Poslední aktualizace :
27/04/2026
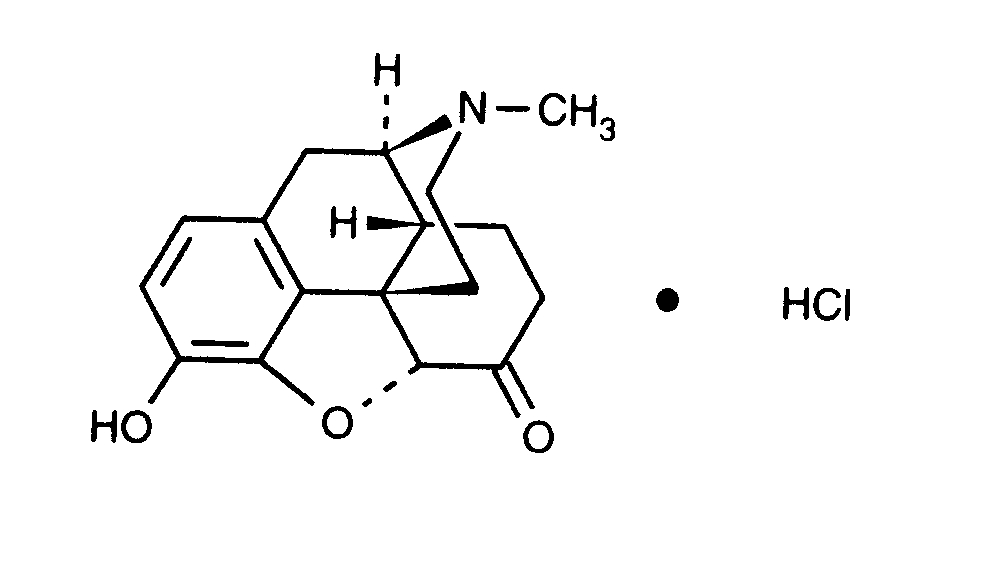
Analgetikas   Hydromorphone hydrochloride  
Įpurškimas
Tirpalų stabilumas Mišinių stabilumas Stabilumą lemiantys veiksniai Suderinamumas Leidimo būdai Bibliografija pdf
   Cheminė sandara  

Prekinis pavadinimas   Prekinis pavadinimas     

Trade names are indicative and excipients composition can be different depending on the country and manufacturers

Dilaudid Jungtinės Amerikos Valstijos, Kanada
Hydal Austrija
Palladon Danija, Šveicarija
Palladone Didžioji Britanija
Mišinių stabilumas   Įpurškimas   Mišinių stabilumas : Hydromorphone hydrochloride     
Pakuotė Tirpiklis Koncentracija Molekulė Temperatūra Laikymas Stabilumo trukmė Nuorodos
Stiklas Natrio chloridas 0,9% 0,25 mg/ml
Įpurškimas   Hydromorphone hydrochloride   
Įpurškimas   Granisetron hydrochloride 0,5 mg/ml
20°C-23°C
4 Valanda
Apsaugotas nuo šviesos 57
Bandymo lygis A+
Stiklas Natrio chloridas 0,9% 0,2 mg/ml
Įpurškimas   Hydromorphone hydrochloride   
Įpurškimas   Ketamine hydrochloride 0,2 >> 1 mg/ml
25°C
7 Diena
Apsaugotas nuo šviesos 2336
Bandymo lygis D
Stiklas Natrio chloridas 0,9% 0,05 mg/ml
Įpurškimas   Hydromorphone hydrochloride   
Įpurškimas   Morphine hydrochloride 0,25 mg/ml
25°C
15 Diena
Nenurodyta 4667
Bandymo lygis D
Stiklas Natrio chloridas 0,9% 0,05 mg/ml
Įpurškimas   Hydromorphone hydrochloride   
Įpurškimas   Morphine hydrochloride 0,25 mg/ml
37°C
15 Diena
Nenurodyta 4667
Bandymo lygis D
Stiklas Gliukozė 5% 0,1 & 1 mg/ml
Įpurškimas   Hydromorphone hydrochloride   
Įpurškimas   Tacrolimus 5 & 20 µg/ml
23°C-25°C
4 Valanda
Šviesa 814
Bandymo lygis A
Stiklas Nėra 2 & 10 & 40 mg/ml
Įpurškimas   Hydromorphone hydrochloride   
Įpurškimas   Dimenhydrinate 50 mg/ml
23°C
24 Valanda
Nenurodyta 1497
Bandymo lygis B
Stiklas Nėra 0,25 mg/ml
Įpurškimas   Hydromorphone hydrochloride   
Įpurškimas   Palonosetron hydrochloride 25 µg/ml
25°C
4 Valanda
Šviesa 2196
Bandymo lygis A+
Stiklas Nėra 2 & 10 & 40 mg/ml
Įpurškimas   Hydromorphone hydrochloride   
Įpurškimas   Dimenhydrinate 50 mg/ml
37°C
24 Valanda
Nenurodyta 1497
Bandymo lygis B
Stiklas Nėra 2 & 10 & 40 mg/ml
Įpurškimas   Hydromorphone hydrochloride   
Įpurškimas   Dimenhydrinate 50 mg/ml
4°C
24 Valanda
Apsaugotas nuo šviesos 1497
Bandymo lygis B
Polivinilchloridas Natrio chloridas 0,9% 0,5 mg/ml
Įpurškimas   Hydromorphone hydrochloride   
