Last update :
27/04/2026
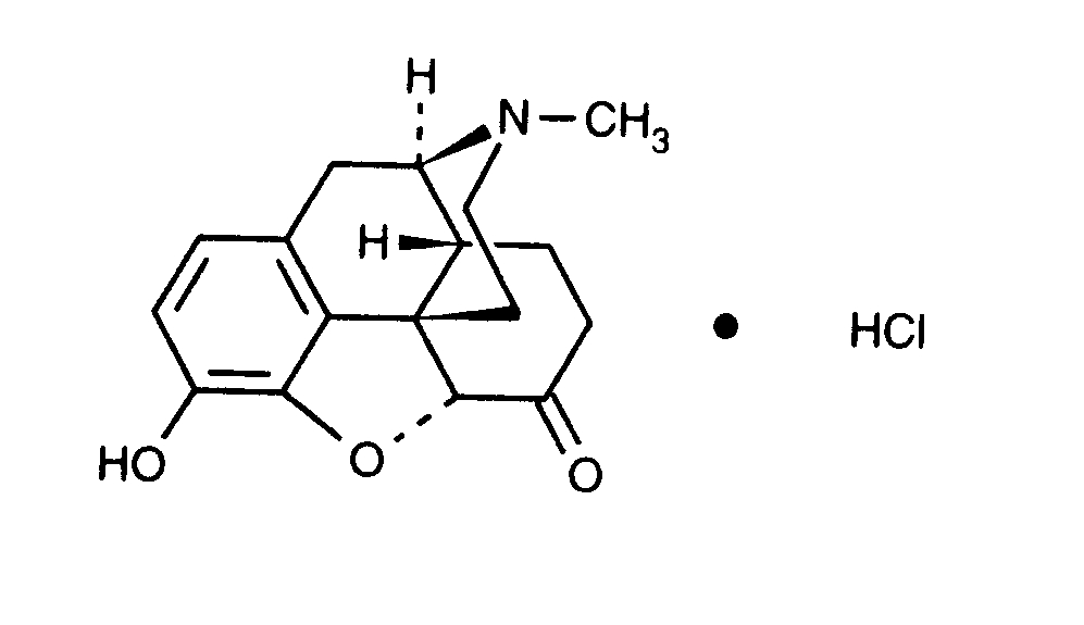
Analgesic   Hydromorphone hydrochloride  
injection
Stability in solutions Stability of mixtures Factors which affect stability Compatibility Route of administration References pdf
   Chemical structure  

Tradename   Tradename     

Trade names are indicative and excipients composition can be different depending on the country and manufacturers

Dilaudid Canada, United States of America
Hydal Austria
Palladon Denmark, Switzerland
Palladone Great Britain
Stability of mixtures   injection   Stability of mixtures : Hydromorphone hydrochloride     
Container Solvent Concentration Compound Temperature Storage Duration of stability References
Glass Sodium chloride 0,9% 0,25 mg/ml
injection   Hydromorphone hydrochloride   
injection   Granisetron hydrochloride 0,5 mg/ml
20°C-23°C
4 Hour
Protect from light 57
Level of evidence A+
Glass Sodium chloride 0,9% 0,2 mg/ml
injection   Hydromorphone hydrochloride   
injection   Ketamine hydrochloride 0,2 >> 1 mg/ml
25°C
7 Day
Protect from light 2336
Level of evidence D
Glass Sodium chloride 0,9% 0,05 mg/ml
injection   Hydromorphone hydrochloride   
injection   Morphine hydrochloride 0,25 mg/ml
25°C
15 Day
Not specified 4667
Level of evidence D
Glass Sodium chloride 0,9% 0,05 mg/ml
injection   Hydromorphone hydrochloride   
injection   Morphine hydrochloride 0,25 mg/ml
37°C
15 Day
Not specified 4667
Level of evidence D
Glass Glucose 5% 0,1 & 1 mg/ml
injection   Hydromorphone hydrochloride   
injection   Tacrolimus 5 & 20 µg/ml
23°C-25°C
4 Hour
Light 814
Level of evidence A
Glass None 2 & 10 & 40 mg/ml
injection   Hydromorphone hydrochloride   
injection   Dimenhydrinate 50 mg/ml
23°C
24 Hour
Not specified 1497
Level of evidence B
Glass None 0,25 mg/ml
injection   Hydromorphone hydrochloride   
injection   Palonosetron hydrochloride 25 µg/ml
25°C
4 Hour
Light 2196
Level of evidence A+
Glass None 2 & 10 & 40 mg/ml
injection   Hydromorphone hydrochloride   
injection   Dimenhydrinate 50 mg/ml
37°C
24 Hour
Not specified 1497
Level of evidence B
Glass None 2 & 10 & 40 mg/ml
injection   Hydromorphone hydrochloride   
injection   Dimenhydrinate 50 mg/ml
4°C
24 Hour
Protect from light 1497
Level of evidence B
Polyvinyl chloride Sodium chloride 0,9% 0,5 mg/ml
injection   Hydromorphone hydrochloride   
injection   Fluorouracil 1 & 16 mg/ml
-20°C
35 Day
Protect from light 513
Level of evidence A+
Polyvinyl chloride Sodium chloride 0,9% 20 mg/ml
injection   Hydromorphone hydrochloride   
injection   Esketamine 20 mg/ml
22°C
7 Day
Not specified 4664
Level of evidence D
Polyvinyl chloride Sodium chloride 0,9% 0,5 mg/ml
injection   Hydromorphone hydrochloride   
injection   Ondansetron hydrochloride 0,1 & 1 mg/ml
22°C
31 Day
Not specified 6
Level of evidence A+
Polyvinyl chloride Sodium chloride 0,9% 0,5 mg/ml
