Последнее обновление :
27/04/2026
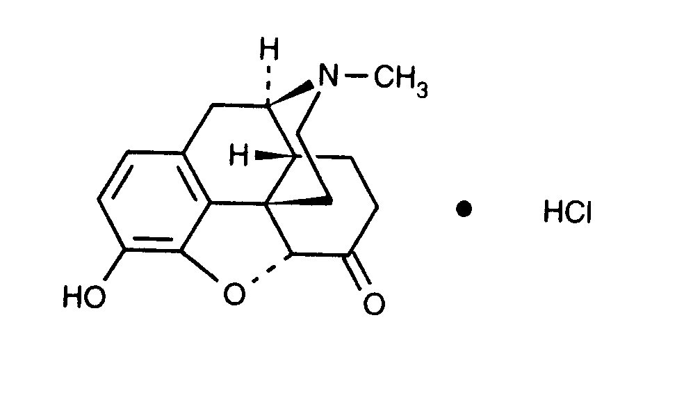
Анальгетик   Hydromorphone hydrochloride  
Инъекция
Стабильность растворов Стабильность смесей Факторы, которые влияют на стабильность Совместимость Способы введения Библиография pdf
   Химическая структура  

Товарное название   Товарное название     

Trade names are indicative and excipients composition can be different depending on the country and manufacturers

Dilaudid Канада, Соединённые Штаты Америки
Hydal Австрия
Palladon Дания, Швейцария
Palladone Великобритания
Стабильность смесей   Инъекция   Стабильность смесей : Hydromorphone hydrochloride     
Упаковка Растворитель Концентрация Молекула Температура Хранение Продолжительность стабильности Ссылки
Стекло Натрия хлорид 0,9% 0,25 mg/ml
Инъекция   Hydromorphone hydrochloride   
Инъекция   Granisetron hydrochloride 0,5 mg/ml
20°C-23°C
4 Час
Защищён от света 57
Уровень доказательности A +
Стекло Натрия хлорид 0,9% 0,2 mg/ml
Инъекция   Hydromorphone hydrochloride   
Инъекция   Ketamine hydrochloride 0,2 >> 1 mg/ml
25°C
7 День
Защищён от света 2336
Уровень доказательности D
Стекло Натрия хлорид 0,9% 0,05 mg/ml
Инъекция   Hydromorphone hydrochloride   
Инъекция   Morphine hydrochloride 0,25 mg/ml
25°C
15 День
Не указано 4667
Уровень доказательности D
Стекло Натрия хлорид 0,9% 0,05 mg/ml
Инъекция   Hydromorphone hydrochloride   
Инъекция   Morphine hydrochloride 0,25 mg/ml
37°C
15 День
Не указано 4667
Уровень доказательности D
Стекло Глюкоза 5% 0,1 & 1 mg/ml
Инъекция   Hydromorphone hydrochloride   
Инъекция   Tacrolimus 5 & 20 µg/ml
23°C-25°C
4 Час
Свет 814
Уровень доказательности A
Стекло Нет 2 & 10 & 40 mg/ml
Инъекция   Hydromorphone hydrochloride   
Инъекция   Dimenhydrinate 50 mg/ml
23°C
24 Час
Не указано 1497
Уровень доказательности B
Стекло Нет 0,25 mg/ml
Инъекция   Hydromorphone hydrochloride   
Инъекция   Palonosetron hydrochloride 25 µg/ml
25°C
4 Час
Свет 2196
Уровень доказательности A +
Стекло Нет 2 & 10 & 40 mg/ml
Инъекция   Hydromorphone hydrochloride   
Инъекция   Dimenhydrinate 50 mg/ml
37°C
24 Час
Не указано 1497
Уровень доказательности B
Стекло Нет 2 & 10 & 40 mg/ml
Инъекция   Hydromorphone hydrochloride   
Инъекция   Dimenhydrinate 50 mg/ml
4°C
24 Час
Защищён от света 1497
Уровень доказательности B
Поливинилхлорид Натрия хлорид 0,9% 0,5 mg/ml
Инъекция   Hydromorphone hydrochloride   
Инъекция   Fluorouracil 1 & 16 mg/ml
-20°C
35 День
Защищён от света 513
Уровень доказательности A +
Поливинилхлорид Натрия хлорид 0,9% 20 mg/ml
Инъекция   Hydromorphone hydrochloride   
Инъекция   Esketamine 20 mg/ml
22°C
7 День
Не указано 4664
Уровень доказательности D
Поливинилхлорид Натрия хлорид 0,9% 0,5 mg/ml
Инъекция   Hydromorphone hydrochloride   
Инъекция   Ondansetron hydrochloride 0,1 & 1 mg/ml
22°C
31 День
Не указано 6
Уровень доказательности A +
