Última actualização :
27/04/2026
Antálgico   Hydromorphone hydrochloride  
injetável
Estabilidade em soluções simples Estabilidade em misturas Factores que afectam a sua estabilidade Compatibilidade Método de administração Bibliografía pdf
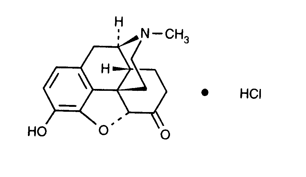
   estrutura química  

Nomes comerciais nos diversos países   Nomes comerciais nos diversos países     

OS NOMES COMERCIAIS SÃO INDICATIVOS E OS EXCIPIENTES DA FORMULAÇÃO PODEM SER DIFERENTES CONFORME O PAÍS E FABRICANTE.

Dilaudid Canadá, Estados Unidos de América
Hydal Austria
Palladon Dinamarca, Suicia
Palladone Gran-bretanha
Estabilidade em misturas   injetável   Estabilidade em misturas : Hydromorphone hydrochloride     
Embalagem Solvente concentração molécula temperatura conservação Duração da estabilidade Bibliografia
vidro cloreto de sódio 0,9% 0,25 mg/ml
injetável   Hydromorphone hydrochloride   
injetável   Granisetron hydrochloride 0,5 mg/ml
20°C-23°C
4 hora
ao abrigo da luz 57
Nível de evidência A+
vidro cloreto de sódio 0,9% 0,2 mg/ml
injetável   Hydromorphone hydrochloride   
injetável   Ketamine hydrochloride 0,2 >> 1 mg/ml
25°C
7 dia
ao abrigo da luz 2336
Nível de evidência D
vidro cloreto de sódio 0,9% 0,05 mg/ml
injetável   Hydromorphone hydrochloride   
injetável   Morphine hydrochloride 0,25 mg/ml
25°C
15 dia
no especificado 4667
Nível de evidência D
vidro cloreto de sódio 0,9% 0,05 mg/ml
injetável   Hydromorphone hydrochloride   
injetável   Morphine hydrochloride 0,25 mg/ml
37°C
15 dia
no especificado 4667
Nível de evidência D
vidro Glucose 5% 0,1 & 1 mg/ml
injetável   Hydromorphone hydrochloride   
injetável   Tacrolimus 5 & 20 µg/ml
23°C-25°C
4 hora
luz 814
Nível de evidência A
vidro nenhum 2 & 10 & 40 mg/ml
injetável   Hydromorphone hydrochloride   
injetável   Dimenhydrinate 50 mg/ml
23°C
24 hora
no especificado 1497
Nível de evidência B
vidro nenhum 0,25 mg/ml
injetável   Hydromorphone hydrochloride   
injetável   Palonosetron hydrochloride 25 µg/ml
25°C
4 hora
luz 2196
Nível de evidência A+
vidro nenhum 2 & 10 & 40 mg/ml
injetável   Hydromorphone hydrochloride   
injetável   Dimenhydrinate 50 mg/ml
37°C
24 hora
no especificado 1497
Nível de evidência B
vidro nenhum 2 & 10 & 40 mg/ml
injetável   Hydromorphone hydrochloride   
injetável   Dimenhydrinate 50 mg/ml
4°C
24 hora
ao abrigo da luz 1497
Nível de evidência B
Cloreto de polivinilo cloreto de sódio 0,9% 0,5 mg/ml
injetável   Hydromorphone hydrochloride   
injetável   Fluorouracil 1 & 16 mg/ml
-20°C
35 dia
ao abrigo da luz 513
Nível de evidência A+
Cloreto de polivinilo cloreto de sódio 0,9% 20 mg/ml
injetável   Hydromorphone hydrochloride   
injetável   Esketamine 20 mg/ml
22°C
7 dia
no especificado 4664
Nível de evidência D
Cloreto de polivinilo cloreto de sódio 0,9% 0,5 mg/ml
injetável   Hydromorphone hydrochloride   
injetável   Ondansetron hydrochloride 0,1 & 1 mg/ml
22°C
31 dia
no especificado 6
Nível de evidência A+
