Viimeisin päivitys :
27/04/2026
Analgeetit   Hydromorphone hydrochloride  
Injektioneste
Stabilius liuoksessa Stabilius seoksissa Tekijät, jotka vaikuttavat stabiliuteen Yhteensopivuus Antotapa Viitteet pdf
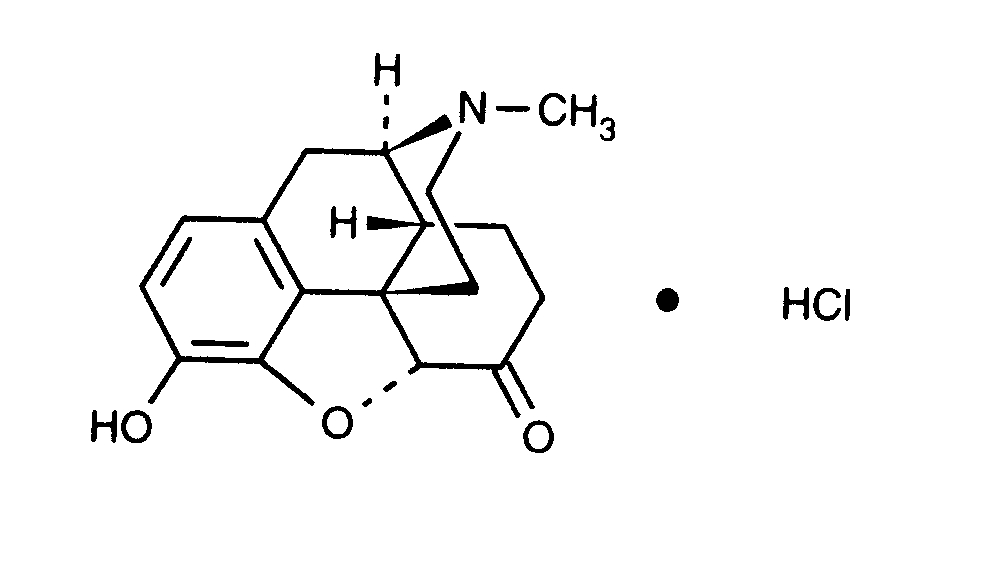
   Kemiallinen rakenne  

Kauppanimi   Kauppanimi     

Trade names are indicative and excipients composition can be different depending on the country and manufacturers

Dilaudid Kanada, Yhdysvallat
Hydal Itävalta
Palladon Sveitsi, Tanska
Palladone Iso-Britannia
Stabilius seoksissa   Injektioneste   Stabilius seoksissa : Hydromorphone hydrochloride     
Astia Liuotin Konsentraatio Yhdiste Lämpötila Säilytys Vakauden kesto Viitteet
Lasi Natriumkloridi 0,9% 0,25 mg/ml
Injektioneste   Hydromorphone hydrochloride   
Injektioneste   Granisetron hydrochloride 0,5 mg/ml
20°C-23°C
4 tunti
Suojattava valolta 57
Näytön laajuus A+
Lasi Natriumkloridi 0,9% 0,2 mg/ml
Injektioneste   Hydromorphone hydrochloride   
Injektioneste   Ketamine hydrochloride 0,2 >> 1 mg/ml
25°C
7 Päivä
Suojattava valolta 2336
Näytön laajuus D
Lasi Natriumkloridi 0,9% 0,05 mg/ml
Injektioneste   Hydromorphone hydrochloride   
Injektioneste   Morphine hydrochloride 0,25 mg/ml
25°C
15 Päivä
Ei määritetty 4667
Näytön laajuus D
Lasi Natriumkloridi 0,9% 0,05 mg/ml
Injektioneste   Hydromorphone hydrochloride   
Injektioneste   Morphine hydrochloride 0,25 mg/ml
37°C
15 Päivä
Ei määritetty 4667
Näytön laajuus D
Lasi Glukoosi 5% 0,1 & 1 mg/ml
Injektioneste   Hydromorphone hydrochloride   
Injektioneste   Tacrolimus 5 & 20 µg/ml
23°C-25°C
4 tunti
Valo 814
Näytön laajuus A
Lasi Ei mikään 2 & 10 & 40 mg/ml
Injektioneste   Hydromorphone hydrochloride   
Injektioneste   Dimenhydrinate 50 mg/ml
23°C
24 tunti
Ei määritetty 1497
Näytön laajuus B
Lasi Ei mikään 0,25 mg/ml
Injektioneste   Hydromorphone hydrochloride   
Injektioneste   Palonosetron hydrochloride 25 µg/ml
25°C
4 tunti
Valo 2196
Näytön laajuus A+
Lasi Ei mikään 2 & 10 & 40 mg/ml
Injektioneste   Hydromorphone hydrochloride   
Injektioneste   Dimenhydrinate 50 mg/ml
37°C
24 tunti
Ei määritetty 1497
Näytön laajuus B
Lasi Ei mikään 2 & 10 & 40 mg/ml
Injektioneste   Hydromorphone hydrochloride   
Injektioneste   Dimenhydrinate 50 mg/ml
4°C
24 tunti
Suojattava valolta 1497
Näytön laajuus B
Polyvinyylikloridi Natriumkloridi 0,9% 0,5 mg/ml
Injektioneste   Hydromorphone hydrochloride   
Injektioneste   Fluorouracil 1 & 16 mg/ml
-20°C
35 Päivä
Suojattava valolta 513