Поливинилхлорид Натрия хлорид 0,9% 0,5 mg/ml
Инъекция   Hydromorphone hydrochloride   
Инъекция   Fluorouracil 16 mg/ml
23°C
7 День
Не указано 513
Уровень доказательности A +
Поливинилхлорид Натрия хлорид 0,9% 0,5 mg/ml
Инъекция   Hydromorphone hydrochloride   
Инъекция   Fluorouracil 1 mg/ml
23°C
35 День
Не указано 513
Уровень доказательности A +
Поливинилхлорид Натрия хлорид 0,9% 0,02 & 0,1 mg/ml
Инъекция   Hydromorphone hydrochloride   
Инъекция   Bupivacaine hydrochloride 0,62 & 1,2 mg/ml
23°C-25°C
72 Час
Свет 306
Уровень доказательности A
Поливинилхлорид Натрия хлорид 0,9% 0,2 mg/ml
Инъекция   Hydromorphone hydrochloride   
Инъекция   Ketamine hydrochloride 0,2 >> 1 mg/ml
25°C
7 День
Защищён от света 2336
Уровень доказательности D
Поливинилхлорид Натрия хлорид 0,9% 0,05 mg/ml
Инъекция   Hydromorphone hydrochloride   
Инъекция   Morphine hydrochloride 0,25 mg/ml
25°C
15 День
Не указано 4667
Уровень доказательности D
Поливинилхлорид Натрия хлорид 0,9% 0.0015 mg/ml
Инъекция   Hydromorphone hydrochloride   
Инъекция   Bupivacaine hydrochloride 0.5 mg/ml
25°C
30 День
Не указано 4746
Уровень доказательности A
Поливинилхлорид Натрия хлорид 0,9% 0.03 mg/ml
Инъекция   Hydromorphone hydrochloride   
Инъекция   Bupivacaine hydrochloride 0.5 mg/ml
25°C
30 День
Не указано 4746
Уровень доказательности A
Поливинилхлорид Натрия хлорид 0,9% 0.03 mg/ml
Инъекция   Hydromorphone hydrochloride   
Инъекция   Bupivacaine hydrochloride 2.5 mg/ml
25°C
30 День
Не указано 4746
Уровень доказательности A
Поливинилхлорид Натрия хлорид 0,9% 0.0015 mg/ml
Инъекция   Hydromorphone hydrochloride   
Инъекция   Bupivacaine hydrochloride 2.5 mg/ml
25°C
30 День
Не указано 4746
Уровень доказательности A
Поливинилхлорид Натрия хлорид 0,9% 0,5 mg/ml
Инъекция   Hydromorphone hydrochloride   
Инъекция   Fluorouracil 16 mg/ml
32°C
3 День
Не указано 513
Уровень доказательности A +
Поливинилхлорид Натрия хлорид 0,9% 0,5 mg/ml
Инъекция   Hydromorphone hydrochloride   
Инъекция   Ondansetron hydrochloride 0,1 & 1 mg/ml
32°C
7 День
Не указано 6
Уровень доказательности A +
Поливинилхлорид Натрия хлорид 0,9% 0,5 mg/ml
Инъекция   Hydromorphone hydrochloride   
Инъекция   Fluorouracil 1 mg/ml
32°C
7 День
Не указано 513
Уровень доказательности A +
Поливинилхлорид Натрия хлорид 0,9% 20 mg/ml
Инъекция   Hydromorphone hydrochloride   
Инъекция   Esketamine 20 mg/ml
37°C
7 День
Не указано 4664
Уровень доказательности D
Поливинилхлорид Натрия хлорид 0,9% 0,05 mg/ml
Инъекция   Hydromorphone hydrochloride   
Инъекция   Morphine hydrochloride 0,25 mg/ml
37°C
15 День
Не указано 4667
Уровень доказательности D
Поливинилхлорид Натрия хлорид 0,9% 0,5 mg/ml
Инъекция   Hydromorphone hydrochloride   
Инъекция   Ondansetron hydrochloride 0,1 & 1 mg/ml
4°C
31 День
Защищён от света 6
Уровень доказательности A +
