Poslední aktualizace :
27/04/2026
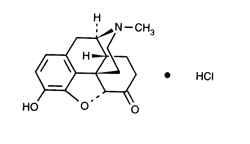
Analgetikum   Hydromorphone hydrochloride  
injekce
Stabilita roztoků Stabilita směsí Faktory ovlivňující stabilitu Kompatibilita Způsoby aplikace Odkazy pdf
   Chemický vzorec  

Obchodní název   Obchodní název     

Trade names are indicative and excipients composition can be different depending on the country and manufacturers

Dilaudid Kanada, USA
Hydal Rakousko
Palladon Dánsko, Švýcarsko
Palladone Velká Británie
Stabilita směsí   injekce   Stabilita směsí : Hydromorphone hydrochloride     
Obal RozpouötÏdlo Koncentrace SlouËenina Teplota Uchovávání Trvání stability Odkazy
Sklo Chlorid sodný 0,9% 0,25 mg/ml
injekce   Hydromorphone hydrochloride   
injekce   Granisetron hydrochloride 0,5 mg/ml
20°C-23°C
4 Hodina
Chráněno před světlem 57
Úroveň zkoušky A+
Sklo Chlorid sodný 0,9% 0,2 mg/ml
injekce   Hydromorphone hydrochloride   
injekce   Ketamine hydrochloride 0,2 >> 1 mg/ml
25°C
7 Den
Chráněno před světlem 2336
Úroveň zkoušky D
Sklo Chlorid sodný 0,9% 0,05 mg/ml
injekce   Hydromorphone hydrochloride   
injekce   Morphine hydrochloride 0,25 mg/ml
25°C
15 Den
Nespecifikováno 4667
Úroveň zkoušky D
Sklo Chlorid sodný 0,9% 0,05 mg/ml
injekce   Hydromorphone hydrochloride   
injekce   Morphine hydrochloride 0,25 mg/ml
37°C
15 Den
Nespecifikováno 4667
Úroveň zkoušky D
Sklo GlukÛza 5% 0,1 & 1 mg/ml
injekce   Hydromorphone hydrochloride   
injekce   Tacrolimus 5 & 20 µg/ml
23°C-25°C
4 Hodina
SvÏtlo 814
Úroveň zkoušky A
Sklo Žádné 2 & 10 & 40 mg/ml
injekce   Hydromorphone hydrochloride   
injekce   Dimenhydrinate 50 mg/ml
23°C
24 Hodina
Nespecifikováno 1497
Úroveň zkoušky B
Sklo Žádné 0,25 mg/ml
injekce   Hydromorphone hydrochloride   
injekce   Palonosetron hydrochloride 25 µg/ml
25°C
4 Hodina
SvÏtlo 2196
Úroveň zkoušky A+
Sklo Žádné 2 & 10 & 40 mg/ml
injekce   Hydromorphone hydrochloride   
injekce   Dimenhydrinate 50 mg/ml
37°C
24 Hodina
Nespecifikováno 1497
Úroveň zkoušky B
Sklo Žádné 2 & 10 & 40 mg/ml
injekce   Hydromorphone hydrochloride   
injekce   Dimenhydrinate 50 mg/ml
4°C
24 Hodina
Chráněno před světlem 1497
Úroveň zkoušky B
Polyvinyl chlorid Chlorid sodný 0,9% 0,5 mg/ml
injekce   Hydromorphone hydrochloride   
injekce   Fluorouracil 1 & 16 mg/ml
-20°C
35 Den
Chráněno před světlem 513
Úroveň zkoušky A+
Polyvinyl chlorid Chlorid sodný 0,9% 20 mg/ml
injekce   Hydromorphone hydrochloride   
injekce   Esketamine 20 mg/ml
22°C
7 Den
Nespecifikováno 4664
Úroveň zkoušky D
Polyvinyl chlorid Chlorid sodný 0,9% 0,5 mg/ml
injekce   Hydromorphone hydrochloride   
injekce   Ondansetron hydrochloride 0,1 & 1 mg/ml
22°C
31 Den
Nespecifikováno 6
Úroveň zkoušky A+
Polyvinyl chlorid Chlorid sodný 0,9% 0,5 mg/ml
injekce   Hydromorphone hydrochloride   