Įpurškimas   Fluorouracil 1 & 16 mg/ml
-20°C
35 Diena
Apsaugotas nuo šviesos 513
Bandymo lygis A+
Polivinilchloridas Natrio chloridas 0,9% 20 mg/ml
Įpurškimas   Hydromorphone hydrochloride   
Įpurškimas   Esketamine 20 mg/ml
22°C
7 Diena
Nenurodyta 4664
Bandymo lygis D
Polivinilchloridas Natrio chloridas 0,9% 0,5 mg/ml
Įpurškimas   Hydromorphone hydrochloride   
Įpurškimas   Ondansetron hydrochloride 0,1 & 1 mg/ml
22°C
31 Diena
Nenurodyta 6
Bandymo lygis A+
Polivinilchloridas Natrio chloridas 0,9% 0,5 mg/ml
Įpurškimas   Hydromorphone hydrochloride   
Įpurškimas   Fluorouracil 16 mg/ml
23°C
7 Diena
Nenurodyta 513
Bandymo lygis A+
Polivinilchloridas Natrio chloridas 0,9% 0,5 mg/ml
Įpurškimas   Hydromorphone hydrochloride   
Įpurškimas   Fluorouracil 1 mg/ml
23°C
35 Diena
Nenurodyta 513
Bandymo lygis A+
Polivinilchloridas Natrio chloridas 0,9% 0,02 & 0,1 mg/ml
Įpurškimas   Hydromorphone hydrochloride   
Įpurškimas   Bupivacaine hydrochloride 0,62 & 1,2 mg/ml
23°C-25°C
72 Valanda
Šviesa 306
Bandymo lygis A
Polivinilchloridas Natrio chloridas 0,9% 0,2 mg/ml
Įpurškimas   Hydromorphone hydrochloride   
Įpurškimas   Ketamine hydrochloride 0,2 >> 1 mg/ml
25°C
7 Diena
Apsaugotas nuo šviesos 2336
Bandymo lygis D
Polivinilchloridas Natrio chloridas 0,9% 0,05 mg/ml
Įpurškimas   Hydromorphone hydrochloride   
Įpurškimas   Morphine hydrochloride 0,25 mg/ml
25°C
15 Diena
Nenurodyta 4667
Bandymo lygis D
Polivinilchloridas Natrio chloridas 0,9% 0.0015 mg/ml
Įpurškimas   Hydromorphone hydrochloride   
Įpurškimas   Bupivacaine hydrochloride 0.5 mg/ml
25°C
30 Diena
Nenurodyta 4746
Bandymo lygis A
Polivinilchloridas Natrio chloridas 0,9% 0.03 mg/ml
Įpurškimas   Hydromorphone hydrochloride   
Įpurškimas   Bupivacaine hydrochloride 0.5 mg/ml
25°C
30 Diena
Nenurodyta 4746
Bandymo lygis A
Polivinilchloridas Natrio chloridas 0,9% 0.03 mg/ml
Įpurškimas   Hydromorphone hydrochloride   
Įpurškimas   Bupivacaine hydrochloride 2.5 mg/ml
25°C
30 Diena
Nenurodyta 4746
Bandymo lygis A
Polivinilchloridas Natrio chloridas 0,9% 0.0015 mg/ml
Įpurškimas   Hydromorphone hydrochloride   
Įpurškimas   Bupivacaine hydrochloride 2.5 mg/ml
25°C
30 Diena
Nenurodyta 4746
Bandymo lygis A
Polivinilchloridas Natrio chloridas 0,9% 0,5 mg/ml
Įpurškimas   Hydromorphone hydrochloride   
Įpurškimas   Fluorouracil 16 mg/ml
32°C
3 Diena
Nenurodyta 513
Bandymo lygis A+
Polivinilchloridas Natrio chloridas 0,9% 0,5 mg/ml
