Última actualización :
27/04/2026
Antálgico   Hydromorphone hydrochloride  
Inyectables
Estabilidad en solucion Estabilidad en mezcla Factores que influyen sobre la estabilidad Compatibilidades método de inyección Bibliografía pdf
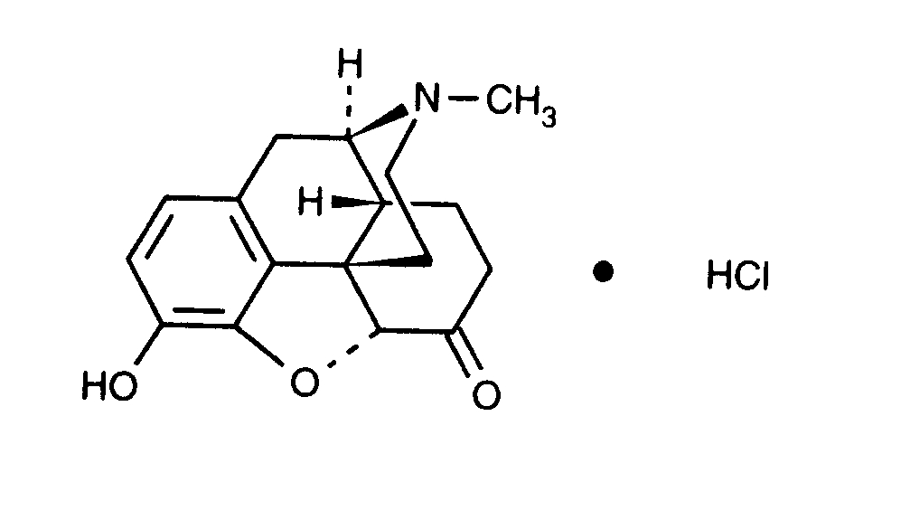
   Estructura química  

Nombre comercial   Nombre comercial     

Los nombres comerciales son orientativos y los excipientes de la formulación pueden ser distintos dependiendo del país y del laboratorio fabricante.

Dilaudid Canadá, Estados Unidos de América
Hydal Austria
Palladon Dinamarca, Suiza
Palladone Gran Bretaña
Estabilidad en mezcla   Inyectables   Estabilidad en mezcla : Hydromorphone hydrochloride     
Envase Solvente Concentración Molécula Temperatura Conservación Duración de la estabilidad Bibliografía
Vidrio Cloruro de sodio 0,9% 0,25 mg/ml
Inyectables   Hydromorphone hydrochloride   
Inyectables   Granisetron hydrochloride 0,5 mg/ml
20°C-23°C
4 Hora
A cubierto de la luz 57
Nivel de evidencia A+
Vidrio Cloruro de sodio 0,9% 0,2 mg/ml
Inyectables   Hydromorphone hydrochloride   
Inyectables   Ketamine hydrochloride 0,2 >> 1 mg/ml
25°C
7 Día
A cubierto de la luz 2336
Nivel de evidencia D
Vidrio Cloruro de sodio 0,9% 0,05 mg/ml
Inyectables   Hydromorphone hydrochloride   
Inyectables   Morphine hydrochloride 0,25 mg/ml
25°C
15 Día
No precisada 4667
Nivel de evidencia D
Vidrio Cloruro de sodio 0,9% 0,05 mg/ml
Inyectables   Hydromorphone hydrochloride   
Inyectables   Morphine hydrochloride 0,25 mg/ml
37°C
15 Día
No precisada 4667
Nivel de evidencia D
Vidrio Glucosa 5% 0,1 & 1 mg/ml
Inyectables   Hydromorphone hydrochloride   
Inyectables   Tacrolimus 5 & 20 µg/ml
23°C-25°C
4 Hora
Luz 814
Nivel de evidencia A
Vidrio Ninguno 2 & 10 & 40 mg/ml
Inyectables   Hydromorphone hydrochloride   
Inyectables   Dimenhydrinate 50 mg/ml
23°C
24 Hora
No precisada 1497
Nivel de evidencia B
Vidrio Ninguno 0,25 mg/ml
Inyectables   Hydromorphone hydrochloride   
Inyectables   Palonosetron hydrochloride 25 µg/ml
25°C
4 Hora
Luz 2196
Nivel de evidencia A+
Vidrio Ninguno 2 & 10 & 40 mg/ml
Inyectables   Hydromorphone hydrochloride   
Inyectables   Dimenhydrinate 50 mg/ml
37°C
24 Hora
No precisada 1497
Nivel de evidencia B
Vidrio Ninguno 2 & 10 & 40 mg/ml
Inyectables   Hydromorphone hydrochloride   
Inyectables   Dimenhydrinate 50 mg/ml
4°C
24 Hora
A cubierto de la luz 1497
Nivel de evidencia B
Cloruro de polivinilo Cloruro de sodio 0,9% 0,5 mg/ml
Inyectables   Hydromorphone hydrochloride   
Inyectables   Fluorouracil 1 & 16 mg/ml
-20°C
35 Día
A cubierto de la luz 513
Nivel de evidencia A+
Cloruro de polivinilo Cloruro de sodio 0,9% 20 mg/ml
Inyectables   Hydromorphone hydrochloride   
Inyectables   Esketamine 20 mg/ml
22°C
7 Día
No precisada 4664
Nivel de evidencia D
Cloruro de polivinilo Cloruro de sodio 0,9% 0,5 mg/ml
Inyectables   Hydromorphone hydrochloride   
Inyectables   Ondansetron hydrochloride 0,1 & 1 mg/ml
22°C
31 Día
No precisada 6
Nivel de evidencia A+