Cloreto de polivinilo cloreto de sódio 0,9% 0,5 mg/ml
injetável   Hydromorphone hydrochloride   
injetável   Fluorouracil 16 mg/ml
23°C
7 dia
no especificado 513
Nível de evidência A+
Cloreto de polivinilo cloreto de sódio 0,9% 0,5 mg/ml
injetável   Hydromorphone hydrochloride   
injetável   Fluorouracil 1 mg/ml
23°C
35 dia
no especificado 513
Nível de evidência A+
Cloreto de polivinilo cloreto de sódio 0,9% 0,02 & 0,1 mg/ml
injetável   Hydromorphone hydrochloride   
injetável   Bupivacaine hydrochloride 0,62 & 1,2 mg/ml
23°C-25°C
72 hora
luz 306
Nível de evidência A
Cloreto de polivinilo cloreto de sódio 0,9% 0,2 mg/ml
injetável   Hydromorphone hydrochloride   
injetável   Ketamine hydrochloride 0,2 >> 1 mg/ml
25°C
7 dia
ao abrigo da luz 2336
Nível de evidência D
Cloreto de polivinilo cloreto de sódio 0,9% 0,05 mg/ml
injetável   Hydromorphone hydrochloride   
injetável   Morphine hydrochloride 0,25 mg/ml
25°C
15 dia
no especificado 4667
Nível de evidência D
Cloreto de polivinilo cloreto de sódio 0,9% 0.0015 mg/ml
injetável   Hydromorphone hydrochloride   
injetável   Bupivacaine hydrochloride 0.5 mg/ml
25°C
30 dia
no especificado 4746
Nível de evidência A
Cloreto de polivinilo cloreto de sódio 0,9% 0.03 mg/ml
injetável   Hydromorphone hydrochloride   
injetável   Bupivacaine hydrochloride 0.5 mg/ml
25°C
30 dia
no especificado 4746
Nível de evidência A
Cloreto de polivinilo cloreto de sódio 0,9% 0.03 mg/ml
injetável   Hydromorphone hydrochloride   
injetável   Bupivacaine hydrochloride 2.5 mg/ml
25°C
30 dia
no especificado 4746
Nível de evidência A
Cloreto de polivinilo cloreto de sódio 0,9% 0.0015 mg/ml
injetável   Hydromorphone hydrochloride   
injetável   Bupivacaine hydrochloride 2.5 mg/ml
25°C
30 dia
no especificado 4746
Nível de evidência A
Cloreto de polivinilo cloreto de sódio 0,9% 0,5 mg/ml
injetável   Hydromorphone hydrochloride   
injetável   Fluorouracil 16 mg/ml
32°C
3 dia
no especificado 513
Nível de evidência A+
Cloreto de polivinilo cloreto de sódio 0,9% 0,5 mg/ml
injetável   Hydromorphone hydrochloride   
injetável   Ondansetron hydrochloride 0,1 & 1 mg/ml
32°C
7 dia
no especificado 6
Nível de evidência A+
Cloreto de polivinilo cloreto de sódio 0,9% 0,5 mg/ml
injetável   Hydromorphone hydrochloride   
injetável   Fluorouracil 1 mg/ml
32°C
7 dia
no especificado 513
Nível de evidência A+
Cloreto de polivinilo cloreto de sódio 0,9% 20 mg/ml
injetável   Hydromorphone hydrochloride   
injetável   Esketamine 20 mg/ml
37°C
7 dia
no especificado 4664
Nível de evidência D
Cloreto de polivinilo cloreto de sódio 0,9% 0,05 mg/ml
injetável   Hydromorphone hydrochloride   
injetável   Morphine hydrochloride 0,25 mg/ml
37°C
15 dia
no especificado 4667
Nível de evidência D
Cloreto de polivinilo cloreto de sódio 0,9% 0,5 mg/ml
injetável   Hydromorphone hydrochloride   
injetável   Ondansetron hydrochloride 0,1 & 1 mg/ml
4°C
31 dia
ao abrigo da luz 6
Nível de evidência A+