Įpurškimas   Hydromorphone hydrochloride   
Įpurškimas   Ondansetron hydrochloride 0,1 & 1 mg/ml
32°C
7 Diena
Nenurodyta 6
Bandymo lygis A+
Polivinilchloridas Natrio chloridas 0,9% 0,5 mg/ml
Įpurškimas   Hydromorphone hydrochloride   
Įpurškimas   Fluorouracil 1 mg/ml
32°C
7 Diena
Nenurodyta 513
Bandymo lygis A+
Polivinilchloridas Natrio chloridas 0,9% 20 mg/ml
Įpurškimas   Hydromorphone hydrochloride   
Įpurškimas   Esketamine 20 mg/ml
37°C
7 Diena
Nenurodyta 4664
Bandymo lygis D
Polivinilchloridas Natrio chloridas 0,9% 0,05 mg/ml
Įpurškimas   Hydromorphone hydrochloride   
Įpurškimas   Morphine hydrochloride 0,25 mg/ml
37°C
15 Diena
Nenurodyta 4667
Bandymo lygis D
Polivinilchloridas Natrio chloridas 0,9% 0,5 mg/ml
Įpurškimas   Hydromorphone hydrochloride   
Įpurškimas   Ondansetron hydrochloride 0,1 & 1 mg/ml
4°C
31 Diena
Apsaugotas nuo šviesos 6
Bandymo lygis A+
Polivinilchloridas Natrio chloridas 0,9% 0,5 mg/ml
Įpurškimas   Hydromorphone hydrochloride   
Įpurškimas   Fluorouracil 1 & 16 mg/ml
4°C
35 Diena
Apsaugotas nuo šviesos 513
Bandymo lygis A+
Polivinilchloridas Natrio chloridas 0,9% 0.0015 mg/ml
Įpurškimas   Hydromorphone hydrochloride   
Įpurškimas   Bupivacaine hydrochloride 0.5 mg/ml
4°C
30 Diena
Nenurodyta 4746
Bandymo lygis A
Polivinilchloridas Natrio chloridas 0,9% 0.03 mg/ml
Įpurškimas   Hydromorphone hydrochloride   
Įpurškimas   Bupivacaine hydrochloride 0.5 mg/ml
4°C
30 Diena
Nenurodyta 4746
Bandymo lygis A
Polivinilchloridas Natrio chloridas 0,9% 0.03 mg/ml
Įpurškimas   Hydromorphone hydrochloride   
Įpurškimas   Bupivacaine hydrochloride 2.5 mg/ml
4°C
30 Diena
Nenurodyta 4746
Bandymo lygis A
Polivinilchloridas Natrio chloridas 0,9% 0.0015 mg/ml
Įpurškimas   Hydromorphone hydrochloride   
Įpurškimas   Bupivacaine hydrochloride 2.5 mg/ml
4°C
30 Diena
Nenurodyta 4746
Bandymo lygis A
Polivinilchloridas Natrio chloridas 0,9% 0,5 mg/ml
Įpurškimas   Hydromorphone hydrochloride   
Įpurškimas   Ondansetron hydrochloride 0,1 & 1 mg/ml
4°C-22°C
31 Diena
Nenurodyta 6
Bandymo lygis A+
Polivinilchloridas Natrio chloridas 0,9% 0,5 mg/ml
Įpurškimas   Hydromorphone hydrochloride   
Įpurškimas   Granisetron hydrochloride 0,056 mg/ml
4°C-22°C
31 Valanda
Nenurodyta 6
Bandymo lygis A+
Polivinilchloridas Natrio chloridas 0,9% 0,5 mg/ml
Įpurškimas   Hydromorphone hydrochloride   
Įpurškimas   Granisetron hydrochloride 0,056 mg/ml
4°C-22°C
31 Valanda
Nenurodyta 6