Cloruro de polivinilo Cloruro de sodio 0,9% 0,5 mg/ml
Inyectables   Hydromorphone hydrochloride   
Inyectables   Fluorouracil 16 mg/ml
23°C
7 Día
No precisada 513
Nivel de evidencia A+
Cloruro de polivinilo Cloruro de sodio 0,9% 0,5 mg/ml
Inyectables   Hydromorphone hydrochloride   
Inyectables   Fluorouracil 1 mg/ml
23°C
35 Día
No precisada 513
Nivel de evidencia A+
Cloruro de polivinilo Cloruro de sodio 0,9% 0,02 & 0,1 mg/ml
Inyectables   Hydromorphone hydrochloride   
Inyectables   Bupivacaine hydrochloride 0,62 & 1,2 mg/ml
23°C-25°C
72 Hora
Luz 306
Nivel de evidencia A
Cloruro de polivinilo Cloruro de sodio 0,9% 0,2 mg/ml
Inyectables   Hydromorphone hydrochloride   
Inyectables   Ketamine hydrochloride 0,2 >> 1 mg/ml
25°C
7 Día
A cubierto de la luz 2336
Nivel de evidencia D
Cloruro de polivinilo Cloruro de sodio 0,9% 0,05 mg/ml
Inyectables   Hydromorphone hydrochloride   
Inyectables   Morphine hydrochloride 0,25 mg/ml
25°C
15 Día
No precisada 4667
Nivel de evidencia D
Cloruro de polivinilo Cloruro de sodio 0,9% 0.0015 mg/ml
Inyectables   Hydromorphone hydrochloride   
Inyectables   Bupivacaine hydrochloride 0.5 mg/ml
25°C
30 Día
No precisada 4746
Nivel de evidencia A
Cloruro de polivinilo Cloruro de sodio 0,9% 0.03 mg/ml
Inyectables   Hydromorphone hydrochloride   
Inyectables   Bupivacaine hydrochloride 0.5 mg/ml
25°C
30 Día
No precisada 4746
Nivel de evidencia A
Cloruro de polivinilo Cloruro de sodio 0,9% 0.03 mg/ml
Inyectables   Hydromorphone hydrochloride   
Inyectables   Bupivacaine hydrochloride 2.5 mg/ml
25°C
30 Día
No precisada 4746
Nivel de evidencia A
Cloruro de polivinilo Cloruro de sodio 0,9% 0.0015 mg/ml
Inyectables   Hydromorphone hydrochloride   
Inyectables   Bupivacaine hydrochloride 2.5 mg/ml
25°C
30 Día
No precisada 4746
Nivel de evidencia A
Cloruro de polivinilo Cloruro de sodio 0,9% 0,5 mg/ml
Inyectables   Hydromorphone hydrochloride   
Inyectables   Fluorouracil 16 mg/ml
32°C
3 Día
No precisada 513
Nivel de evidencia A+
Cloruro de polivinilo Cloruro de sodio 0,9% 0,5 mg/ml
Inyectables   Hydromorphone hydrochloride   
Inyectables   Ondansetron hydrochloride 0,1 & 1 mg/ml
32°C
7 Día
No precisada 6
Nivel de evidencia A+
Cloruro de polivinilo Cloruro de sodio 0,9% 0,5 mg/ml
Inyectables   Hydromorphone hydrochloride   
Inyectables   Fluorouracil 1 mg/ml
32°C
7 Día
No precisada 513
Nivel de evidencia A+
Cloruro de polivinilo Cloruro de sodio 0,9% 20 mg/ml
Inyectables   Hydromorphone hydrochloride   
Inyectables   Esketamine 20 mg/ml
37°C
7 Día
No precisada 4664
Nivel de evidencia D
Cloruro de polivinilo Cloruro de sodio 0,9% 0,05 mg/ml
Inyectables   Hydromorphone hydrochloride   
Inyectables   Morphine hydrochloride 0,25 mg/ml
37°C
15 Día
No precisada 4667
Nivel de evidencia D
Cloruro de polivinilo Cloruro de sodio 0,9% 0,5 mg/ml
Inyectables   Hydromorphone hydrochloride   
Inyectables   Ondansetron hydrochloride 0,1 & 1 mg/ml
4°C
31 Día
A cubierto de la luz 6
Nivel de evidencia A+