injekce   Fluorouracil 16 mg/ml
23°C
7 Den
Nespecifikováno 513
Úroveň zkoušky A+
Polyvinyl chlorid Chlorid sodný 0,9% 0,5 mg/ml
injekce   Hydromorphone hydrochloride   
injekce   Fluorouracil 1 mg/ml
23°C
35 Den
Nespecifikováno 513
Úroveň zkoušky A+
Polyvinyl chlorid Chlorid sodný 0,9% 0,02 & 0,1 mg/ml
injekce   Hydromorphone hydrochloride   
injekce   Bupivacaine hydrochloride 0,62 & 1,2 mg/ml
23°C-25°C
72 Hodina
SvÏtlo 306
Úroveň zkoušky A
Polyvinyl chlorid Chlorid sodný 0,9% 0,2 mg/ml
injekce   Hydromorphone hydrochloride   
injekce   Ketamine hydrochloride 0,2 >> 1 mg/ml
25°C
7 Den
Chráněno před světlem 2336
Úroveň zkoušky D
Polyvinyl chlorid Chlorid sodný 0,9% 0,05 mg/ml
injekce   Hydromorphone hydrochloride   
injekce   Morphine hydrochloride 0,25 mg/ml
25°C
15 Den
Nespecifikováno 4667
Úroveň zkoušky D
Polyvinyl chlorid Chlorid sodný 0,9% 0.0015 mg/ml
injekce   Hydromorphone hydrochloride   
injekce   Bupivacaine hydrochloride 0.5 mg/ml
25°C
30 Den
Nespecifikováno 4746
Úroveň zkoušky A
Polyvinyl chlorid Chlorid sodný 0,9% 0.03 mg/ml
injekce   Hydromorphone hydrochloride   
injekce   Bupivacaine hydrochloride 0.5 mg/ml
25°C
30 Den
Nespecifikováno 4746
Úroveň zkoušky A
Polyvinyl chlorid Chlorid sodný 0,9% 0.03 mg/ml
injekce   Hydromorphone hydrochloride   
injekce   Bupivacaine hydrochloride 2.5 mg/ml
25°C
30 Den
Nespecifikováno 4746
Úroveň zkoušky A
Polyvinyl chlorid Chlorid sodný 0,9% 0.0015 mg/ml
injekce   Hydromorphone hydrochloride   
injekce   Bupivacaine hydrochloride 2.5 mg/ml
25°C
30 Den
Nespecifikováno 4746
Úroveň zkoušky A
Polyvinyl chlorid Chlorid sodný 0,9% 0,5 mg/ml
injekce   Hydromorphone hydrochloride   
injekce   Fluorouracil 16 mg/ml
32°C
3 Den
Nespecifikováno 513
Úroveň zkoušky A+
Polyvinyl chlorid Chlorid sodný 0,9% 0,5 mg/ml
injekce   Hydromorphone hydrochloride   
injekce   Ondansetron hydrochloride 0,1 & 1 mg/ml
32°C
7 Den
Nespecifikováno 6
Úroveň zkoušky A+
Polyvinyl chlorid Chlorid sodný 0,9% 0,5 mg/ml
injekce   Hydromorphone hydrochloride   
injekce   Fluorouracil 1 mg/ml
32°C
7 Den
Nespecifikováno 513
Úroveň zkoušky A+
Polyvinyl chlorid Chlorid sodný 0,9% 20 mg/ml
injekce   Hydromorphone hydrochloride   
injekce   Esketamine 20 mg/ml
37°C
7 Den
Nespecifikováno 4664
Úroveň zkoušky D
Polyvinyl chlorid Chlorid sodný 0,9% 0,05 mg/ml
injekce   Hydromorphone hydrochloride   
injekce   Morphine hydrochloride 0,25 mg/ml
37°C
15 Den
Nespecifikováno 4667
Úroveň zkoušky D
Polyvinyl chlorid Chlorid sodný 0,9% 0,5 mg/ml
injekce   Hydromorphone hydrochloride   
injekce   Ondansetron hydrochloride 0,1 & 1 mg/ml
4°C
31 Den
Chráněno před světlem 6
Úroveň zkoušky A+
Polyvinyl chlorid Chlorid sodný 0,9% 0,5 mg/ml
injekce   Hydromorphone hydrochloride   
injekce   Fluorouracil 1 & 16 mg/ml
