ml
37°C
15 Diena
Nav specifisks 4667
Pierādījumu līmenis D
Poliolefīns Nātrija hlorīds 0.9% 0.0015 mg/ml
Injekcija   Hydromorphone hydrochloride   
Injekcija   Bupivacaine hydrochloride 0.5 mg/ml
25°C
30 Diena
Nav specifisks 4746
Pierādījumu līmenis A
Poliolefīns Nātrija hlorīds 0.9% 0.03 mg/ml
Injekcija   Hydromorphone hydrochloride   
Injekcija   Bupivacaine hydrochloride 0.5 mg/ml
25°C
30 Diena
Nav specifisks 4746
Pierādījumu līmenis A
Poliolefīns Nātrija hlorīds 0.9% 0.03 mg/ml
Injekcija   Hydromorphone hydrochloride   
Injekcija   Bupivacaine hydrochloride 2.5 mg/ml
25°C
30 Diena
Nav specifisks 4746
Pierādījumu līmenis A
Poliolefīns Nātrija hlorīds 0.9% 0.0015 mg/ml
Injekcija   Hydromorphone hydrochloride   
Injekcija   Bupivacaine hydrochloride 2.5 mg/ml
25°C
30 Diena
Nav specifisks 4746
Pierādījumu līmenis A
Poliolefīns Nātrija hlorīds 0.9% 0.0015 mg/ml
Injekcija   Hydromorphone hydrochloride   
Injekcija   Bupivacaine hydrochloride 0.5 mg/ml
4°C
30 Diena
Nav specifisks 4746
Pierādījumu līmenis A
Poliolefīns Nātrija hlorīds 0.9% 0.03 mg/ml
Injekcija   Hydromorphone hydrochloride   
Injekcija   Bupivacaine hydrochloride 0.5 mg/ml
4°C
30 Diena
Nav specifisks 4746
Pierādījumu līmenis A
Poliolefīns Nātrija hlorīds 0.9% 0.03 mg/ml
Injekcija   Hydromorphone hydrochloride   
Injekcija   Bupivacaine hydrochloride 2.5 mg/ml
4°C
30 Diena
Nav specifisks 4746
Pierādījumu līmenis A
Poliolefīns Nātrija hlorīds 0.9% 0.0015 mg/ml
Injekcija   Hydromorphone hydrochloride   
Injekcija   Bupivacaine hydrochloride 2.5 mg/ml
4°C
30 Diena
Nav specifisks 4746
Pierādījumu līmenis A
Šļirce polipropilēna Nātrija hlorīds 0.9% 0,02 & 0,04 mg/ml
Injekcija   Hydromorphone hydrochloride   
Injekcija   Bupivacaine hydrochloride 2,5 mg/ml
22°C
91 Diena
Gaisma 1931
Pierādījumu līmenis A
Šļirce polipropilēna Nātrija hlorīds 0.9% 0,2 mg/ml
Injekcija   Hydromorphone hydrochloride   
Injekcija   Ketamine hydrochloride 0,2 >> 1 mg/ml
25°C
7 Diena
Aizsargāt no gaismas 2336
Pierādījumu līmenis D
Šļirce polipropilēna Nātrija hlorīds 0.9% 10 mg/ml
Injekcija   Hydromorphone hydrochloride   
Injekcija   Scopolamine hydrobromide 0,04 mg/ml
Injekcija   Famotidine 0,4 mg/ml
Injekcija   Haloperidol lactate 0,5 mg/ml
Injekcija   Dimenhydrinate 5 mg/ml
25°C
12 Stunda
Nav specifisks 2166
Šļirce polipropilēna Nātrija hlorīds 0.9% 10 mg/ml
Injekcija   Hydromorphone hydrochloride   
Injekcija   Famotidine 0,4 mg/ml
Injekcija   Midazolam hydrochloride 1 mg/ml
25°C
96 Stunda
Nav specifisks 2166
Šļirce polipropilēna Nātrija hlorīds 0.9% 10 mg/ml
Injekcija   Hydromorphone hydrochloride   
Injekcija   Haloperidol lactate 0,5 mg/ml
Injekcija   Metoclopramide hydrochloride 0,5 mg/ml
25°C
96 Stunda
Nav specifisks 2166
Šļirce polipropilēna Nātrija hlorīds 0.9% 10 mg/ml
Injekcija   Hydromorphone hydrochloride   
Injekcija   Famotidine 0,4 mg/ml
Injekcija   Metoclopramide hydrochloride 0,5 mg/ml
Supozitorijs   Ketoprofene   
25°C
96 Stunda