Cloruro de polivinilo Cloruro de sodio 0,9% 0,5 mg/ml
Inyectables   Hydromorphone hydrochloride   
Inyectables   Fluorouracil 1 & 16 mg/ml
4°C
35 Día
A cubierto de la luz 513
Nivel de evidencia A+
Cloruro de polivinilo Cloruro de sodio 0,9% 0.0015 mg/ml
Inyectables   Hydromorphone hydrochloride   
Inyectables   Bupivacaine hydrochloride 0.5 mg/ml
4°C
30 Día
No precisada 4746
Nivel de evidencia A
Cloruro de polivinilo Cloruro de sodio 0,9% 0.03 mg/ml
Inyectables   Hydromorphone hydrochloride   
Inyectables   Bupivacaine hydrochloride 0.5 mg/ml
4°C
30 Día
No precisada 4746
Nivel de evidencia A
Cloruro de polivinilo Cloruro de sodio 0,9% 0.03 mg/ml
Inyectables   Hydromorphone hydrochloride   
Inyectables   Bupivacaine hydrochloride 2.5 mg/ml
4°C
30 Día
No precisada 4746
Nivel de evidencia A
Cloruro de polivinilo Cloruro de sodio 0,9% 0.0015 mg/ml
Inyectables   Hydromorphone hydrochloride   
Inyectables   Bupivacaine hydrochloride 2.5 mg/ml
4°C
30 Día
No precisada 4746
Nivel de evidencia A
Cloruro de polivinilo Cloruro de sodio 0,9% 0,5 mg/ml
Inyectables   Hydromorphone hydrochloride   
Inyectables   Ondansetron hydrochloride 0,1 & 1 mg/ml
4°C-22°C
31 Día
No precisada 6
Nivel de evidencia A+
Cloruro de polivinilo Cloruro de sodio 0,9% 0,5 mg/ml
Inyectables   Hydromorphone hydrochloride   
Inyectables   Granisetron hydrochloride 0,056 mg/ml
4°C-22°C
31 Hora
No precisada 6
Nivel de evidencia A+
Cloruro de polivinilo Cloruro de sodio 0,9% 0,5 mg/ml
Inyectables   Hydromorphone hydrochloride   
Inyectables   Granisetron hydrochloride 0,056 mg/ml
4°C-22°C
31 Hora
No precisada 6
Nivel de evidencia A+
Cloruro de polivinilo Glucosa 5% 0,5 mg/ml
Inyectables   Hydromorphone hydrochloride   
Inyectables   Fluorouracil 1 & 16 mg/ml
-20°C
35 Día
A cubierto de la luz 513
Nivel de evidencia A+
Cloruro de polivinilo Glucosa 5% 0,5 mg/ml
Inyectables   Hydromorphone hydrochloride   
Inyectables   Fluorouracil 16 mg/ml
23°C
7 Día
No precisada 513
Nivel de evidencia A+
Cloruro de polivinilo Glucosa 5% 0,5 mg/ml
Inyectables   Hydromorphone hydrochloride   
Inyectables   Fluorouracil 1 mg/ml
23°C
35 Día
No precisada 513
Nivel de evidencia A+
Cloruro de polivinilo Glucosa 5% 0,5 mg/ml
Inyectables   Hydromorphone hydrochloride   
Inyectables   Fluorouracil 16 mg/ml
32°C
3 Día
No precisada 513
Nivel de evidencia A+
Cloruro de polivinilo Glucosa 5% 0,5 mg/ml
Inyectables   Hydromorphone hydrochloride   
Inyectables   Fluorouracil 1 mg/ml
32°C
7 Día
No precisada 513
Nivel de evidencia A+
Cloruro de polivinilo Glucosa 5% 0,5 mg/ml
Inyectables   Hydromorphone hydrochloride   
Inyectables   Fluorouracil 1 & 16 mg/ml
4°C
35 Día
A cubierto de la luz 513
Nivel de evidencia A+
Polietileno Cloruro de sodio 0,9% 0,05 mg/ml
Inyectables   Hydromorphone hydrochloride   
Inyectables   Morphine hydrochloride 0,25 mg/ml
25°C
15 Día
No precisada 4667
Nivel de evidencia D
Polietileno Cloruro de sodio 0,9% 0,05 mg/ml
Inyectables   Hydromorphone hydrochloride   
Inyectables   Morphine hydrochloride 0,25 mg/ml
