Last update :
18/03/2026
Antifungal   Amphotericin B liposomale  
injection
Eye-drops
Stability in solutions Stability of mixtures Factors which affect stability Compatibility Route of administration References pdf
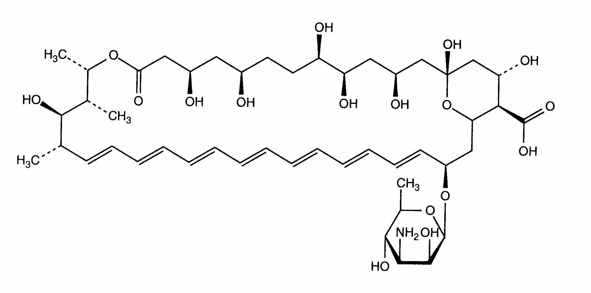
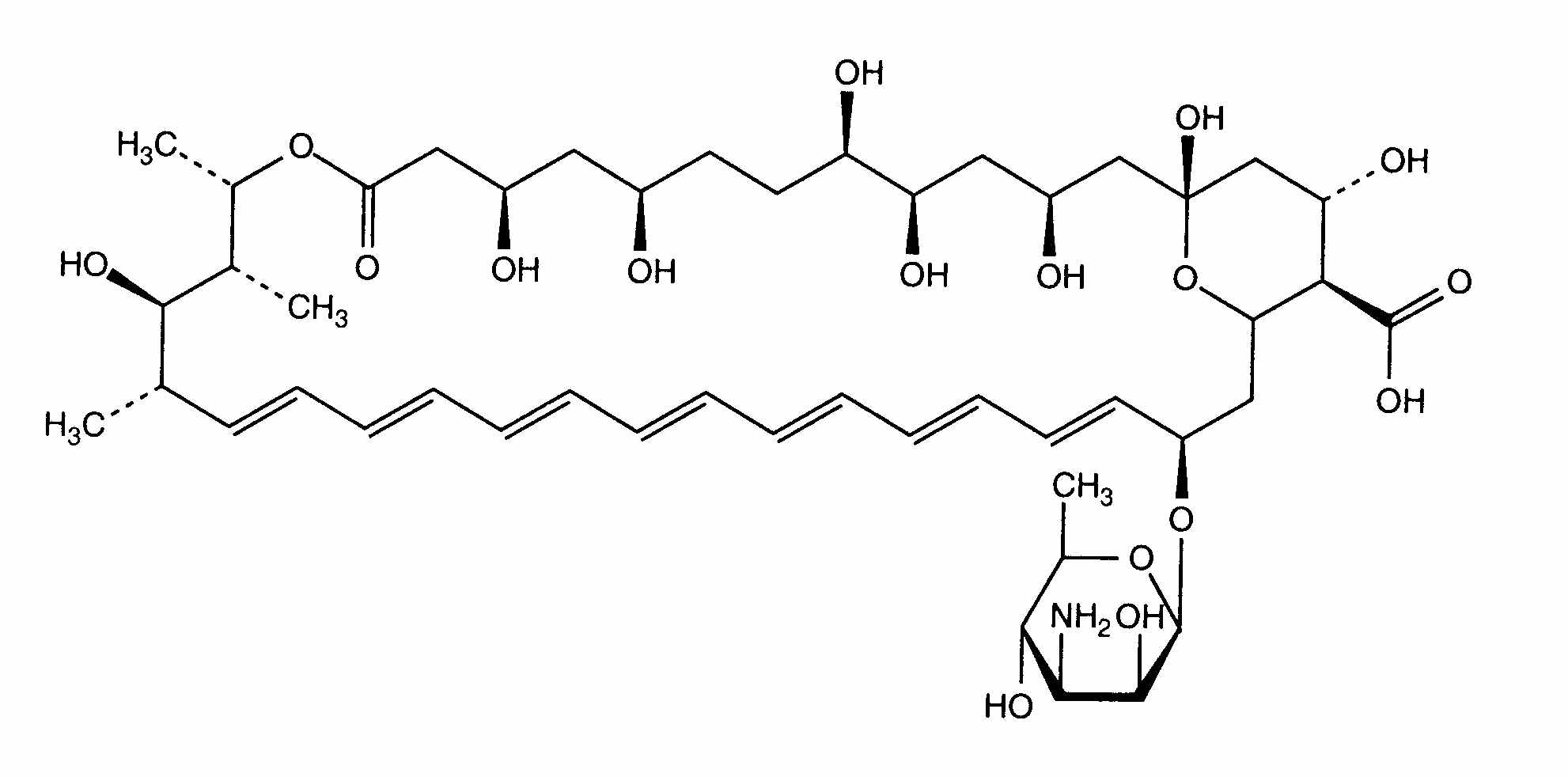
