Posledná aktualizácia :
18/03/2026
antimykotikum   Amphotericin B liposomale  
Injekcia
Očná instilácia
Stabilita roztokov Stabilita v zmesiach Faktory ovplyvňujúce stabilitu Kompatibility spôsob podania Odkazy na literatúru PDF
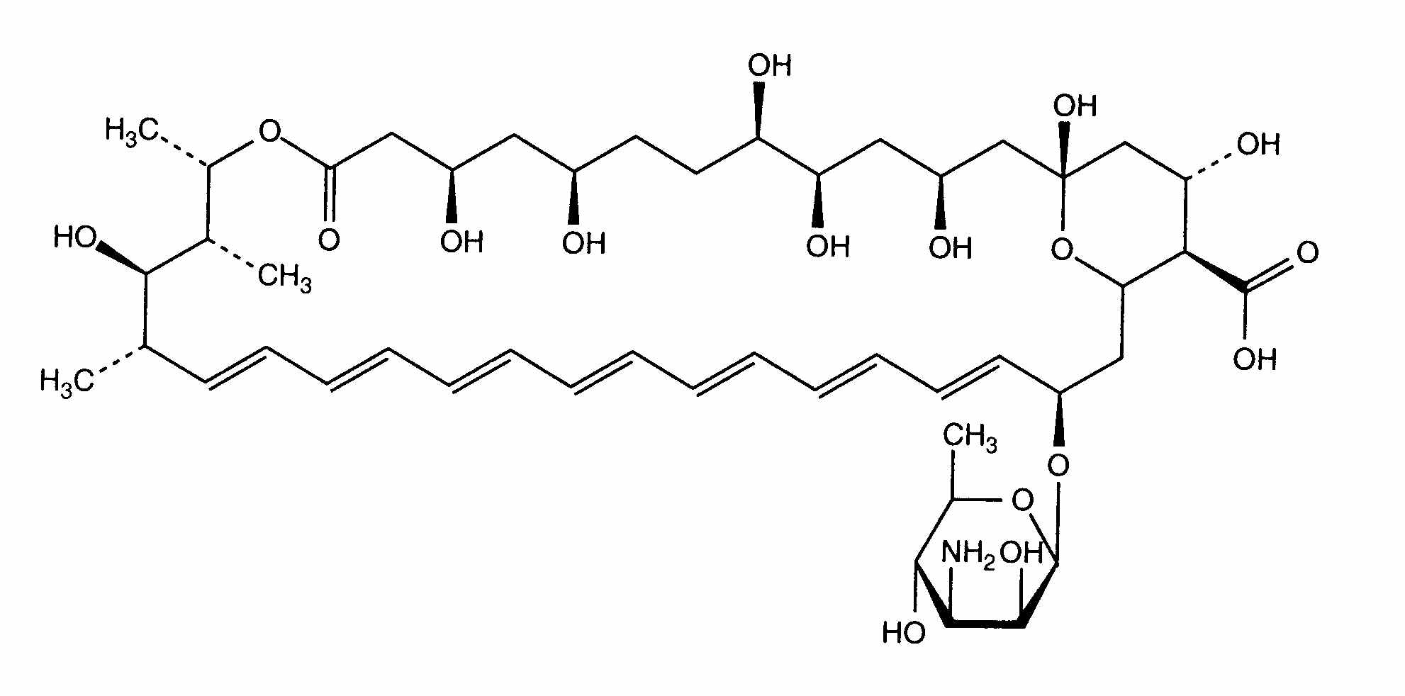
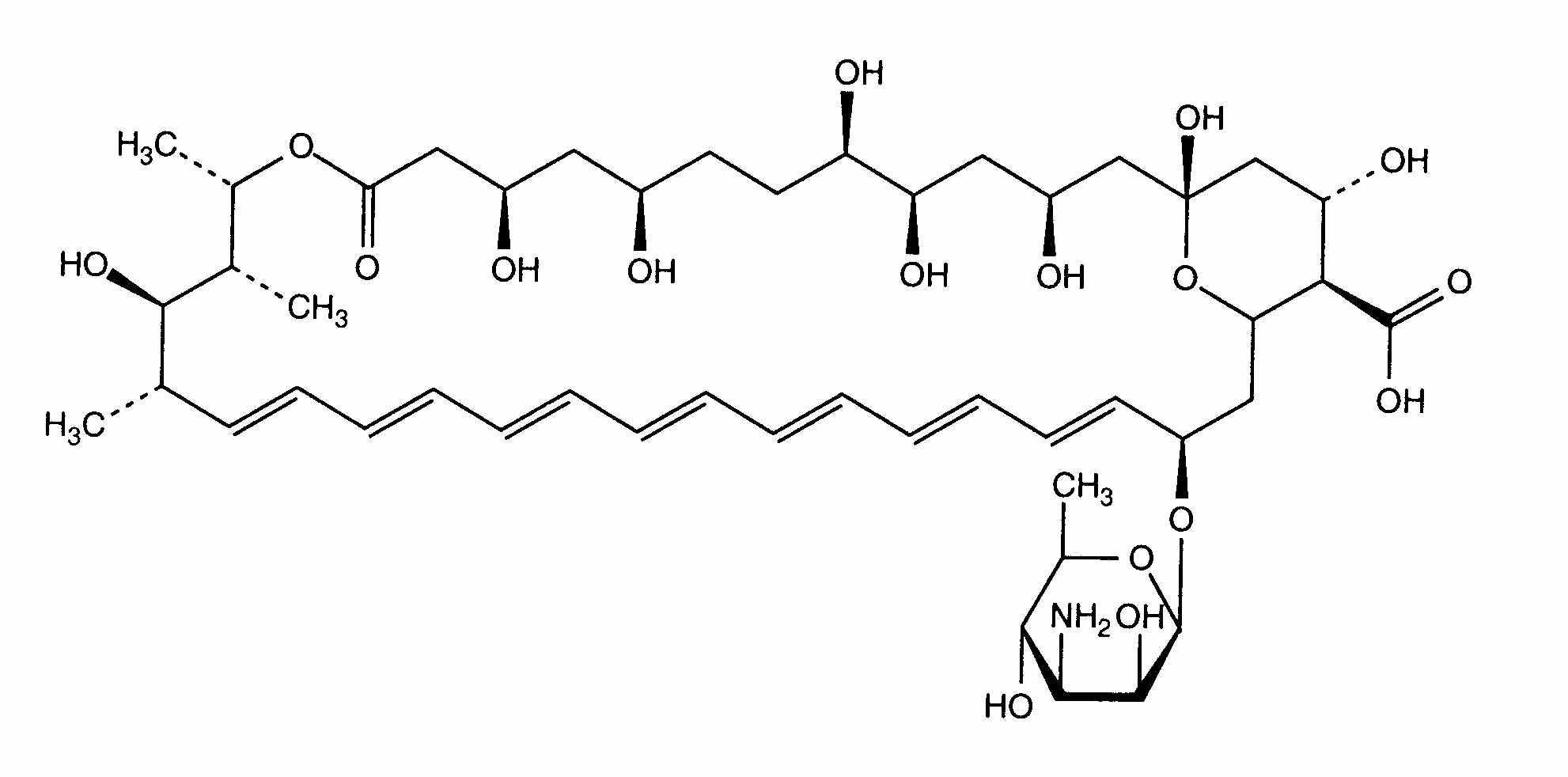
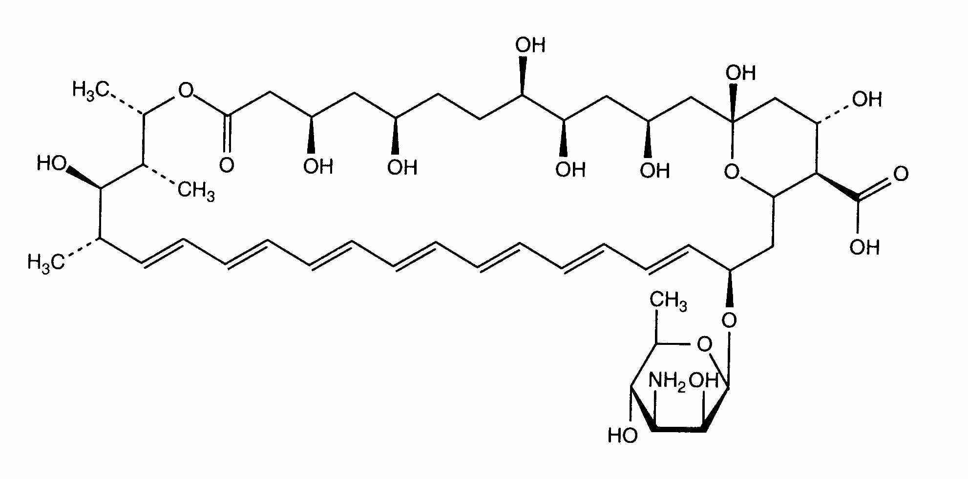
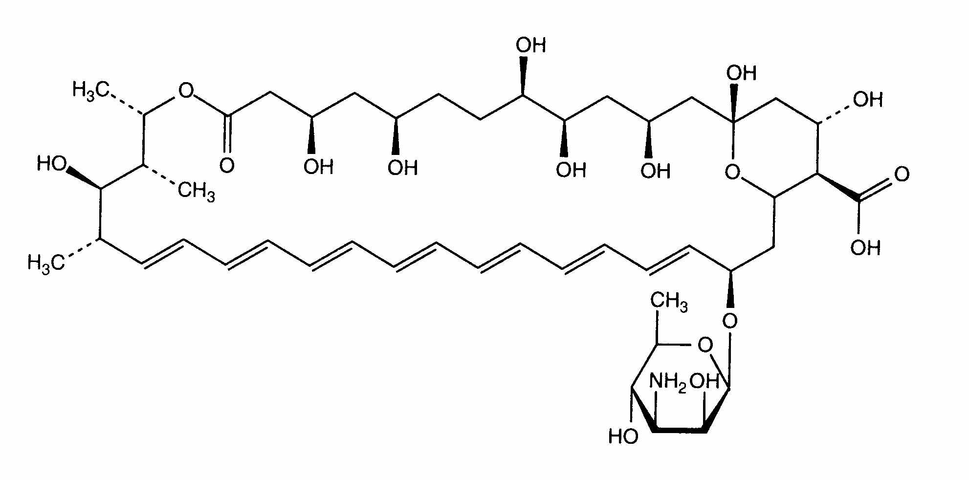
lipozóm   Chemický vzorec  

Obchodný názov   Obchodný názov     

Obchodné názvy sú orientačné, a zloženie pomocných látok sa môže líšiť v závislosti od krajiny a výrobcu.

Ambisome Argentína, Belgicko, Brazília, Čile, Dánsko, Egypt, Fínsko, Francúzsko, Grécko, Holandsko, India, Írsko, Island, Japonsko, Kanada, Luxembursko, Maďarsko, Nemecko, Nórsko, nový Zéland, peru, Poľsko, Portugalsko, Rakúsko, Saudská Arábia, Španielsko, Spojené arabské emiráty, Spojené štáty Americké, Švajčiarsko, Švédsko, Taliansko, Thajsko, Turecko, Veľká Británia

Faktory ovplyvňujúce stabilitu   Injekcia   Faktory ovplyvňujúce stabilitu : Amphotericin B liposomale        
odkazy na lieteratúru
rozpúšťadlo 0,9% chlorid sodný indukuje degradácia 3398
rozpúšťadlo voda na injekciu + antibakteriálna látka indukuje degradácia 3398
teplota 25°C indukuje znížená stabilita 4821

  Mentions Légales