Näytön laajuus A+
Polyvinyylikloridi Natriumkloridi 0,9% 20 mg/ml
Injektioneste   Hydromorphone hydrochloride   
Injektioneste   Esketamine 20 mg/ml
22°C
7 Päivä
Ei määritetty 4664
Näytön laajuus D
Polyvinyylikloridi Natriumkloridi 0,9% 0,5 mg/ml
Injektioneste   Hydromorphone hydrochloride   
Injektioneste   Ondansetron hydrochloride 0,1 & 1 mg/ml
22°C
31 Päivä
Ei määritetty 6
Näytön laajuus A+
Polyvinyylikloridi Natriumkloridi 0,9% 0,5 mg/ml
Injektioneste   Hydromorphone hydrochloride   
Injektioneste   Fluorouracil 16 mg/ml
23°C
7 Päivä
Ei määritetty 513
Näytön laajuus A+
Polyvinyylikloridi Natriumkloridi 0,9% 0,5 mg/ml
Injektioneste   Hydromorphone hydrochloride   
Injektioneste   Fluorouracil 1 mg/ml
23°C
35 Päivä
Ei määritetty 513
Näytön laajuus A+
Polyvinyylikloridi Natriumkloridi 0,9% 0,02 & 0,1 mg/ml
Injektioneste   Hydromorphone hydrochloride   
Injektioneste   Bupivacaine hydrochloride 0,62 & 1,2 mg/ml
23°C-25°C
72 tunti
Valo 306
Näytön laajuus A
Polyvinyylikloridi Natriumkloridi 0,9% 0,2 mg/ml
Injektioneste   Hydromorphone hydrochloride   
Injektioneste   Ketamine hydrochloride 0,2 >> 1 mg/ml
25°C
7 Päivä
Suojattava valolta 2336
Näytön laajuus D
Polyvinyylikloridi Natriumkloridi 0,9% 0,05 mg/ml
Injektioneste   Hydromorphone hydrochloride   
Injektioneste   Morphine hydrochloride 0,25 mg/ml
25°C
15 Päivä
Ei määritetty 4667
Näytön laajuus D
Polyvinyylikloridi Natriumkloridi 0,9% 0.0015 mg/ml
Injektioneste   Hydromorphone hydrochloride   
Injektioneste   Bupivacaine hydrochloride 0.5 mg/ml
25°C
30 Päivä
Ei määritetty 4746
Näytön laajuus A
Polyvinyylikloridi Natriumkloridi 0,9% 0.03 mg/ml
Injektioneste   Hydromorphone hydrochloride   
Injektioneste   Bupivacaine hydrochloride 0.5 mg/ml
25°C
30 Päivä
Ei määritetty 4746
Näytön laajuus A
Polyvinyylikloridi Natriumkloridi 0,9% 0.03 mg/ml
Injektioneste   Hydromorphone hydrochloride   
Injektioneste   Bupivacaine hydrochloride 2.5 mg/ml
25°C
30 Päivä
Ei määritetty 4746
Näytön laajuus A
Polyvinyylikloridi Natriumkloridi 0,9% 0.0015 mg/ml
Injektioneste   Hydromorphone hydrochloride   
Injektioneste   Bupivacaine hydrochloride 2.5 mg/ml
25°C
30 Päivä
Ei määritetty 4746
Näytön laajuus A
Polyvinyylikloridi Natriumkloridi 0,9% 0,5 mg/ml
Injektioneste   Hydromorphone hydrochloride   
Injektioneste   Fluorouracil 16 mg/ml
32°C
3 Päivä
Ei määritetty 513
Näytön laajuus A+
Polyvinyylikloridi Natriumkloridi 0,9% 0,5 mg/ml
Injektioneste   Hydromorphone hydrochloride   