37°C
15 Día
No precisada 4667
Nivel de evidencia D
Poliolefina Cloruro de sodio 0,9% 0.0015 mg/ml
Inyectables   Hydromorphone hydrochloride   
Inyectables   Bupivacaine hydrochloride 0.5 mg/ml
25°C
30 Día
No precisada 4746
Nivel de evidencia A
Poliolefina Cloruro de sodio 0,9% 0.03 mg/ml
Inyectables   Hydromorphone hydrochloride   
Inyectables   Bupivacaine hydrochloride 0.5 mg/ml
25°C
30 Día
No precisada 4746
Nivel de evidencia A
Poliolefina Cloruro de sodio 0,9% 0.03 mg/ml
Inyectables   Hydromorphone hydrochloride   
Inyectables   Bupivacaine hydrochloride 2.5 mg/ml
25°C
30 Día
No precisada 4746
Nivel de evidencia A
Poliolefina Cloruro de sodio 0,9% 0.0015 mg/ml
Inyectables   Hydromorphone hydrochloride   
Inyectables   Bupivacaine hydrochloride 2.5 mg/ml
25°C
30 Día
No precisada 4746
Nivel de evidencia A
Poliolefina Cloruro de sodio 0,9% 0.0015 mg/ml
Inyectables   Hydromorphone hydrochloride   
Inyectables   Bupivacaine hydrochloride 0.5 mg/ml
4°C
30 Día
No precisada 4746
Nivel de evidencia A
Poliolefina Cloruro de sodio 0,9% 0.03 mg/ml
Inyectables   Hydromorphone hydrochloride   
Inyectables   Bupivacaine hydrochloride 0.5 mg/ml
4°C
30 Día
No precisada 4746
Nivel de evidencia A
Poliolefina Cloruro de sodio 0,9% 0.03 mg/ml
Inyectables   Hydromorphone hydrochloride   
Inyectables   Bupivacaine hydrochloride 2.5 mg/ml
4°C
30 Día
No precisada 4746
Nivel de evidencia A
Poliolefina Cloruro de sodio 0,9% 0.0015 mg/ml
Inyectables   Hydromorphone hydrochloride   
Inyectables   Bupivacaine hydrochloride 2.5 mg/ml
4°C
30 Día
No precisada 4746
Nivel de evidencia A
jeringa polipropileno Cloruro de sodio 0,9% 0,02 & 0,04 mg/ml
Inyectables   Hydromorphone hydrochloride   
Inyectables   Bupivacaine hydrochloride 2,5 mg/ml
22°C
91 Día
Luz 1931
Nivel de evidencia A
jeringa polipropileno Cloruro de sodio 0,9% 0,2 mg/ml
Inyectables   Hydromorphone hydrochloride   
Inyectables   Ketamine hydrochloride 0,2 >> 1 mg/ml
25°C
7 Día
A cubierto de la luz 2336
Nivel de evidencia D
jeringa polipropileno Cloruro de sodio 0,9% 10 mg/ml
Inyectables   Hydromorphone hydrochloride   
Inyectables   Scopolamine hydrobromide 0,04 mg/ml
Inyectables   Famotidine 0,4 mg/ml
Inyectables   Haloperidol lactate 0,5 mg/ml
Inyectables   Dimenhydrinate 5 mg/ml
25°C
12 Hora
No precisada 2166
jeringa polipropileno Cloruro de sodio 0,9% 10 mg/ml
Inyectables   Hydromorphone hydrochloride   
Inyectables   Famotidine 0,4 mg/ml
Inyectables   Midazolam hydrochloride 1 mg/ml
25°C
96 Hora
No precisada 2166
jeringa polipropileno Cloruro de sodio 0,9% 10 mg/ml
Inyectables   Hydromorphone hydrochloride   
Inyectables   Haloperidol lactate 0,5 mg/ml
Inyectables   Metoclopramide hydrochloride 0,5 mg/ml
25°C
96 Hora
No precisada 2166
jeringa polipropileno Cloruro de sodio 0,9% 10 mg/ml
Inyectables   Hydromorphone hydrochloride   
Inyectables   Famotidine 0,4 mg/ml
Inyectables   Metoclopramide hydrochloride 0,5 mg/ml
Supositorio   Ketoprofene   
25°C
96 Hora