Bandymo lygis A+
Polivinilchloridas Gliukozė 5% 0,5 mg/ml
Įpurškimas   Hydromorphone hydrochloride   
Įpurškimas   Fluorouracil 1 & 16 mg/ml
-20°C
35 Diena
Apsaugotas nuo šviesos 513
Bandymo lygis A+
Polivinilchloridas Gliukozė 5% 0,5 mg/ml
Įpurškimas   Hydromorphone hydrochloride   
Įpurškimas   Fluorouracil 16 mg/ml
23°C
7 Diena
Nenurodyta 513
Bandymo lygis A+
Polivinilchloridas Gliukozė 5% 0,5 mg/ml
Įpurškimas   Hydromorphone hydrochloride   
Įpurškimas   Fluorouracil 1 mg/ml
23°C
35 Diena
Nenurodyta 513
Bandymo lygis A+
Polivinilchloridas Gliukozė 5% 0,5 mg/ml
Įpurškimas   Hydromorphone hydrochloride   
Įpurškimas   Fluorouracil 16 mg/ml
32°C
3 Diena
Nenurodyta 513
Bandymo lygis A+
Polivinilchloridas Gliukozė 5% 0,5 mg/ml
Įpurškimas   Hydromorphone hydrochloride   
Įpurškimas   Fluorouracil 1 mg/ml
32°C
7 Diena
Nenurodyta 513
Bandymo lygis A+
Polivinilchloridas Gliukozė 5% 0,5 mg/ml
Įpurškimas   Hydromorphone hydrochloride   
Įpurškimas   Fluorouracil 1 & 16 mg/ml
4°C
35 Diena
Apsaugotas nuo šviesos 513
Bandymo lygis A+
Polietilenas Natrio chloridas 0,9% 0,05 mg/ml
Įpurškimas   Hydromorphone hydrochloride   
Įpurškimas   Morphine hydrochloride 0,25 mg/ml
25°C
15 Diena
Nenurodyta 4667
Bandymo lygis D
Polietilenas Natrio chloridas 0,9% 0,05 mg/ml
Įpurškimas   Hydromorphone hydrochloride   
Įpurškimas   Morphine hydrochloride 0,25 mg/ml
37°C
15 Diena
Nenurodyta 4667
Bandymo lygis D
Poliolefinas Natrio chloridas 0,9% 0.0015 mg/ml
Įpurškimas   Hydromorphone hydrochloride   
Įpurškimas   Bupivacaine hydrochloride 0.5 mg/ml
25°C
30 Diena
Nenurodyta 4746
Bandymo lygis A
Poliolefinas Natrio chloridas 0,9% 0.03 mg/ml
Įpurškimas   Hydromorphone hydrochloride   
Įpurškimas   Bupivacaine hydrochloride 0.5 mg/ml
25°C
30 Diena
Nenurodyta 4746
Bandymo lygis A
Poliolefinas Natrio chloridas 0,9% 0.03 mg/ml
Įpurškimas   Hydromorphone hydrochloride   
Įpurškimas   Bupivacaine hydrochloride 2.5 mg/ml
25°C
30 Diena
Nenurodyta 4746
Bandymo lygis A
Poliolefinas Natrio chloridas 0,9% 0.0015 mg/ml
Įpurškimas   Hydromorphone hydrochloride   
Įpurškimas   Bupivacaine hydrochloride 2.5 mg/ml
25°C
30 Diena
Nenurodyta 4746
Bandymo lygis A
Poliolefinas Natrio chloridas 0,9% 0.0015 mg/ml
Įpurškimas   Hydromorphone hydrochloride   
Įpurškimas   Bupivacaine hydrochloride 0.5 mg/ml
4°C
30 Diena
Nenurodyta 4746
Bandymo lygis A
Poliolefinas Natrio chloridas 0,9% 0.03 mg/ml