Cloreto de polivinilo cloreto de sódio 0,9% 0,5 mg/ml
injetável   Hydromorphone hydrochloride   
injetável   Fluorouracil 1 & 16 mg/ml
4°C
35 dia
ao abrigo da luz 513
Nível de evidência A+
Cloreto de polivinilo cloreto de sódio 0,9% 0.0015 mg/ml
injetável   Hydromorphone hydrochloride   
injetável   Bupivacaine hydrochloride 0.5 mg/ml
4°C
30 dia
no especificado 4746
Nível de evidência A
Cloreto de polivinilo cloreto de sódio 0,9% 0.03 mg/ml
injetável   Hydromorphone hydrochloride   
injetável   Bupivacaine hydrochloride 0.5 mg/ml
4°C
30 dia
no especificado 4746
Nível de evidência A
Cloreto de polivinilo cloreto de sódio 0,9% 0.03 mg/ml
injetável   Hydromorphone hydrochloride   
injetável   Bupivacaine hydrochloride 2.5 mg/ml
4°C
30 dia
no especificado 4746
Nível de evidência A
Cloreto de polivinilo cloreto de sódio 0,9% 0.0015 mg/ml
injetável   Hydromorphone hydrochloride   
injetável   Bupivacaine hydrochloride 2.5 mg/ml
4°C
30 dia
no especificado 4746
Nível de evidência A
Cloreto de polivinilo cloreto de sódio 0,9% 0,5 mg/ml
injetável   Hydromorphone hydrochloride   
injetável   Ondansetron hydrochloride 0,1 & 1 mg/ml
4°C-22°C
31 dia
no especificado 6
Nível de evidência A+
Cloreto de polivinilo cloreto de sódio 0,9% 0,5 mg/ml
injetável   Hydromorphone hydrochloride   
injetável   Granisetron hydrochloride 0,056 mg/ml
4°C-22°C
31 hora
no especificado 6
Nível de evidência A+
Cloreto de polivinilo cloreto de sódio 0,9% 0,5 mg/ml
injetável   Hydromorphone hydrochloride   
injetável   Granisetron hydrochloride 0,056 mg/ml
4°C-22°C
31 hora
no especificado 6
Nível de evidência A+
Cloreto de polivinilo Glucose 5% 0,5 mg/ml
injetável   Hydromorphone hydrochloride   
injetável   Fluorouracil 1 & 16 mg/ml
-20°C
35 dia
ao abrigo da luz 513
Nível de evidência A+
Cloreto de polivinilo Glucose 5% 0,5 mg/ml
injetável   Hydromorphone hydrochloride   
injetável   Fluorouracil 16 mg/ml
23°C
7 dia
no especificado 513
Nível de evidência A+
Cloreto de polivinilo Glucose 5% 0,5 mg/ml
injetável   Hydromorphone hydrochloride   
injetável   Fluorouracil 1 mg/ml
23°C
35 dia
no especificado 513
Nível de evidência A+
Cloreto de polivinilo Glucose 5% 0,5 mg/ml
injetável   Hydromorphone hydrochloride   
injetável   Fluorouracil 16 mg/ml
32°C
3 dia
no especificado 513
Nível de evidência A+
Cloreto de polivinilo Glucose 5% 0,5 mg/ml
injetável   Hydromorphone hydrochloride   
injetável   Fluorouracil 1 mg/ml
32°C
7 dia
no especificado 513
Nível de evidência A+
Cloreto de polivinilo Glucose 5% 0,5 mg/ml
injetável   Hydromorphone hydrochloride   
injetável   Fluorouracil 1 & 16 mg/ml
4°C
35 dia
ao abrigo da luz 513
Nível de evidência A+
Polietileno cloreto de sódio 0,9% 0,05 mg/ml
injetável   Hydromorphone hydrochloride   
injetável   Morphine hydrochloride 0,25 mg/ml
25°C
15 dia
no especificado 4667
Nível de evidência D
Polietileno cloreto de sódio 0,9% 0,05 mg/ml
injetável   Hydromorphone hydrochloride   