Injektioneste   Ondansetron hydrochloride 0,1 & 1 mg/ml
32°C
7 Päivä
Ei määritetty 6
Näytön laajuus A+
Polyvinyylikloridi Natriumkloridi 0,9% 0,5 mg/ml
Injektioneste   Hydromorphone hydrochloride   
Injektioneste   Fluorouracil 1 mg/ml
32°C
7 Päivä
Ei määritetty 513
Näytön laajuus A+
Polyvinyylikloridi Natriumkloridi 0,9% 20 mg/ml
Injektioneste   Hydromorphone hydrochloride   
Injektioneste   Esketamine 20 mg/ml
37°C
7 Päivä
Ei määritetty 4664
Näytön laajuus D
Polyvinyylikloridi Natriumkloridi 0,9% 0,05 mg/ml
Injektioneste   Hydromorphone hydrochloride   
Injektioneste   Morphine hydrochloride 0,25 mg/ml
37°C
15 Päivä
Ei määritetty 4667
Näytön laajuus D
Polyvinyylikloridi Natriumkloridi 0,9% 0,5 mg/ml
Injektioneste   Hydromorphone hydrochloride   
Injektioneste   Ondansetron hydrochloride 0,1 & 1 mg/ml
4°C
31 Päivä
Suojattava valolta 6
Näytön laajuus A+
Polyvinyylikloridi Natriumkloridi 0,9% 0,5 mg/ml
Injektioneste   Hydromorphone hydrochloride   
Injektioneste   Fluorouracil 1 & 16 mg/ml
4°C
35 Päivä
Suojattava valolta 513
Näytön laajuus A+
Polyvinyylikloridi Natriumkloridi 0,9% 0.0015 mg/ml
Injektioneste   Hydromorphone hydrochloride   
Injektioneste   Bupivacaine hydrochloride 0.5 mg/ml
4°C
30 Päivä
Ei määritetty 4746
Näytön laajuus A
Polyvinyylikloridi Natriumkloridi 0,9% 0.03 mg/ml
Injektioneste   Hydromorphone hydrochloride   
Injektioneste   Bupivacaine hydrochloride 0.5 mg/ml
4°C
30 Päivä
Ei määritetty 4746
Näytön laajuus A
Polyvinyylikloridi Natriumkloridi 0,9% 0.03 mg/ml
Injektioneste   Hydromorphone hydrochloride   
Injektioneste   Bupivacaine hydrochloride 2.5 mg/ml
4°C
30 Päivä
Ei määritetty 4746
Näytön laajuus A
Polyvinyylikloridi Natriumkloridi 0,9% 0.0015 mg/ml
Injektioneste   Hydromorphone hydrochloride   
Injektioneste   Bupivacaine hydrochloride 2.5 mg/ml
4°C
30 Päivä
Ei määritetty 4746
Näytön laajuus A
Polyvinyylikloridi Natriumkloridi 0,9% 0,5 mg/ml
Injektioneste   Hydromorphone hydrochloride   
Injektioneste   Ondansetron hydrochloride 0,1 & 1 mg/ml
4°C-22°C
31 Päivä
Ei määritetty 6
Näytön laajuus A+
Polyvinyylikloridi Natriumkloridi 0,9% 0,5 mg/ml
Injektioneste   Hydromorphone hydrochloride   
Injektioneste   Granisetron hydrochloride 0,056 mg/ml
4°C-22°C
31 tunti
Ei määritetty 6
Näytön laajuus A+
Polyvinyylikloridi Natriumkloridi 0,9% 0,5 mg/ml
Injektioneste   Hydromorphone hydrochloride   
Injektioneste   Granisetron hydrochloride 0,056 mg/ml
4°C-22°C
31 tunti
Ei määritetty 6
Näytön laajuus A+