injection   Hydromorphone hydrochloride   
injection   Fluorouracil 16 mg/ml
23°C
7 Day
Not specified 513
Level of evidence A+
Polyvinyl chloride Sodium chloride 0,9% 0,5 mg/ml
injection   Hydromorphone hydrochloride   
injection   Fluorouracil 1 mg/ml
23°C
35 Day
Not specified 513
Level of evidence A+
Polyvinyl chloride Sodium chloride 0,9% 0,02 & 0,1 mg/ml
injection   Hydromorphone hydrochloride   
injection   Bupivacaine hydrochloride 0,62 & 1,2 mg/ml
23°C-25°C
72 Hour
Light 306
Level of evidence A
Polyvinyl chloride Sodium chloride 0,9% 0,2 mg/ml
injection   Hydromorphone hydrochloride   
injection   Ketamine hydrochloride 0,2 >> 1 mg/ml
25°C
7 Day
Protect from light 2336
Level of evidence D
Polyvinyl chloride Sodium chloride 0,9% 0,05 mg/ml
injection   Hydromorphone hydrochloride   
injection   Morphine hydrochloride 0,25 mg/ml
25°C
15 Day
Not specified 4667
Level of evidence D
Polyvinyl chloride Sodium chloride 0,9% 0.0015 mg/ml
injection   Hydromorphone hydrochloride   
injection   Bupivacaine hydrochloride 0.5 mg/ml
25°C
30 Day
Not specified 4746
Level of evidence A
Polyvinyl chloride Sodium chloride 0,9% 0.03 mg/ml
injection   Hydromorphone hydrochloride   
injection   Bupivacaine hydrochloride 0.5 mg/ml
25°C
30 Day
Not specified 4746
Level of evidence A
Polyvinyl chloride Sodium chloride 0,9% 0.03 mg/ml
injection   Hydromorphone hydrochloride   
injection   Bupivacaine hydrochloride 2.5 mg/ml
25°C
30 Day
Not specified 4746
Level of evidence A
Polyvinyl chloride Sodium chloride 0,9% 0.0015 mg/ml
injection   Hydromorphone hydrochloride   
injection   Bupivacaine hydrochloride 2.5 mg/ml
25°C
30 Day
Not specified 4746
Level of evidence A
Polyvinyl chloride Sodium chloride 0,9% 0,5 mg/ml
injection   Hydromorphone hydrochloride   
injection   Fluorouracil 16 mg/ml
32°C
3 Day
Not specified 513
Level of evidence A+
Polyvinyl chloride Sodium chloride 0,9% 0,5 mg/ml
injection   Hydromorphone hydrochloride   
injection   Ondansetron hydrochloride 0,1 & 1 mg/ml
32°C
7 Day
Not specified 6
Level of evidence A+
Polyvinyl chloride Sodium chloride 0,9% 0,5 mg/ml
injection   Hydromorphone hydrochloride   
injection   Fluorouracil 1 mg/ml
32°C
7 Day
Not specified 513
Level of evidence A+
Polyvinyl chloride Sodium chloride 0,9% 20 mg/ml
injection   Hydromorphone hydrochloride   
injection   Esketamine 20 mg/ml
37°C
7 Day
Not specified 4664
Level of evidence D
Polyvinyl chloride Sodium chloride 0,9% 0,05 mg/ml
injection   Hydromorphone hydrochloride   
injection   Morphine hydrochloride 0,25 mg/ml
37°C
15 Day
Not specified 4667
Level of evidence D
Polyvinyl chloride Sodium chloride 0,9% 0,5 mg/ml
injection   Hydromorphone hydrochloride   
injection   Ondansetron hydrochloride 0,1 & 1 mg/ml
4°C
31 Day
Protect from light 6
Level of evidence A+
Polyvinyl chloride Sodium chloride 0,9% 0,5 mg/ml