injetável   Morphine hydrochloride 0,25 mg/ml
37°C
15 dia
no especificado 4667
Nível de evidência D
Poliolefina cloreto de sódio 0,9% 0.0015 mg/ml
injetável   Hydromorphone hydrochloride   
injetável   Bupivacaine hydrochloride 0.5 mg/ml
25°C
30 dia
no especificado 4746
Nível de evidência A
Poliolefina cloreto de sódio 0,9% 0.03 mg/ml
injetável   Hydromorphone hydrochloride   
injetável   Bupivacaine hydrochloride 0.5 mg/ml
25°C
30 dia
no especificado 4746
Nível de evidência A
Poliolefina cloreto de sódio 0,9% 0.03 mg/ml
injetável   Hydromorphone hydrochloride   
injetável   Bupivacaine hydrochloride 2.5 mg/ml
25°C
30 dia
no especificado 4746
Nível de evidência A
Poliolefina cloreto de sódio 0,9% 0.0015 mg/ml
injetável   Hydromorphone hydrochloride   
injetável   Bupivacaine hydrochloride 2.5 mg/ml
25°C
30 dia
no especificado 4746
Nível de evidência A
Poliolefina cloreto de sódio 0,9% 0.0015 mg/ml
injetável   Hydromorphone hydrochloride   
injetável   Bupivacaine hydrochloride 0.5 mg/ml
4°C
30 dia
no especificado 4746
Nível de evidência A
Poliolefina cloreto de sódio 0,9% 0.03 mg/ml
injetável   Hydromorphone hydrochloride   
injetável   Bupivacaine hydrochloride 0.5 mg/ml
4°C
30 dia
no especificado 4746
Nível de evidência A
Poliolefina cloreto de sódio 0,9% 0.03 mg/ml
injetável   Hydromorphone hydrochloride   
injetável   Bupivacaine hydrochloride 2.5 mg/ml
4°C
30 dia
no especificado 4746
Nível de evidência A
Poliolefina cloreto de sódio 0,9% 0.0015 mg/ml
injetável   Hydromorphone hydrochloride   
injetável   Bupivacaine hydrochloride 2.5 mg/ml
4°C
30 dia
no especificado 4746
Nível de evidência A
seringa polipropylen cloreto de sódio 0,9% 0,02 & 0,04 mg/ml
injetável   Hydromorphone hydrochloride   
injetável   Bupivacaine hydrochloride 2,5 mg/ml
22°C
91 dia
luz 1931
Nível de evidência A
seringa polipropylen cloreto de sódio 0,9% 0,2 mg/ml
injetável   Hydromorphone hydrochloride   
injetável   Ketamine hydrochloride 0,2 >> 1 mg/ml
25°C
7 dia
ao abrigo da luz 2336
Nível de evidência D
seringa polipropylen cloreto de sódio 0,9% 10 mg/ml
injetável   Hydromorphone hydrochloride   
injetável   Scopolamine hydrobromide 0,04 mg/ml
injetável   Famotidine 0,4 mg/ml
injetável   Haloperidol lactate 0,5 mg/ml
injetável   Dimenhydrinate 5 mg/ml
25°C
12 hora
no especificado 2166
seringa polipropylen cloreto de sódio 0,9% 10 mg/ml
injetável   Hydromorphone hydrochloride   
injetável   Famotidine 0,4 mg/ml
injetável   Midazolam hydrochloride 1 mg/ml
25°C
96 hora
no especificado 2166
seringa polipropylen cloreto de sódio 0,9% 10 mg/ml
injetável   Hydromorphone hydrochloride   
injetável   Haloperidol lactate 0,5 mg/ml
injetável   Metoclopramide hydrochloride 0,5 mg/ml
25°C
96 hora
no especificado 2166
seringa polipropylen cloreto de sódio 0,9% 10 mg/ml
injetável   Hydromorphone hydrochloride   
injetável   Famotidine 0,4 mg/ml
injetável   Metoclopramide hydrochloride 0,5 mg/ml