Polyvinyylikloridi Glukoosi 5% 0,5 mg/ml
Injektioneste   Hydromorphone hydrochloride   
Injektioneste   Fluorouracil 1 & 16 mg/ml
-20°C
35 Päivä
Suojattava valolta 513
Näytön laajuus A+
Polyvinyylikloridi Glukoosi 5% 0,5 mg/ml
Injektioneste   Hydromorphone hydrochloride   
Injektioneste   Fluorouracil 16 mg/ml
23°C
7 Päivä
Ei määritetty 513
Näytön laajuus A+
Polyvinyylikloridi Glukoosi 5% 0,5 mg/ml
Injektioneste   Hydromorphone hydrochloride   
Injektioneste   Fluorouracil 1 mg/ml
23°C
35 Päivä
Ei määritetty 513
Näytön laajuus A+
Polyvinyylikloridi Glukoosi 5% 0,5 mg/ml
Injektioneste   Hydromorphone hydrochloride   
Injektioneste   Fluorouracil 16 mg/ml
32°C
3 Päivä
Ei määritetty 513
Näytön laajuus A+
Polyvinyylikloridi Glukoosi 5% 0,5 mg/ml
Injektioneste   Hydromorphone hydrochloride   
Injektioneste   Fluorouracil 1 mg/ml
32°C
7 Päivä
Ei määritetty 513
Näytön laajuus A+
Polyvinyylikloridi Glukoosi 5% 0,5 mg/ml
Injektioneste   Hydromorphone hydrochloride   
Injektioneste   Fluorouracil 1 & 16 mg/ml
4°C
35 Päivä
Suojattava valolta 513
Näytön laajuus A+
Polyetyleeni Natriumkloridi 0,9% 0,05 mg/ml
Injektioneste   Hydromorphone hydrochloride   
Injektioneste   Morphine hydrochloride 0,25 mg/ml
25°C
15 Päivä
Ei määritetty 4667
Näytön laajuus D
Polyetyleeni Natriumkloridi 0,9% 0,05 mg/ml
Injektioneste   Hydromorphone hydrochloride   
Injektioneste   Morphine hydrochloride 0,25 mg/ml
37°C
15 Päivä
Ei määritetty 4667
Näytön laajuus D
Polyolefiini Natriumkloridi 0,9% 0.0015 mg/ml
Injektioneste   Hydromorphone hydrochloride   
Injektioneste   Bupivacaine hydrochloride 0.5 mg/ml
25°C
30 Päivä
Ei määritetty 4746
Näytön laajuus A
Polyolefiini Natriumkloridi 0,9% 0.03 mg/ml
Injektioneste   Hydromorphone hydrochloride   
Injektioneste   Bupivacaine hydrochloride 0.5 mg/ml
25°C
30 Päivä
Ei määritetty 4746
Näytön laajuus A
Polyolefiini Natriumkloridi 0,9% 0.03 mg/ml
Injektioneste   Hydromorphone hydrochloride   
Injektioneste   Bupivacaine hydrochloride 2.5 mg/ml
25°C
30 Päivä
Ei määritetty 4746
Näytön laajuus A
Polyolefiini Natriumkloridi 0,9% 0.0015 mg/ml
Injektioneste   Hydromorphone hydrochloride   
Injektioneste   Bupivacaine hydrochloride 2.5 mg/ml
25°C
30 Päivä
Ei määritetty 4746
Näytön laajuus A
Polyolefiini Natriumkloridi 0,9% 0.0015 mg/ml
Injektioneste   Hydromorphone hydrochloride   
Injektioneste   Bupivacaine hydrochloride 0.5 mg/ml
4°C
30 Päivä
Ei määritetty 4746
Näytön laajuus A
Polyolefiini Natriumkloridi 0,9% 0.03 mg/ml