4°C
35 Den
Chráněno před světlem 513
Úroveň zkoušky A+
Polyvinyl chlorid Chlorid sodný 0,9% 0.0015 mg/ml
injekce   Hydromorphone hydrochloride   
injekce   Bupivacaine hydrochloride 0.5 mg/ml
4°C
30 Den
Nespecifikováno 4746
Úroveň zkoušky A
Polyvinyl chlorid Chlorid sodný 0,9% 0.03 mg/ml
injekce   Hydromorphone hydrochloride   
injekce   Bupivacaine hydrochloride 0.5 mg/ml
4°C
30 Den
Nespecifikováno 4746
Úroveň zkoušky A
Polyvinyl chlorid Chlorid sodný 0,9% 0.03 mg/ml
injekce   Hydromorphone hydrochloride   
injekce   Bupivacaine hydrochloride 2.5 mg/ml
4°C
30 Den
Nespecifikováno 4746
Úroveň zkoušky A
Polyvinyl chlorid Chlorid sodný 0,9% 0.0015 mg/ml
injekce   Hydromorphone hydrochloride   
injekce   Bupivacaine hydrochloride 2.5 mg/ml
4°C
30 Den
Nespecifikováno 4746
Úroveň zkoušky A
Polyvinyl chlorid Chlorid sodný 0,9% 0,5 mg/ml
injekce   Hydromorphone hydrochloride   
injekce   Ondansetron hydrochloride 0,1 & 1 mg/ml
4°C-22°C
31 Den
Nespecifikováno 6
Úroveň zkoušky A+
Polyvinyl chlorid Chlorid sodný 0,9% 0,5 mg/ml
injekce   Hydromorphone hydrochloride   
injekce   Granisetron hydrochloride 0,056 mg/ml
4°C-22°C
31 Hodina
Nespecifikováno 6
Úroveň zkoušky A+
Polyvinyl chlorid Chlorid sodný 0,9% 0,5 mg/ml
injekce   Hydromorphone hydrochloride   
injekce   Granisetron hydrochloride 0,056 mg/ml
4°C-22°C
31 Hodina
Nespecifikováno 6
Úroveň zkoušky A+
Polyvinyl chlorid GlukÛza 5% 0,5 mg/ml
injekce   Hydromorphone hydrochloride   
injekce   Fluorouracil 1 & 16 mg/ml
-20°C
35 Den
Chráněno před světlem 513
Úroveň zkoušky A+
Polyvinyl chlorid GlukÛza 5% 0,5 mg/ml
injekce   Hydromorphone hydrochloride   
injekce   Fluorouracil 16 mg/ml
23°C
7 Den
Nespecifikováno 513
Úroveň zkoušky A+
Polyvinyl chlorid GlukÛza 5% 0,5 mg/ml
injekce   Hydromorphone hydrochloride   
injekce   Fluorouracil 1 mg/ml
23°C
35 Den
Nespecifikováno 513
Úroveň zkoušky A+
Polyvinyl chlorid GlukÛza 5% 0,5 mg/ml
injekce   Hydromorphone hydrochloride   
injekce   Fluorouracil 16 mg/ml
32°C
3 Den
Nespecifikováno 513
Úroveň zkoušky A+
Polyvinyl chlorid GlukÛza 5% 0,5 mg/ml
injekce   Hydromorphone hydrochloride   
injekce   Fluorouracil 1 mg/ml
32°C
7 Den
Nespecifikováno 513
Úroveň zkoušky A+
Polyvinyl chlorid GlukÛza 5% 0,5 mg/ml
injekce   Hydromorphone hydrochloride   
injekce   Fluorouracil 1 & 16 mg/ml
4°C
35 Den
Chráněno před světlem 513
Úroveň zkoušky A+
Polyethylen Chlorid sodný 0,9% 0,05 mg/ml
injekce   Hydromorphone hydrochloride   
injekce   Morphine hydrochloride 0,25 mg/ml
25°C
15 Den
Nespecifikováno 4667
Úroveň zkoušky D
Polyethylen Chlorid sodný 0,9% 0,05 mg/ml
injekce   Hydromorphone hydrochloride   
injekce   Morphine hydrochloride 0,25 mg/ml
37°C
15 Den
Nespecifikováno 4667
Úroveň zkoušky D
Polyoleofin Chlorid sodný 0,9% 0.0015 mg/ml