No precisada 2166
jeringa polipropileno Cloruro de sodio 0,9% 10 mg/ml
Inyectables   Hydromorphone hydrochloride   
Inyectables   Scopolamine hydrobromide 0,04 mg/ml
Inyectables   Famotidine 0,4 mg/ml
Inyectables   Haloperidol lactate 0,5 mg/ml
Inyectables   Dimenhydrinate 5 mg/ml
4°C
12 Hora
No precisada 2166
jeringa polipropileno Cloruro de sodio 0,9% 10 mg/ml
Inyectables   Hydromorphone hydrochloride   
Inyectables   Famotidine 0,4 mg/ml
Inyectables   Midazolam hydrochloride 1 mg/ml
4°C
96 Hora
No precisada 2166
jeringa polipropileno Cloruro de sodio 0,9% 10 mg/ml
Inyectables   Hydromorphone hydrochloride   
Inyectables   Famotidine 0,4 mg/ml
Inyectables   Metoclopramide hydrochloride 0,5 mg/ml
Inyectables   Ketorolac tromethamine 1,5 mg/ml
4°C
96 Hora
No precisada 2166
jeringa polipropileno Cloruro de sodio 0,9% 0,02 & 0,04 mg/ml
Inyectables   Hydromorphone hydrochloride   
Inyectables   Bupivacaine hydrochloride 2,5 mg/ml
6°C
91 Día
A cubierto de la luz 1931
Nivel de evidencia A
Elastómero de poliisopreno Cloruro de sodio 0,9% 0,08 mg/ml
Inyectables   Hydromorphone hydrochloride   
Inyectables   Fentanyl citrate 16 µg/ml
Inyectables   Nefopam 0,8 mg/ml
Inyectables   Ramosetron hydrochloride 12 µg/ml
24°C
4 Día
A cubierto de la luz 4666
Nivel de evidencia D
Elastómero de poliisopreno Cloruro de sodio 0,9% 0,08 mg/ml
Inyectables   Hydromorphone hydrochloride   
Inyectables   Fentanyl citrate 16 µg/ml
Inyectables   Nefopam 0,8 mg/ml
Inyectables   Ondansetron hydrochloride 0,32 mg/ml
24°C
4 Día
A cubierto de la luz 4666
Nivel de evidencia D
No precisado Cloruro de sodio 0,9% 2 & 20 mg/ml
Inyectables   Hydromorphone hydrochloride   
Inyectables   Midazolam hydrochloride 0.1 & 0.5 mg/ml
23°C
23 Día
A cubierto de la luz 345
Nivel de evidencia A
No precisado Cloruro de sodio 0,9% 35 mg/ml
Inyectables   Hydromorphone hydrochloride   
Inyectables   Ziconotide acetate 25 µg/ml
37°C
19 Día
A cubierto de la luz 2251
Nivel de evidencia D
No precisado Cloruro de sodio 0,9% 50 mg/ml
Inyectables   Hydromorphone hydrochloride   
Inyectables   Bupivacaine hydrochloride 24 mg/ml
Inyectables   Clonidine hydrochloride 2 mg/ml
37°C
90 Día
A cubierto de la luz 2305
No precisado Cloruro de sodio 0,9% 2 & 20 mg/ml
Inyectables   Hydromorphone hydrochloride   
Inyectables   Midazolam hydrochloride 0.1 & 0.5 mg/ml
4°C
23 Día
A cubierto de la luz 345
Nivel de evidencia A
No precisado Glucosa 5% 2 & 20 mg/ml
Inyectables   Hydromorphone hydrochloride   
Inyectables   Midazolam hydrochloride 0.1 & 0.5 mg/ml
23°C
23 Día
A cubierto de la luz 345
Nivel de evidencia A
No precisado Glucosa 5% 2 & 20 mg/ml
Inyectables   Hydromorphone hydrochloride   
Inyectables   Midazolam hydrochloride 0.1 & 0.5 mg/ml
4°C
23 Día
A cubierto de la luz 345
Nivel de evidencia A
No precisado Ninguno 15 mg/ml
Inyectables   Hydromorphone hydrochloride   
Inyectables   Bupivacaine hydrochloride 10 mg/ml
37°C
90 Día
A cubierto de la luz 4200
Nivel de evidencia A

  Mentions Légales