Įpurškimas   Hydromorphone hydrochloride   
Įpurškimas   Bupivacaine hydrochloride 0.5 mg/ml
4°C
30 Diena
Nenurodyta 4746
Bandymo lygis A
Poliolefinas Natrio chloridas 0,9% 0.03 mg/ml
Įpurškimas   Hydromorphone hydrochloride   
Įpurškimas   Bupivacaine hydrochloride 2.5 mg/ml
4°C
30 Diena
Nenurodyta 4746
Bandymo lygis A
Poliolefinas Natrio chloridas 0,9% 0.0015 mg/ml
Įpurškimas   Hydromorphone hydrochloride   
Įpurškimas   Bupivacaine hydrochloride 2.5 mg/ml
4°C
30 Diena
Nenurodyta 4746
Bandymo lygis A
Švirkštas polipropileno Natrio chloridas 0,9% 0,02 & 0,04 mg/ml
Įpurškimas   Hydromorphone hydrochloride   
Įpurškimas   Bupivacaine hydrochloride 2,5 mg/ml
22°C
91 Diena
Šviesa 1931
Bandymo lygis A
Švirkštas polipropileno Natrio chloridas 0,9% 0,2 mg/ml
Įpurškimas   Hydromorphone hydrochloride   
Įpurškimas   Ketamine hydrochloride 0,2 >> 1 mg/ml
25°C
7 Diena
Apsaugotas nuo šviesos 2336
Bandymo lygis D
Švirkštas polipropileno Natrio chloridas 0,9% 10 mg/ml
Įpurškimas   Hydromorphone hydrochloride   
Įpurškimas   Scopolamine hydrobromide 0,04 mg/ml
Įpurškimas   Famotidine 0,4 mg/ml
Įpurškimas   Haloperidol lactate 0,5 mg/ml
Įpurškimas   Dimenhydrinate 5 mg/ml
25°C
12 Valanda
Nenurodyta 2166
Švirkštas polipropileno Natrio chloridas 0,9% 10 mg/ml
Įpurškimas   Hydromorphone hydrochloride   
Įpurškimas   Famotidine 0,4 mg/ml
Įpurškimas   Midazolam hydrochloride 1 mg/ml
25°C
96 Valanda
Nenurodyta 2166
Švirkštas polipropileno Natrio chloridas 0,9% 10 mg/ml
Įpurškimas   Hydromorphone hydrochloride   
Įpurškimas   Haloperidol lactate 0,5 mg/ml
Įpurškimas   Metoclopramide hydrochloride 0,5 mg/ml
25°C
96 Valanda
Nenurodyta 2166
Švirkštas polipropileno Natrio chloridas 0,9% 10 mg/ml
Įpurškimas   Hydromorphone hydrochloride   
Įpurškimas   Famotidine 0,4 mg/ml
Įpurškimas   Metoclopramide hydrochloride 0,5 mg/ml
Žvakutė   Ketoprofene   
25°C
96 Valanda
Nenurodyta 2166
Švirkštas polipropileno Natrio chloridas 0,9% 10 mg/ml
Įpurškimas   Hydromorphone hydrochloride   
Įpurškimas   Scopolamine hydrobromide 0,04 mg/ml
Įpurškimas   Famotidine 0,4 mg/ml
Įpurškimas   Haloperidol lactate 0,5 mg/ml
Įpurškimas   Dimenhydrinate 5 mg/ml
4°C
12 Valanda
Nenurodyta 2166
Švirkštas polipropileno Natrio chloridas 0,9% 10 mg/ml
Įpurškimas   Hydromorphone hydrochloride   
Įpurškimas   Famotidine 0,4 mg/ml
Įpurškimas   Midazolam hydrochloride 1 mg/ml
4°C
96 Valanda
Nenurodyta 2166