supositório   Ketoprofene   
25°C
96 hora
no especificado 2166
seringa polipropylen cloreto de sódio 0,9% 10 mg/ml
injetável   Hydromorphone hydrochloride   
injetável   Scopolamine hydrobromide 0,04 mg/ml
injetável   Famotidine 0,4 mg/ml
injetável   Haloperidol lactate 0,5 mg/ml
injetável   Dimenhydrinate 5 mg/ml
4°C
12 hora
no especificado 2166
seringa polipropylen cloreto de sódio 0,9% 10 mg/ml
injetável   Hydromorphone hydrochloride   
injetável   Famotidine 0,4 mg/ml
injetável   Midazolam hydrochloride 1 mg/ml
4°C
96 hora
no especificado 2166
seringa polipropylen cloreto de sódio 0,9% 10 mg/ml
injetável   Hydromorphone hydrochloride   
injetável   Famotidine 0,4 mg/ml
injetável   Metoclopramide hydrochloride 0,5 mg/ml
injetável   Ketorolac tromethamine 1,5 mg/ml
4°C
96 hora
no especificado 2166
seringa polipropylen cloreto de sódio 0,9% 0,02 & 0,04 mg/ml
injetável   Hydromorphone hydrochloride   
injetável   Bupivacaine hydrochloride 2,5 mg/ml
6°C
91 dia
ao abrigo da luz 1931
Nível de evidência A
Elastômero de poliisopreno cloreto de sódio 0,9% 0,08 mg/ml
injetável   Hydromorphone hydrochloride   
injetável   Fentanyl citrate 16 µg/ml
injetável   Nefopam 0,8 mg/ml
injetável   Ramosetron hydrochloride 12 µg/ml
24°C
4 dia
ao abrigo da luz 4666
Nível de evidência D
Elastômero de poliisopreno cloreto de sódio 0,9% 0,08 mg/ml
injetável   Hydromorphone hydrochloride   
injetável   Fentanyl citrate 16 µg/ml
injetável   Nefopam 0,8 mg/ml
injetável   Ondansetron hydrochloride 0,32 mg/ml
24°C
4 dia
ao abrigo da luz 4666
Nível de evidência D
no especificado cloreto de sódio 0,9% 2 & 20 mg/ml
injetável   Hydromorphone hydrochloride   
injetável   Midazolam hydrochloride 0.1 & 0.5 mg/ml
23°C
23 dia
ao abrigo da luz 345
Nível de evidência A
no especificado cloreto de sódio 0,9% 35 mg/ml
injetável   Hydromorphone hydrochloride   
injetável   Ziconotide acetate 25 µg/ml
37°C
19 dia
ao abrigo da luz 2251
Nível de evidência D
no especificado cloreto de sódio 0,9% 50 mg/ml
injetável   Hydromorphone hydrochloride   
injetável   Bupivacaine hydrochloride 24 mg/ml
injetável   Clonidine hydrochloride 2 mg/ml
37°C
90 dia
ao abrigo da luz 2305
no especificado cloreto de sódio 0,9% 2 & 20 mg/ml
injetável   Hydromorphone hydrochloride   
injetável   Midazolam hydrochloride 0.1 & 0.5 mg/ml
4°C
23 dia
ao abrigo da luz 345
Nível de evidência A
no especificado Glucose 5% 2 & 20 mg/ml
injetável   Hydromorphone hydrochloride   
injetável   Midazolam hydrochloride 0.1 & 0.5 mg/ml
23°C
23 dia
ao abrigo da luz 345
Nível de evidência A
no especificado Glucose 5% 2 & 20 mg/ml
injetável   Hydromorphone hydrochloride   
injetável   Midazolam hydrochloride 0.1 & 0.5 mg/ml
4°C
23 dia
ao abrigo da luz 345
Nível de evidência A
no especificado nenhum 15 mg/ml
injetável   Hydromorphone hydrochloride   
injetável   Bupivacaine hydrochloride 10 mg/ml
37°C
90 dia
ao abrigo da luz 4200
Nível de evidência A

  Mentions Légales