Injektioneste   Hydromorphone hydrochloride   
Injektioneste   Bupivacaine hydrochloride 0.5 mg/ml
4°C
30 Päivä
Ei määritetty 4746
Näytön laajuus A
Polyolefiini Natriumkloridi 0,9% 0.03 mg/ml
Injektioneste   Hydromorphone hydrochloride   
Injektioneste   Bupivacaine hydrochloride 2.5 mg/ml
4°C
30 Päivä
Ei määritetty 4746
Näytön laajuus A
Polyolefiini Natriumkloridi 0,9% 0.0015 mg/ml
Injektioneste   Hydromorphone hydrochloride   
Injektioneste   Bupivacaine hydrochloride 2.5 mg/ml
4°C
30 Päivä
Ei määritetty 4746
Näytön laajuus A
Ruisku  polypropeeni Natriumkloridi 0,9% 0,02 & 0,04 mg/ml
Injektioneste   Hydromorphone hydrochloride   
Injektioneste   Bupivacaine hydrochloride 2,5 mg/ml
22°C
91 Päivä
Valo 1931
Näytön laajuus A
Ruisku  polypropeeni Natriumkloridi 0,9% 0,2 mg/ml
Injektioneste   Hydromorphone hydrochloride   
Injektioneste   Ketamine hydrochloride 0,2 >> 1 mg/ml
25°C
7 Päivä
Suojattava valolta 2336
Näytön laajuus D
Ruisku  polypropeeni Natriumkloridi 0,9% 10 mg/ml
Injektioneste   Hydromorphone hydrochloride   
Injektioneste   Scopolamine hydrobromide 0,04 mg/ml
Injektioneste   Famotidine 0,4 mg/ml
Injektioneste   Haloperidol lactate 0,5 mg/ml
Injektioneste   Dimenhydrinate 5 mg/ml
25°C
12 tunti
Ei määritetty 2166
Ruisku  polypropeeni Natriumkloridi 0,9% 10 mg/ml
Injektioneste   Hydromorphone hydrochloride   
Injektioneste   Famotidine 0,4 mg/ml
Injektioneste   Midazolam hydrochloride 1 mg/ml
25°C
96 tunti
Ei määritetty 2166
Ruisku  polypropeeni Natriumkloridi 0,9% 10 mg/ml
Injektioneste   Hydromorphone hydrochloride   
Injektioneste   Haloperidol lactate 0,5 mg/ml
Injektioneste   Metoclopramide hydrochloride 0,5 mg/ml
25°C
96 tunti
Ei määritetty 2166
Ruisku  polypropeeni Natriumkloridi 0,9% 10 mg/ml
Injektioneste   Hydromorphone hydrochloride   
Injektioneste   Famotidine 0,4 mg/ml
Injektioneste   Metoclopramide hydrochloride 0,5 mg/ml
Peräpuikko   Ketoprofene   
25°C
96 tunti
Ei määritetty 2166
Ruisku  polypropeeni Natriumkloridi 0,9% 10 mg/ml
Injektioneste   Hydromorphone hydrochloride   
Injektioneste   Scopolamine hydrobromide 0,04 mg/ml
Injektioneste   Famotidine 0,4 mg/ml
Injektioneste   Haloperidol lactate 0,5 mg/ml
Injektioneste   Dimenhydrinate 5 mg/ml
4°C
12 tunti
Ei määritetty 2166
Ruisku  polypropeeni Natriumkloridi 0,9% 10 mg/ml
Injektioneste   Hydromorphone hydrochloride   
Injektioneste   Famotidine 0,4 mg/ml
Injektioneste   Midazolam hydrochloride 1 mg/ml
4°C
96 tunti
Ei määritetty 2166