injection   Hydromorphone hydrochloride   
injection   Fluorouracil 1 & 16 mg/ml
4°C
35 Day
Protect from light 513
Level of evidence A+
Polyvinyl chloride Sodium chloride 0,9% 0.0015 mg/ml
injection   Hydromorphone hydrochloride   
injection   Bupivacaine hydrochloride 0.5 mg/ml
4°C
30 Day
Not specified 4746
Level of evidence A
Polyvinyl chloride Sodium chloride 0,9% 0.03 mg/ml
injection   Hydromorphone hydrochloride   
injection   Bupivacaine hydrochloride 0.5 mg/ml
4°C
30 Day
Not specified 4746
Level of evidence A
Polyvinyl chloride Sodium chloride 0,9% 0.03 mg/ml
injection   Hydromorphone hydrochloride   
injection   Bupivacaine hydrochloride 2.5 mg/ml
4°C
30 Day
Not specified 4746
Level of evidence A
Polyvinyl chloride Sodium chloride 0,9% 0.0015 mg/ml
injection   Hydromorphone hydrochloride   
injection   Bupivacaine hydrochloride 2.5 mg/ml
4°C
30 Day
Not specified 4746
Level of evidence A
Polyvinyl chloride Sodium chloride 0,9% 0,5 mg/ml
injection   Hydromorphone hydrochloride   
injection   Ondansetron hydrochloride 0,1 & 1 mg/ml
4°C-22°C
31 Day
Not specified 6
Level of evidence A+
Polyvinyl chloride Sodium chloride 0,9% 0,5 mg/ml
injection   Hydromorphone hydrochloride   
injection   Granisetron hydrochloride 0,056 mg/ml
4°C-22°C
31 Hour
Not specified 6
Level of evidence A+
Polyvinyl chloride Sodium chloride 0,9% 0,5 mg/ml
injection   Hydromorphone hydrochloride   
injection   Granisetron hydrochloride 0,056 mg/ml
4°C-22°C
31 Hour
Not specified 6
Level of evidence A+
Polyvinyl chloride Glucose 5% 0,5 mg/ml
injection   Hydromorphone hydrochloride   
injection   Fluorouracil 1 & 16 mg/ml
-20°C
35 Day
Protect from light 513
Level of evidence A+
Polyvinyl chloride Glucose 5% 0,5 mg/ml
injection   Hydromorphone hydrochloride   
injection   Fluorouracil 16 mg/ml
23°C
7 Day
Not specified 513
Level of evidence A+
Polyvinyl chloride Glucose 5% 0,5 mg/ml
injection   Hydromorphone hydrochloride   
injection   Fluorouracil 1 mg/ml
23°C
35 Day
Not specified 513
Level of evidence A+
Polyvinyl chloride Glucose 5% 0,5 mg/ml
injection   Hydromorphone hydrochloride   
injection   Fluorouracil 16 mg/ml
32°C
3 Day
Not specified 513
Level of evidence A+
Polyvinyl chloride Glucose 5% 0,5 mg/ml
injection   Hydromorphone hydrochloride   
injection   Fluorouracil 1 mg/ml
32°C
7 Day
Not specified 513
Level of evidence A+
Polyvinyl chloride Glucose 5% 0,5 mg/ml
injection   Hydromorphone hydrochloride   
injection   Fluorouracil 1 & 16 mg/ml
4°C
35 Day
Protect from light 513
Level of evidence A+
Polyethylene Sodium chloride 0,9% 0,05 mg/ml
injection   Hydromorphone hydrochloride   
injection   Morphine hydrochloride 0,25 mg/ml
25°C
15 Day
Not specified 4667
Level of evidence D
Polyethylene Sodium chloride 0,9% 0,05 mg/ml
injection   Hydromorphone hydrochloride   
injection   Morphine hydrochloride 0,25 mg/ml
37°C
15 Day
Not specified 4667