Поливинилхлорид Натрия хлорид 0,9% 0,5 mg/ml
Инъекция   Hydromorphone hydrochloride   
Инъекция   Fluorouracil 1 & 16 mg/ml
4°C
35 День
Защищён от света 513
Уровень доказательности A +
Поливинилхлорид Натрия хлорид 0,9% 0.0015 mg/ml
Инъекция   Hydromorphone hydrochloride   
Инъекция   Bupivacaine hydrochloride 0.5 mg/ml
4°C
30 День
Не указано 4746
Уровень доказательности A
Поливинилхлорид Натрия хлорид 0,9% 0.03 mg/ml
Инъекция   Hydromorphone hydrochloride   
Инъекция   Bupivacaine hydrochloride 0.5 mg/ml
4°C
30 День
Не указано 4746
Уровень доказательности A
Поливинилхлорид Натрия хлорид 0,9% 0.03 mg/ml
Инъекция   Hydromorphone hydrochloride   
Инъекция   Bupivacaine hydrochloride 2.5 mg/ml
4°C
30 День
Не указано 4746
Уровень доказательности A
Поливинилхлорид Натрия хлорид 0,9% 0.0015 mg/ml
Инъекция   Hydromorphone hydrochloride   
Инъекция   Bupivacaine hydrochloride 2.5 mg/ml
4°C
30 День
Не указано 4746
Уровень доказательности A
Поливинилхлорид Натрия хлорид 0,9% 0,5 mg/ml
Инъекция   Hydromorphone hydrochloride   
Инъекция   Ondansetron hydrochloride 0,1 & 1 mg/ml
4°C-22°C
31 День
Не указано 6
Уровень доказательности A +
Поливинилхлорид Натрия хлорид 0,9% 0,5 mg/ml
Инъекция   Hydromorphone hydrochloride   
Инъекция   Granisetron hydrochloride 0,056 mg/ml
4°C-22°C
31 Час
Не указано 6
Уровень доказательности A +
Поливинилхлорид Натрия хлорид 0,9% 0,5 mg/ml
Инъекция   Hydromorphone hydrochloride   
Инъекция   Granisetron hydrochloride 0,056 mg/ml
4°C-22°C
31 Час
Не указано 6
Уровень доказательности A +
Поливинилхлорид Глюкоза 5% 0,5 mg/ml
Инъекция   Hydromorphone hydrochloride   
Инъекция   Fluorouracil 1 & 16 mg/ml
-20°C
35 День
Защищён от света 513
Уровень доказательности A +
Поливинилхлорид Глюкоза 5% 0,5 mg/ml
Инъекция   Hydromorphone hydrochloride   
Инъекция   Fluorouracil 16 mg/ml
23°C
7 День
Не указано 513
Уровень доказательности A +
Поливинилхлорид Глюкоза 5% 0,5 mg/ml
Инъекция   Hydromorphone hydrochloride   
Инъекция   Fluorouracil 1 mg/ml
23°C
35 День
Не указано 513
Уровень доказательности A +
Поливинилхлорид Глюкоза 5% 0,5 mg/ml
Инъекция   Hydromorphone hydrochloride   
Инъекция   Fluorouracil 16 mg/ml
32°C
3 День
Не указано 513
Уровень доказательности A +
Поливинилхлорид Глюкоза 5% 0,5 mg/ml
Инъекция   Hydromorphone hydrochloride   
Инъекция   Fluorouracil 1 mg/ml
32°C
7 День
Не указано 513
Уровень доказательности A +
Поливинилхлорид Глюкоза 5% 0,5 mg/ml
Инъекция   Hydromorphone hydrochloride   
Инъекция   Fluorouracil 1 & 16 mg/ml
4°C
35 День
Защищён от света 513
Уровень доказательности A +
Полиэтилен Натрия хлорид 0,9% 0,05 mg/ml
Инъекция   Hydromorphone hydrochloride   
Инъекция   Morphine hydrochloride 0,25 mg/ml
25°C
15 День
Не указано 4667
Уровень доказательности D
Полиэтилен Натрия хлорид 0,9% 0,05 mg/ml
Инъекция   Hydromorphone hydrochloride   
Инъекция   Morphine hydrochloride 0,25 mg/ml