injekce   Hydromorphone hydrochloride   
injekce   Bupivacaine hydrochloride 0.5 mg/ml
25°C
30 Den
Nespecifikováno 4746
Úroveň zkoušky A
Polyoleofin Chlorid sodný 0,9% 0.03 mg/ml
injekce   Hydromorphone hydrochloride   
injekce   Bupivacaine hydrochloride 0.5 mg/ml
25°C
30 Den
Nespecifikováno 4746
Úroveň zkoušky A
Polyoleofin Chlorid sodný 0,9% 0.03 mg/ml
injekce   Hydromorphone hydrochloride   
injekce   Bupivacaine hydrochloride 2.5 mg/ml
25°C
30 Den
Nespecifikováno 4746
Úroveň zkoušky A
Polyoleofin Chlorid sodný 0,9% 0.0015 mg/ml
injekce   Hydromorphone hydrochloride   
injekce   Bupivacaine hydrochloride 2.5 mg/ml
25°C
30 Den
Nespecifikováno 4746
Úroveň zkoušky A
Polyoleofin Chlorid sodný 0,9% 0.0015 mg/ml
injekce   Hydromorphone hydrochloride   
injekce   Bupivacaine hydrochloride 0.5 mg/ml
4°C
30 Den
Nespecifikováno 4746
Úroveň zkoušky A
Polyoleofin Chlorid sodný 0,9% 0.03 mg/ml
injekce   Hydromorphone hydrochloride   
injekce   Bupivacaine hydrochloride 0.5 mg/ml
4°C
30 Den
Nespecifikováno 4746
Úroveň zkoušky A
Polyoleofin Chlorid sodný 0,9% 0.03 mg/ml
injekce   Hydromorphone hydrochloride   
injekce   Bupivacaine hydrochloride 2.5 mg/ml
4°C
30 Den
Nespecifikováno 4746
Úroveň zkoušky A
Polyoleofin Chlorid sodný 0,9% 0.0015 mg/ml
injekce   Hydromorphone hydrochloride   
injekce   Bupivacaine hydrochloride 2.5 mg/ml
4°C
30 Den
Nespecifikováno 4746
Úroveň zkoušky A
stříkačka polypropylen Chlorid sodný 0,9% 0,02 & 0,04 mg/ml
injekce   Hydromorphone hydrochloride   
injekce   Bupivacaine hydrochloride 2,5 mg/ml
22°C
91 Den
SvÏtlo 1931
Úroveň zkoušky A
stříkačka polypropylen Chlorid sodný 0,9% 0,2 mg/ml
injekce   Hydromorphone hydrochloride   
injekce   Ketamine hydrochloride 0,2 >> 1 mg/ml
25°C
7 Den
Chráněno před světlem 2336
Úroveň zkoušky D
stříkačka polypropylen Chlorid sodný 0,9% 10 mg/ml
injekce   Hydromorphone hydrochloride   
injekce   Scopolamine hydrobromide 0,04 mg/ml
injekce   Famotidine 0,4 mg/ml
injekce   Haloperidol lactate 0,5 mg/ml
injekce   Dimenhydrinate 5 mg/ml
25°C
12 Hodina
Nespecifikováno 2166
stříkačka polypropylen Chlorid sodný 0,9% 10 mg/ml
injekce   Hydromorphone hydrochloride   
injekce   Famotidine 0,4 mg/ml
injekce   Midazolam hydrochloride 1 mg/ml
25°C
96 Hodina
Nespecifikováno 2166
stříkačka polypropylen Chlorid sodný 0,9% 10 mg/ml
injekce   Hydromorphone hydrochloride   
injekce   Haloperidol lactate 0,5 mg/ml
injekce   Metoclopramide hydrochloride 0,5 mg/ml
25°C
96 Hodina
Nespecifikováno 2166
stříkačka polypropylen Chlorid sodný 0,9% 10 mg/ml
injekce   Hydromorphone hydrochloride   
injekce   Famotidine 0,4 mg/ml
injekce   Metoclopramide hydrochloride 0,5 mg/ml
čípky   Ketoprofene   
25°C
96 Hodina
Nespecifikováno 2166
stříkačka polypropylen Chlorid sodný 0,9% 10 mg/ml