Nav specifisks 2166
Šļirce polipropilēna Nātrija hlorīds 0.9% 10 mg/ml
Injekcija   Hydromorphone hydrochloride   
Injekcija   Scopolamine hydrobromide 0,04 mg/ml
Injekcija   Famotidine 0,4 mg/ml
Injekcija   Haloperidol lactate 0,5 mg/ml
Injekcija   Dimenhydrinate 5 mg/ml
4°C
12 Stunda
Nav specifisks 2166
Šļirce polipropilēna Nātrija hlorīds 0.9% 10 mg/ml
Injekcija   Hydromorphone hydrochloride   
Injekcija   Famotidine 0,4 mg/ml
Injekcija   Midazolam hydrochloride 1 mg/ml
4°C
96 Stunda
Nav specifisks 2166
Šļirce polipropilēna Nātrija hlorīds 0.9% 10 mg/ml
Injekcija   Hydromorphone hydrochloride   
Injekcija   Famotidine 0,4 mg/ml
Injekcija   Metoclopramide hydrochloride 0,5 mg/ml
Injekcija   Ketorolac tromethamine 1,5 mg/ml
4°C
96 Stunda
Nav specifisks 2166
Šļirce polipropilēna Nātrija hlorīds 0.9% 0,02 & 0,04 mg/ml
Injekcija   Hydromorphone hydrochloride   
Injekcija   Bupivacaine hydrochloride 2,5 mg/ml
6°C
91 Diena
Aizsargāt no gaismas 1931
Pierādījumu līmenis A
Poliizoprēna elastomērs Nātrija hlorīds 0.9% 0,08 mg/ml
Injekcija   Hydromorphone hydrochloride   
Injekcija   Fentanyl citrate 16 µg/ml
Injekcija   Nefopam 0,8 mg/ml
Injekcija   Ramosetron hydrochloride 12 µg/ml
24°C
4 Diena
Aizsargāt no gaismas 4666
Pierādījumu līmenis D
Poliizoprēna elastomērs Nātrija hlorīds 0.9% 0,08 mg/ml
Injekcija   Hydromorphone hydrochloride   
Injekcija   Fentanyl citrate 16 µg/ml
Injekcija   Nefopam 0,8 mg/ml
Injekcija   Ondansetron hydrochloride 0,32 mg/ml
24°C
4 Diena
Aizsargāt no gaismas 4666
Pierādījumu līmenis D
Nespecifisks Nātrija hlorīds 0.9% 2 & 20 mg/ml
Injekcija   Hydromorphone hydrochloride   
Injekcija   Midazolam hydrochloride 0.1 & 0.5 mg/ml
23°C
23 Diena
Aizsargāt no gaismas 345
Pierādījumu līmenis A
Nespecifisks Nātrija hlorīds 0.9% 35 mg/ml
Injekcija   Hydromorphone hydrochloride   
Injekcija   Ziconotide acetate 25 µg/ml
37°C
19 Diena
Aizsargāt no gaismas 2251
Pierādījumu līmenis D
Nespecifisks Nātrija hlorīds 0.9% 50 mg/ml
Injekcija   Hydromorphone hydrochloride   
Injekcija   Bupivacaine hydrochloride 24 mg/ml
Injekcija   Clonidine hydrochloride 2 mg/ml
37°C
90 Diena
Aizsargāt no gaismas 2305
Nespecifisks Nātrija hlorīds 0.9% 2 & 20 mg/ml
Injekcija   Hydromorphone hydrochloride   
Injekcija   Midazolam hydrochloride 0.1 & 0.5 mg/ml
4°C
23 Diena
Aizsargāt no gaismas 345
Pierādījumu līmenis A
Nespecifisks 5% glikoze 2 & 20 mg/ml
Injekcija   Hydromorphone hydrochloride   
Injekcija   Midazolam hydrochloride 0.1 & 0.5 mg/ml
23°C
23 Diena
Aizsargāt no gaismas 345
Pierādījumu līmenis A
Nespecifisks 5% glikoze 2 & 20 mg/ml
Injekcija   Hydromorphone hydrochloride   
Injekcija   Midazolam hydrochloride 0.1 & 0.5 mg/ml
4°C
23 Diena
Aizsargāt no gaismas 345
Pierādījumu līmenis A
Nespecifisks Nekāds 15 mg/ml
Injekcija   Hydromorphone hydrochloride   
Injekcija   Bupivacaine hydrochloride 10 mg/ml
37°C
90 Diena
Aizsargāt no gaismas 4200
Pierādījumu līmenis A

  Mentions Légales