37°C
15 День
Не указано 4667
Уровень доказательности D
Полиолефин Натрия хлорид 0,9% 0.0015 mg/ml
Инъекция   Hydromorphone hydrochloride   
Инъекция   Bupivacaine hydrochloride 0.5 mg/ml
25°C
30 День
Не указано 4746
Уровень доказательности A
Полиолефин Натрия хлорид 0,9% 0.03 mg/ml
Инъекция   Hydromorphone hydrochloride   
Инъекция   Bupivacaine hydrochloride 0.5 mg/ml
25°C
30 День
Не указано 4746
Уровень доказательности A
Полиолефин Натрия хлорид 0,9% 0.03 mg/ml
Инъекция   Hydromorphone hydrochloride   
Инъекция   Bupivacaine hydrochloride 2.5 mg/ml
25°C
30 День
Не указано 4746
Уровень доказательности A
Полиолефин Натрия хлорид 0,9% 0.0015 mg/ml
Инъекция   Hydromorphone hydrochloride   
Инъекция   Bupivacaine hydrochloride 2.5 mg/ml
25°C
30 День
Не указано 4746
Уровень доказательности A
Полиолефин Натрия хлорид 0,9% 0.0015 mg/ml
Инъекция   Hydromorphone hydrochloride   
Инъекция   Bupivacaine hydrochloride 0.5 mg/ml
4°C
30 День
Не указано 4746
Уровень доказательности A
Полиолефин Натрия хлорид 0,9% 0.03 mg/ml
Инъекция   Hydromorphone hydrochloride   
Инъекция   Bupivacaine hydrochloride 0.5 mg/ml
4°C
30 День
Не указано 4746
Уровень доказательности A
Полиолефин Натрия хлорид 0,9% 0.03 mg/ml
Инъекция   Hydromorphone hydrochloride   
Инъекция   Bupivacaine hydrochloride 2.5 mg/ml
4°C
30 День
Не указано 4746
Уровень доказательности A
Полиолефин Натрия хлорид 0,9% 0.0015 mg/ml
Инъекция   Hydromorphone hydrochloride   
Инъекция   Bupivacaine hydrochloride 2.5 mg/ml
4°C
30 День
Не указано 4746
Уровень доказательности A
Шприц полипропилен Натрия хлорид 0,9% 0,02 & 0,04 mg/ml
Инъекция   Hydromorphone hydrochloride   
Инъекция   Bupivacaine hydrochloride 2,5 mg/ml
22°C
91 День
Свет 1931
Уровень доказательности A
Шприц полипропилен Натрия хлорид 0,9% 0,2 mg/ml
Инъекция   Hydromorphone hydrochloride   
Инъекция   Ketamine hydrochloride 0,2 >> 1 mg/ml
25°C
7 День
Защищён от света 2336
Уровень доказательности D
Шприц полипропилен Натрия хлорид 0,9% 10 mg/ml
Инъекция   Hydromorphone hydrochloride   
Инъекция   Scopolamine hydrobromide 0,04 mg/ml
Инъекция   Famotidine 0,4 mg/ml
Инъекция   Haloperidol lactate 0,5 mg/ml
Инъекция   Dimenhydrinate 5 mg/ml
25°C
12 Час
Не указано 2166
Шприц полипропилен Натрия хлорид 0,9% 10 mg/ml
Инъекция   Hydromorphone hydrochloride   
Инъекция   Famotidine 0,4 mg/ml
Инъекция   Midazolam hydrochloride 1 mg/ml
25°C
96 Час
Не указано 2166
Шприц полипропилен Натрия хлорид 0,9% 10 mg/ml
Инъекция   Hydromorphone hydrochloride   
Инъекция   Haloperidol lactate 0,5 mg/ml
Инъекция   Metoclopramide hydrochloride 0,5 mg/ml
25°C
96 Час
Не указано 2166
Шприц полипропилен Натрия хлорид 0,9% 10 mg/ml
Инъекция   Hydromorphone hydrochloride   
Инъекция   Famotidine 0,4 mg/ml
Инъекция   Metoclopramide hydrochloride 0,5 mg/ml
Суппозиторий (свеча)   Ketoprofene   