Švirkštas polipropileno Natrio chloridas 0,9% 10 mg/ml
Įpurškimas   Hydromorphone hydrochloride   
Įpurškimas   Famotidine 0,4 mg/ml
Įpurškimas   Metoclopramide hydrochloride 0,5 mg/ml
Įpurškimas   Ketorolac tromethamine 1,5 mg/ml
4°C
96 Valanda
Nenurodyta 2166
Švirkštas polipropileno Natrio chloridas 0,9% 0,02 & 0,04 mg/ml
Įpurškimas   Hydromorphone hydrochloride   
Įpurškimas   Bupivacaine hydrochloride 2,5 mg/ml
6°C
91 Diena
Apsaugotas nuo šviesos 1931
Bandymo lygis A
Poliizopreno elastomeras Natrio chloridas 0,9% 0,08 mg/ml
Įpurškimas   Hydromorphone hydrochloride   
Įpurškimas   Fentanyl citrate 16 µg/ml
Įpurškimas   Nefopam 0,8 mg/ml
Įpurškimas   Ramosetron hydrochloride 12 µg/ml
24°C
4 Diena
Apsaugotas nuo šviesos 4666
Bandymo lygis D
Poliizopreno elastomeras Natrio chloridas 0,9% 0,08 mg/ml
Įpurškimas   Hydromorphone hydrochloride   
Įpurškimas   Fentanyl citrate 16 µg/ml
Įpurškimas   Nefopam 0,8 mg/ml
Įpurškimas   Ondansetron hydrochloride 0,32 mg/ml
24°C
4 Diena
Apsaugotas nuo šviesos 4666
Bandymo lygis D
Nenurodyta Natrio chloridas 0,9% 2 & 20 mg/ml
Įpurškimas   Hydromorphone hydrochloride   
Įpurškimas   Midazolam hydrochloride 0.1 & 0.5 mg/ml
23°C
23 Diena
Apsaugotas nuo šviesos 345
Bandymo lygis A
Nenurodyta Natrio chloridas 0,9% 35 mg/ml
Įpurškimas   Hydromorphone hydrochloride   
Įpurškimas   Ziconotide acetate 25 µg/ml
37°C
19 Diena
Apsaugotas nuo šviesos 2251
Bandymo lygis D
Nenurodyta Natrio chloridas 0,9% 50 mg/ml
Įpurškimas   Hydromorphone hydrochloride   
Įpurškimas   Bupivacaine hydrochloride 24 mg/ml
Įpurškimas   Clonidine hydrochloride 2 mg/ml
37°C
90 Diena
Apsaugotas nuo šviesos 2305
Nenurodyta Natrio chloridas 0,9% 2 & 20 mg/ml
Įpurškimas   Hydromorphone hydrochloride   
Įpurškimas   Midazolam hydrochloride 0.1 & 0.5 mg/ml
4°C
23 Diena
Apsaugotas nuo šviesos 345
Bandymo lygis A
Nenurodyta Gliukozė 5% 2 & 20 mg/ml
Įpurškimas   Hydromorphone hydrochloride   
Įpurškimas   Midazolam hydrochloride 0.1 & 0.5 mg/ml
23°C
23 Diena
Apsaugotas nuo šviesos 345
Bandymo lygis A
Nenurodyta Gliukozė 5% 2 & 20 mg/ml
Įpurškimas   Hydromorphone hydrochloride   
Įpurškimas   Midazolam hydrochloride 0.1 & 0.5 mg/ml
4°C
23 Diena
Apsaugotas nuo šviesos 345
Bandymo lygis A
Nenurodyta Nėra 15 mg/ml
Įpurškimas   Hydromorphone hydrochloride   
Įpurškimas   Bupivacaine hydrochloride 10 mg/ml
37°C
90 Diena
Apsaugotas nuo šviesos 4200
Bandymo lygis A

  Mentions Légales