Zadnji put ažurirano :
18/03/2026
antifungicid   Amphotericin B liposomale  
injekcija
kapi za oko
Stabilizacija rješenja Stabilnost mješavine Stabilizacijski faktor Kompatibilnosti način davanja lijeka Bibliografija pdf
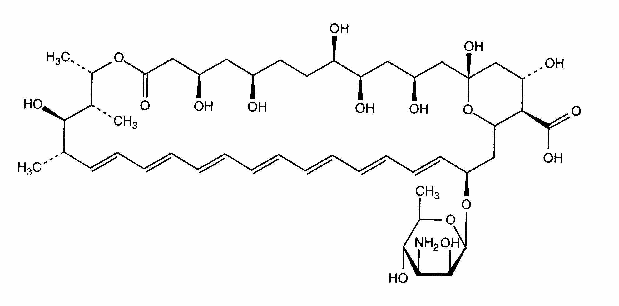
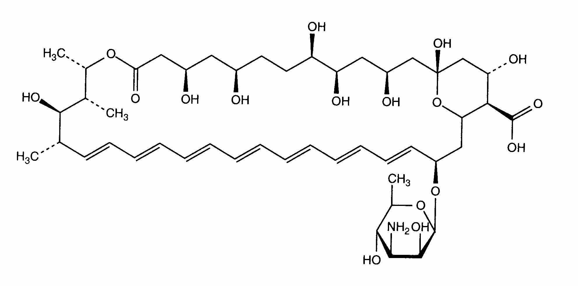
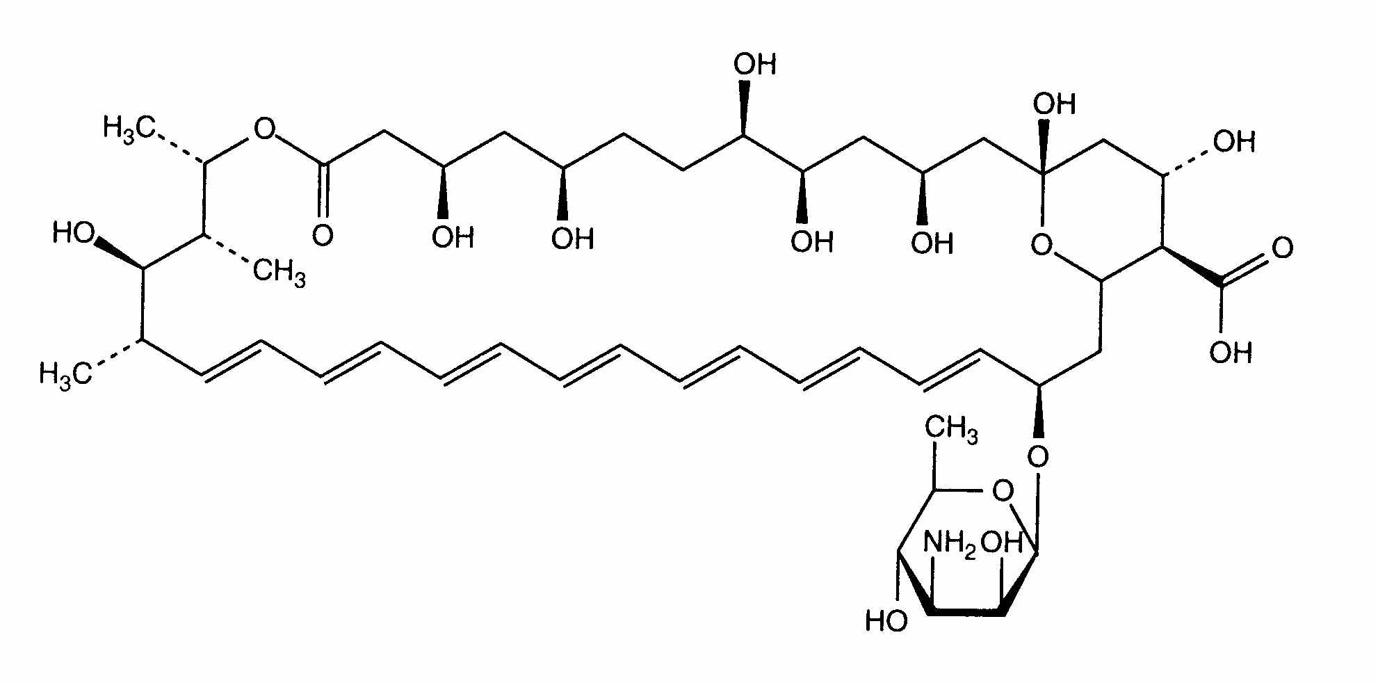
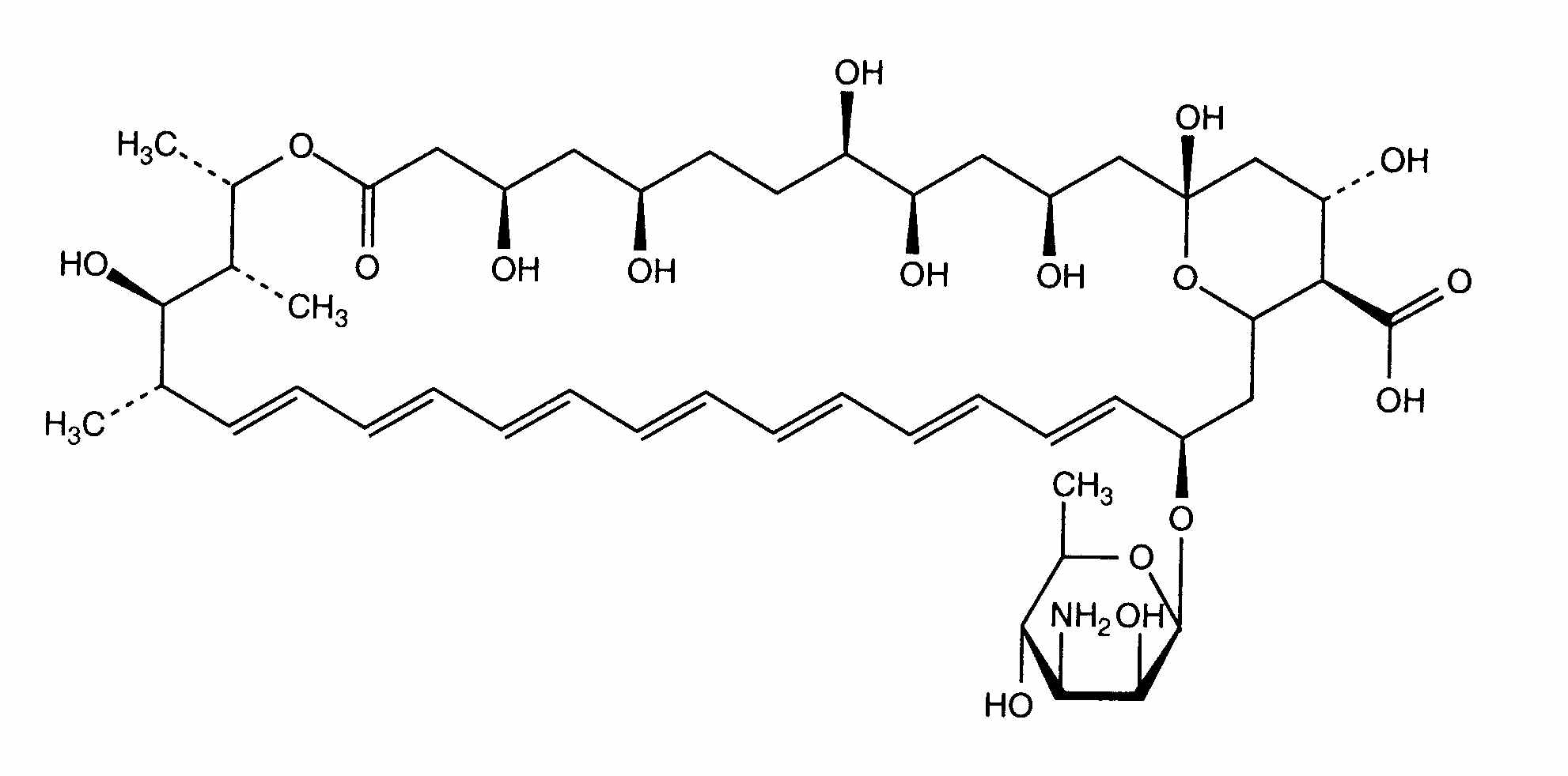
liposomi   Kemijska struktura  

Nekomercijalni   Nekomercijalni     

Zaštićeni nazivi su indikativni i sastav ekscipijensa može biti različit ovisno o državi i laboratorijima

Ambisome Indija, Argentina, Austrija, Belgija, Brazil, Čile, Danska, Egipat, Finska, Francuska, Grčka, Irska, Island, Italija, Japan, Kanada, Luksemburg, Madžarska, Nizozemska, Njemačka, Norveška, novi Zeland, Peru, Poljska, Portugal, S A D, Saudijska Arabija, Španjolska, Švedska, Švicarska, Tajland, Turska, Ujedinjeni Arapski Emirati, Velika Britanija

Stabilizacijski faktor   injekcija   Stabilizacijski faktor : Amphotericin B liposomale        
Bibliografija
sredstvo za rastapanje natrijumkorid 0,9% izaziva Degradacija 3398
sredstvo za rastapanje voda ppi i bakteriostaticna izaziva Degradacija 3398
temperatura 25°C izaziva Smanjenje stabilnosti 4821

  Mentions Légales