Level of evidence D
Polyolefine Sodium chloride 0,9% 0.0015 mg/ml
injection   Hydromorphone hydrochloride   
injection   Bupivacaine hydrochloride 0.5 mg/ml
25°C
30 Day
Not specified 4746
Level of evidence A
Polyolefine Sodium chloride 0,9% 0.03 mg/ml
injection   Hydromorphone hydrochloride   
injection   Bupivacaine hydrochloride 0.5 mg/ml
25°C
30 Day
Not specified 4746
Level of evidence A
Polyolefine Sodium chloride 0,9% 0.03 mg/ml
injection   Hydromorphone hydrochloride   
injection   Bupivacaine hydrochloride 2.5 mg/ml
25°C
30 Day
Not specified 4746
Level of evidence A
Polyolefine Sodium chloride 0,9% 0.0015 mg/ml
injection   Hydromorphone hydrochloride   
injection   Bupivacaine hydrochloride 2.5 mg/ml
25°C
30 Day
Not specified 4746
Level of evidence A
Polyolefine Sodium chloride 0,9% 0.0015 mg/ml
injection   Hydromorphone hydrochloride   
injection   Bupivacaine hydrochloride 0.5 mg/ml
4°C
30 Day
Not specified 4746
Level of evidence A
Polyolefine Sodium chloride 0,9% 0.03 mg/ml
injection   Hydromorphone hydrochloride   
injection   Bupivacaine hydrochloride 0.5 mg/ml
4°C
30 Day
Not specified 4746
Level of evidence A
Polyolefine Sodium chloride 0,9% 0.03 mg/ml
injection   Hydromorphone hydrochloride   
injection   Bupivacaine hydrochloride 2.5 mg/ml
4°C
30 Day
Not specified 4746
Level of evidence A
Polyolefine Sodium chloride 0,9% 0.0015 mg/ml
injection   Hydromorphone hydrochloride   
injection   Bupivacaine hydrochloride 2.5 mg/ml
4°C
30 Day
Not specified 4746
Level of evidence A
Polypropylen Syringe Sodium chloride 0,9% 0,02 & 0,04 mg/ml
injection   Hydromorphone hydrochloride   
injection   Bupivacaine hydrochloride 2,5 mg/ml
22°C
91 Day
Light 1931
Level of evidence A
Polypropylen Syringe Sodium chloride 0,9% 0,2 mg/ml
injection   Hydromorphone hydrochloride   
injection   Ketamine hydrochloride 0,2 >> 1 mg/ml
25°C
7 Day
Protect from light 2336
Level of evidence D
Polypropylen Syringe Sodium chloride 0,9% 10 mg/ml
injection   Hydromorphone hydrochloride   
injection   Scopolamine hydrobromide 0,04 mg/ml
injection   Famotidine 0,4 mg/ml
injection   Haloperidol lactate 0,5 mg/ml
injection   Dimenhydrinate 5 mg/ml
25°C
12 Hour
Not specified 2166
Polypropylen Syringe Sodium chloride 0,9% 10 mg/ml
injection   Hydromorphone hydrochloride   
injection   Famotidine 0,4 mg/ml
injection   Midazolam hydrochloride 1 mg/ml
25°C
96 Hour
Not specified 2166
Polypropylen Syringe Sodium chloride 0,9% 10 mg/ml
injection   Hydromorphone hydrochloride   
injection   Haloperidol lactate 0,5 mg/ml
injection   Metoclopramide hydrochloride 0,5 mg/ml
25°C
96 Hour
Not specified 2166
Polypropylen Syringe Sodium chloride 0,9% 10 mg/ml
injection   Hydromorphone hydrochloride   
injection   Famotidine 0,4 mg/ml
injection   Metoclopramide hydrochloride 0,5 mg/ml
suppository   Ketoprofene   
25°C
96 Hour
Not specified 2166