25°C
96 Час
Не указано 2166
Шприц полипропилен Натрия хлорид 0,9% 10 mg/ml
Инъекция   Hydromorphone hydrochloride   
Инъекция   Scopolamine hydrobromide 0,04 mg/ml
Инъекция   Famotidine 0,4 mg/ml
Инъекция   Haloperidol lactate 0,5 mg/ml
Инъекция   Dimenhydrinate 5 mg/ml
4°C
12 Час
Не указано 2166
Шприц полипропилен Натрия хлорид 0,9% 10 mg/ml
Инъекция   Hydromorphone hydrochloride   
Инъекция   Famotidine 0,4 mg/ml
Инъекция   Midazolam hydrochloride 1 mg/ml
4°C
96 Час
Не указано 2166
Шприц полипропилен Натрия хлорид 0,9% 10 mg/ml
Инъекция   Hydromorphone hydrochloride   
Инъекция   Famotidine 0,4 mg/ml
Инъекция   Metoclopramide hydrochloride 0,5 mg/ml
Инъекция   Ketorolac tromethamine 1,5 mg/ml
4°C
96 Час
Не указано 2166
Шприц полипропилен Натрия хлорид 0,9% 0,02 & 0,04 mg/ml
Инъекция   Hydromorphone hydrochloride   
Инъекция   Bupivacaine hydrochloride 2,5 mg/ml
6°C
91 День
Защищён от света 1931
Уровень доказательности A
Полиизопреновый эластомер Натрия хлорид 0,9% 0,08 mg/ml
Инъекция   Hydromorphone hydrochloride   
Инъекция   Fentanyl citrate 16 µg/ml
Инъекция   Nefopam 0,8 mg/ml
Инъекция   Ramosetron hydrochloride 12 µg/ml
24°C
4 День
Защищён от света 4666
Уровень доказательности D
Полиизопреновый эластомер Натрия хлорид 0,9% 0,08 mg/ml
Инъекция   Hydromorphone hydrochloride   
Инъекция   Fentanyl citrate 16 µg/ml
Инъекция   Nefopam 0,8 mg/ml
Инъекция   Ondansetron hydrochloride 0,32 mg/ml
24°C
4 День
Защищён от света 4666
Уровень доказательности D
Не указано Натрия хлорид 0,9% 2 & 20 mg/ml
Инъекция   Hydromorphone hydrochloride   
Инъекция   Midazolam hydrochloride 0.1 & 0.5 mg/ml
23°C
23 День
Защищён от света 345
Уровень доказательности A
Не указано Натрия хлорид 0,9% 35 mg/ml
Инъекция   Hydromorphone hydrochloride   
Инъекция   Ziconotide acetate 25 µg/ml
37°C
19 День
Защищён от света 2251
Уровень доказательности D
Не указано Натрия хлорид 0,9% 50 mg/ml
Инъекция   Hydromorphone hydrochloride   
Инъекция   Bupivacaine hydrochloride 24 mg/ml
Инъекция   Clonidine hydrochloride 2 mg/ml
37°C
90 День
Защищён от света 2305
Не указано Натрия хлорид 0,9% 2 & 20 mg/ml
Инъекция   Hydromorphone hydrochloride   
Инъекция   Midazolam hydrochloride 0.1 & 0.5 mg/ml
4°C
23 День
Защищён от света 345
Уровень доказательности A
Не указано Глюкоза 5% 2 & 20 mg/ml
Инъекция   Hydromorphone hydrochloride   
Инъекция   Midazolam hydrochloride 0.1 & 0.5 mg/ml
23°C
23 День
Защищён от света 345
Уровень доказательности A
Не указано Глюкоза 5% 2 & 20 mg/ml
Инъекция   Hydromorphone hydrochloride   
Инъекция   Midazolam hydrochloride 0.1 & 0.5 mg/ml
4°C
23 День
Защищён от света 345
Уровень доказательности A
Не указано Нет 15 mg/ml
Инъекция   Hydromorphone hydrochloride   
Инъекция   Bupivacaine hydrochloride 10 mg/ml
37°C
90 День
Защищён от света 4200
Уровень доказательности A

  Mentions Légales