injekce   Hydromorphone hydrochloride   
injekce   Scopolamine hydrobromide 0,04 mg/ml
injekce   Famotidine 0,4 mg/ml
injekce   Haloperidol lactate 0,5 mg/ml
injekce   Dimenhydrinate 5 mg/ml
4°C
12 Hodina
Nespecifikováno 2166
stříkačka polypropylen Chlorid sodný 0,9% 10 mg/ml
injekce   Hydromorphone hydrochloride   
injekce   Famotidine 0,4 mg/ml
injekce   Midazolam hydrochloride 1 mg/ml
4°C
96 Hodina
Nespecifikováno 2166
stříkačka polypropylen Chlorid sodný 0,9% 10 mg/ml
injekce   Hydromorphone hydrochloride   
injekce   Famotidine 0,4 mg/ml
injekce   Metoclopramide hydrochloride 0,5 mg/ml
injekce   Ketorolac tromethamine 1,5 mg/ml
4°C
96 Hodina
Nespecifikováno 2166
stříkačka polypropylen Chlorid sodný 0,9% 0,02 & 0,04 mg/ml
injekce   Hydromorphone hydrochloride   
injekce   Bupivacaine hydrochloride 2,5 mg/ml
6°C
91 Den
Chráněno před světlem 1931
Úroveň zkoušky A
Polyisoprenový elastomer Chlorid sodný 0,9% 0,08 mg/ml
injekce   Hydromorphone hydrochloride   
injekce   Fentanyl citrate 16 µg/ml
injekce   Nefopam 0,8 mg/ml
injekce   Ramosetron hydrochloride 12 µg/ml
24°C
4 Den
Chráněno před světlem 4666
Úroveň zkoušky D
Polyisoprenový elastomer Chlorid sodný 0,9% 0,08 mg/ml
injekce   Hydromorphone hydrochloride   
injekce   Fentanyl citrate 16 µg/ml
injekce   Nefopam 0,8 mg/ml
injekce   Ondansetron hydrochloride 0,32 mg/ml
24°C
4 Den
Chráněno před světlem 4666
Úroveň zkoušky D
Nespecifikováno Chlorid sodný 0,9% 2 & 20 mg/ml
injekce   Hydromorphone hydrochloride   
injekce   Midazolam hydrochloride 0.1 & 0.5 mg/ml
23°C
23 Den
Chráněno před světlem 345
Úroveň zkoušky A
Nespecifikováno Chlorid sodný 0,9% 35 mg/ml
injekce   Hydromorphone hydrochloride   
injekce   Ziconotide acetate 25 µg/ml
37°C
19 Den
Chráněno před světlem 2251
Úroveň zkoušky D
Nespecifikováno Chlorid sodný 0,9% 50 mg/ml
injekce   Hydromorphone hydrochloride   
injekce   Bupivacaine hydrochloride 24 mg/ml
injekce   Clonidine hydrochloride 2 mg/ml
37°C
90 Den
Chráněno před světlem 2305
Nespecifikováno Chlorid sodný 0,9% 2 & 20 mg/ml
injekce   Hydromorphone hydrochloride   
injekce   Midazolam hydrochloride 0.1 & 0.5 mg/ml
4°C
23 Den
Chráněno před světlem 345
Úroveň zkoušky A
Nespecifikováno GlukÛza 5% 2 & 20 mg/ml
injekce   Hydromorphone hydrochloride   
injekce   Midazolam hydrochloride 0.1 & 0.5 mg/ml
23°C
23 Den
Chráněno před světlem 345
Úroveň zkoušky A
Nespecifikováno GlukÛza 5% 2 & 20 mg/ml
injekce   Hydromorphone hydrochloride   
injekce   Midazolam hydrochloride 0.1 & 0.5 mg/ml
4°C
23 Den
Chráněno před světlem 345
Úroveň zkoušky A
Nespecifikováno Žádné 15 mg/ml
injekce   Hydromorphone hydrochloride   
injekce   Bupivacaine hydrochloride 10 mg/ml
37°C
90 Den
Chráněno před světlem 4200
Úroveň zkoušky A

  Mentions Légales