Polypropylen Syringe Sodium chloride 0,9% 10 mg/ml
injection   Hydromorphone hydrochloride   
injection   Scopolamine hydrobromide 0,04 mg/ml
injection   Famotidine 0,4 mg/ml
injection   Haloperidol lactate 0,5 mg/ml
injection   Dimenhydrinate 5 mg/ml
4°C
12 Hour
Not specified 2166
Polypropylen Syringe Sodium chloride 0,9% 10 mg/ml
injection   Hydromorphone hydrochloride   
injection   Famotidine 0,4 mg/ml
injection   Midazolam hydrochloride 1 mg/ml
4°C
96 Hour
Not specified 2166
Polypropylen Syringe Sodium chloride 0,9% 10 mg/ml
injection   Hydromorphone hydrochloride   
injection   Famotidine 0,4 mg/ml
injection   Metoclopramide hydrochloride 0,5 mg/ml
injection   Ketorolac tromethamine 1,5 mg/ml
4°C
96 Hour
Not specified 2166
Polypropylen Syringe Sodium chloride 0,9% 0,02 & 0,04 mg/ml
injection   Hydromorphone hydrochloride   
injection   Bupivacaine hydrochloride 2,5 mg/ml
6°C
91 Day
Protect from light 1931
Level of evidence A
Polyisoprene elastomer Sodium chloride 0,9% 0,08 mg/ml
injection   Hydromorphone hydrochloride   
injection   Fentanyl citrate 16 µg/ml
injection   Nefopam 0,8 mg/ml
injection   Ramosetron hydrochloride 12 µg/ml
24°C
4 Day
Protect from light 4666
Level of evidence D
Polyisoprene elastomer Sodium chloride 0,9% 0,08 mg/ml
injection   Hydromorphone hydrochloride   
injection   Fentanyl citrate 16 µg/ml
injection   Nefopam 0,8 mg/ml
injection   Ondansetron hydrochloride 0,32 mg/ml
24°C
4 Day
Protect from light 4666
Level of evidence D
Not specified Sodium chloride 0,9% 2 & 20 mg/ml
injection   Hydromorphone hydrochloride   
injection   Midazolam hydrochloride 0.1 & 0.5 mg/ml
23°C
23 Day
Protect from light 345
Level of evidence A
Not specified Sodium chloride 0,9% 35 mg/ml
injection   Hydromorphone hydrochloride   
injection   Ziconotide acetate 25 µg/ml
37°C
19 Day
Protect from light 2251
Level of evidence D
Not specified Sodium chloride 0,9% 50 mg/ml
injection   Hydromorphone hydrochloride   
injection   Bupivacaine hydrochloride 24 mg/ml
injection   Clonidine hydrochloride 2 mg/ml
37°C
90 Day
Protect from light 2305
Not specified Sodium chloride 0,9% 2 & 20 mg/ml
injection   Hydromorphone hydrochloride   
injection   Midazolam hydrochloride 0.1 & 0.5 mg/ml
4°C
23 Day
Protect from light 345
Level of evidence A
Not specified Glucose 5% 2 & 20 mg/ml
injection   Hydromorphone hydrochloride   
injection   Midazolam hydrochloride 0.1 & 0.5 mg/ml
23°C
23 Day
Protect from light 345
Level of evidence A
Not specified Glucose 5% 2 & 20 mg/ml
injection   Hydromorphone hydrochloride   
injection   Midazolam hydrochloride 0.1 & 0.5 mg/ml
4°C
23 Day
Protect from light 345
Level of evidence A
Not specified None 15 mg/ml
injection   Hydromorphone hydrochloride   
injection   Bupivacaine hydrochloride 10 mg/ml
37°C
90 Day
Protect from light 4200
Level of evidence A

  Mentions Légales