Ruisku  polypropeeni Natriumkloridi 0,9% 10 mg/ml
Injektioneste   Hydromorphone hydrochloride   
Injektioneste   Famotidine 0,4 mg/ml
Injektioneste   Metoclopramide hydrochloride 0,5 mg/ml
Injektioneste   Ketorolac tromethamine 1,5 mg/ml
4°C
96 tunti
Ei määritetty 2166
Ruisku  polypropeeni Natriumkloridi 0,9% 0,02 & 0,04 mg/ml
Injektioneste   Hydromorphone hydrochloride   
Injektioneste   Bupivacaine hydrochloride 2,5 mg/ml
6°C
91 Päivä
Suojattava valolta 1931
Näytön laajuus A
Polyisopreeni elastomeeri Natriumkloridi 0,9% 0,08 mg/ml
Injektioneste   Hydromorphone hydrochloride   
Injektioneste   Fentanyl citrate 16 µg/ml
Injektioneste   Nefopam 0,8 mg/ml
Injektioneste   Ramosetron hydrochloride 12 µg/ml
24°C
4 Päivä
Suojattava valolta 4666
Näytön laajuus D
Polyisopreeni elastomeeri Natriumkloridi 0,9% 0,08 mg/ml
Injektioneste   Hydromorphone hydrochloride   
Injektioneste   Fentanyl citrate 16 µg/ml
Injektioneste   Nefopam 0,8 mg/ml
Injektioneste   Ondansetron hydrochloride 0,32 mg/ml
24°C
4 Päivä
Suojattava valolta 4666
Näytön laajuus D
Ei määritetty Natriumkloridi 0,9% 2 & 20 mg/ml
Injektioneste   Hydromorphone hydrochloride   
Injektioneste   Midazolam hydrochloride 0.1 & 0.5 mg/ml
23°C
23 Päivä
Suojattava valolta 345
Näytön laajuus A
Ei määritetty Natriumkloridi 0,9% 35 mg/ml
Injektioneste   Hydromorphone hydrochloride   
Injektioneste   Ziconotide acetate 25 µg/ml
37°C
19 Päivä
Suojattava valolta 2251
Näytön laajuus D
Ei määritetty Natriumkloridi 0,9% 50 mg/ml
Injektioneste   Hydromorphone hydrochloride   
Injektioneste   Bupivacaine hydrochloride 24 mg/ml
Injektioneste   Clonidine hydrochloride 2 mg/ml
37°C
90 Päivä
Suojattava valolta 2305
Ei määritetty Natriumkloridi 0,9% 2 & 20 mg/ml
Injektioneste   Hydromorphone hydrochloride   
Injektioneste   Midazolam hydrochloride 0.1 & 0.5 mg/ml
4°C
23 Päivä
Suojattava valolta 345
Näytön laajuus A
Ei määritetty Glukoosi 5% 2 & 20 mg/ml
Injektioneste   Hydromorphone hydrochloride   
Injektioneste   Midazolam hydrochloride 0.1 & 0.5 mg/ml
23°C
23 Päivä
Suojattava valolta 345
Näytön laajuus A
Ei määritetty Glukoosi 5% 2 & 20 mg/ml
Injektioneste   Hydromorphone hydrochloride   
Injektioneste   Midazolam hydrochloride 0.1 & 0.5 mg/ml
4°C
23 Päivä
Suojattava valolta 345
Näytön laajuus A
Ei määritetty Ei mikään 15 mg/ml
Injektioneste   Hydromorphone hydrochloride   
Injektioneste   Bupivacaine hydrochloride 10 mg/ml
37°C
90 Päivä
Suojattava valolta 4200
Näytön laajuus A

  Mentions Légales