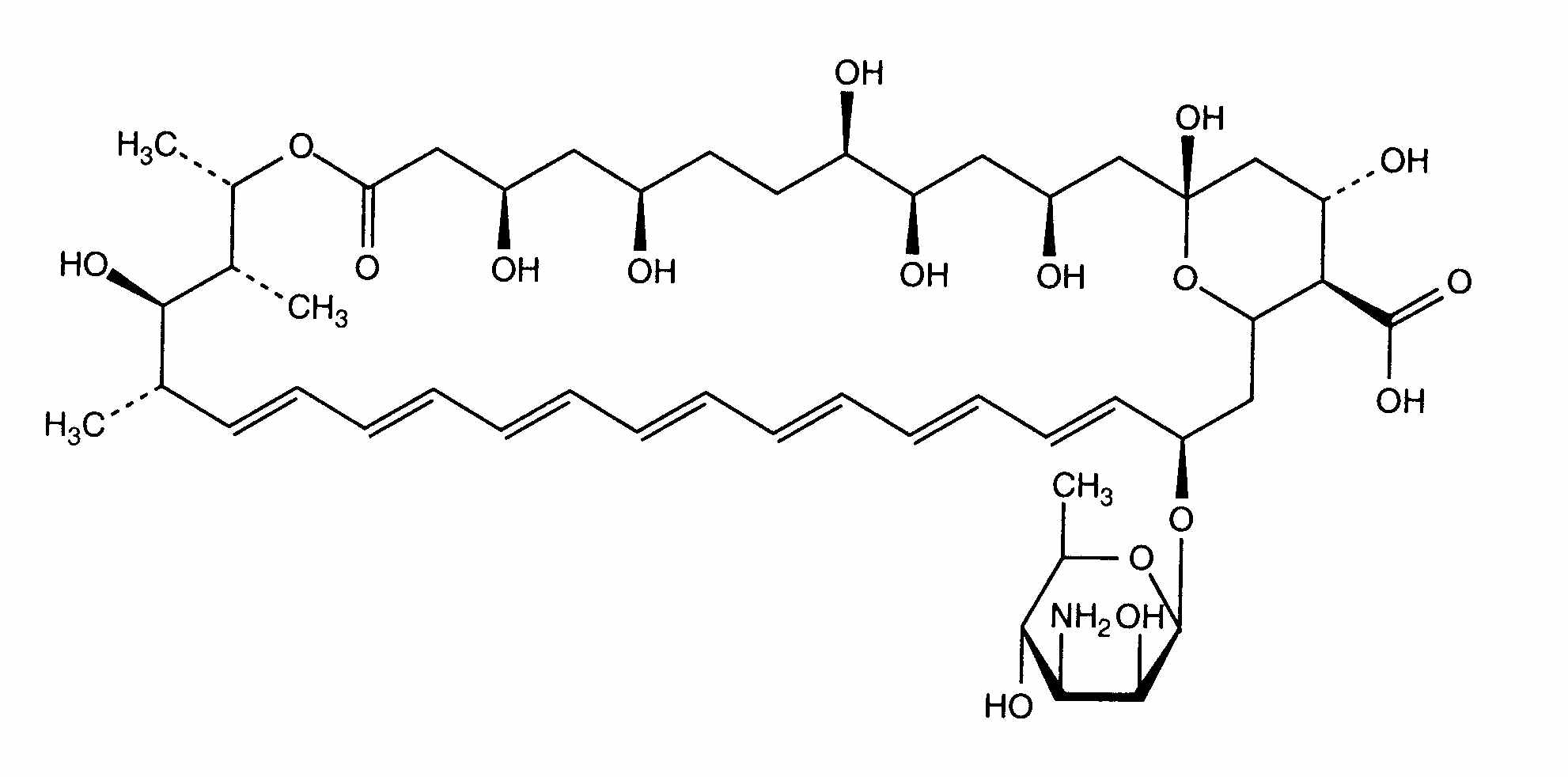
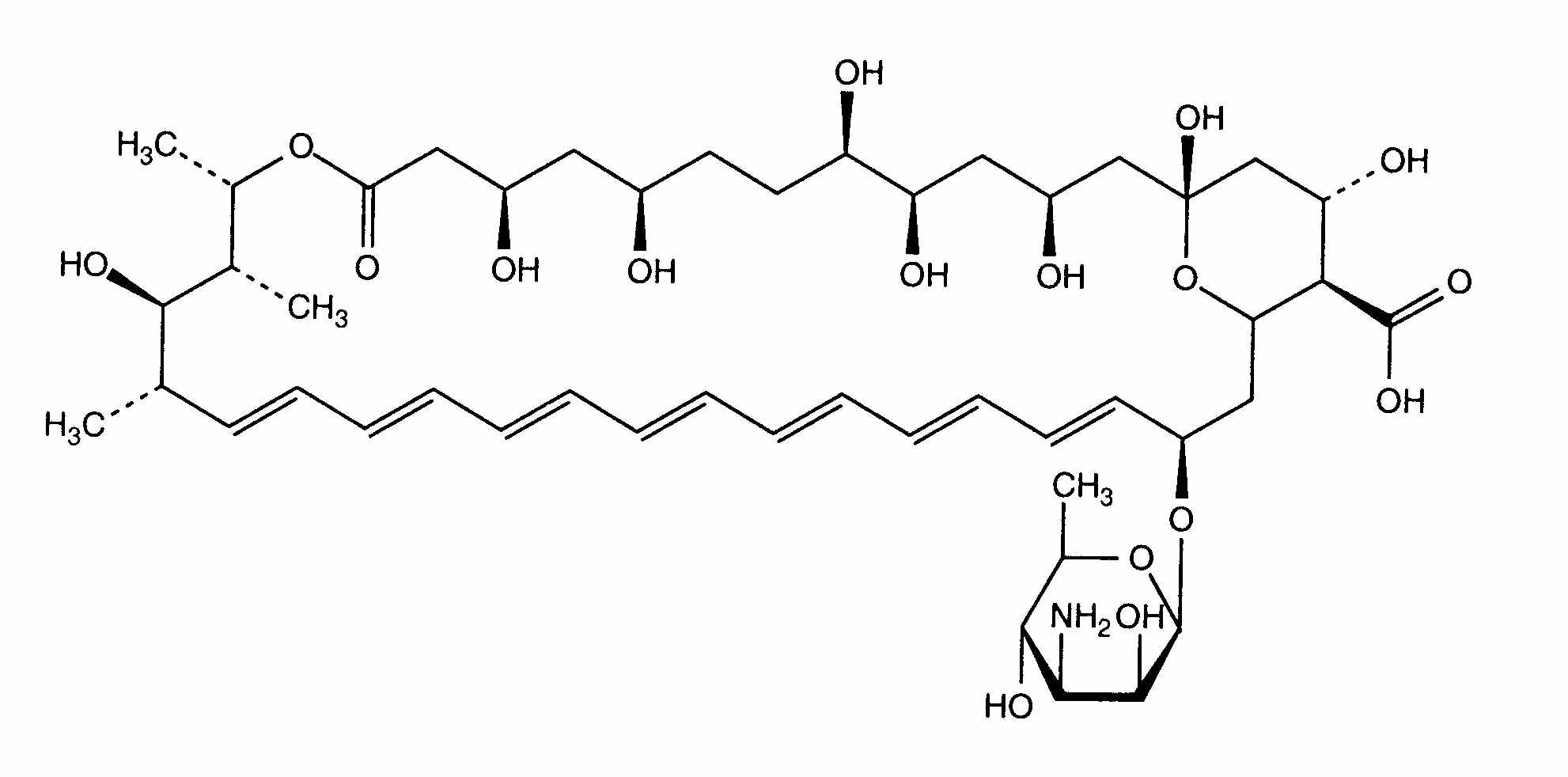
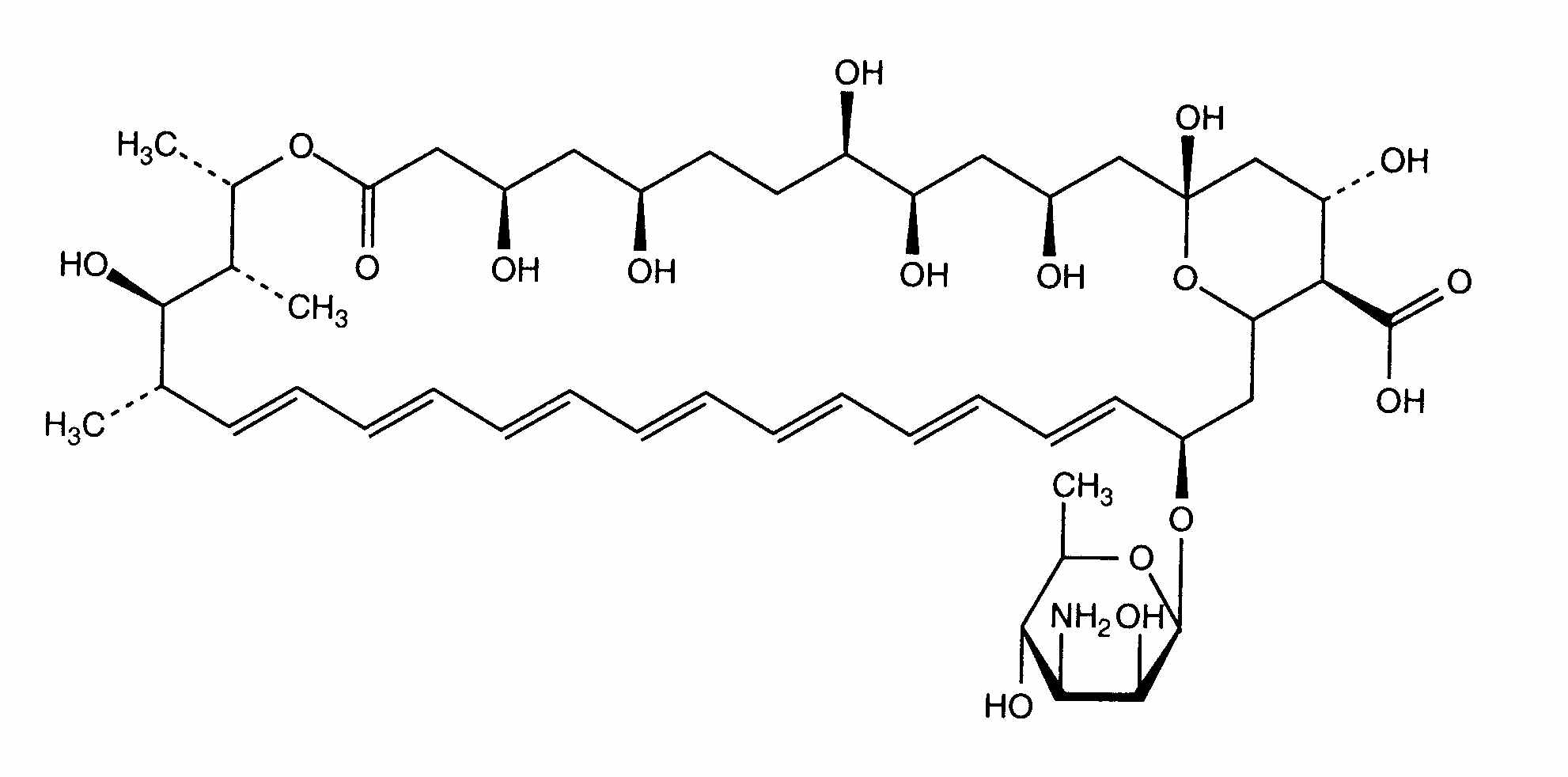
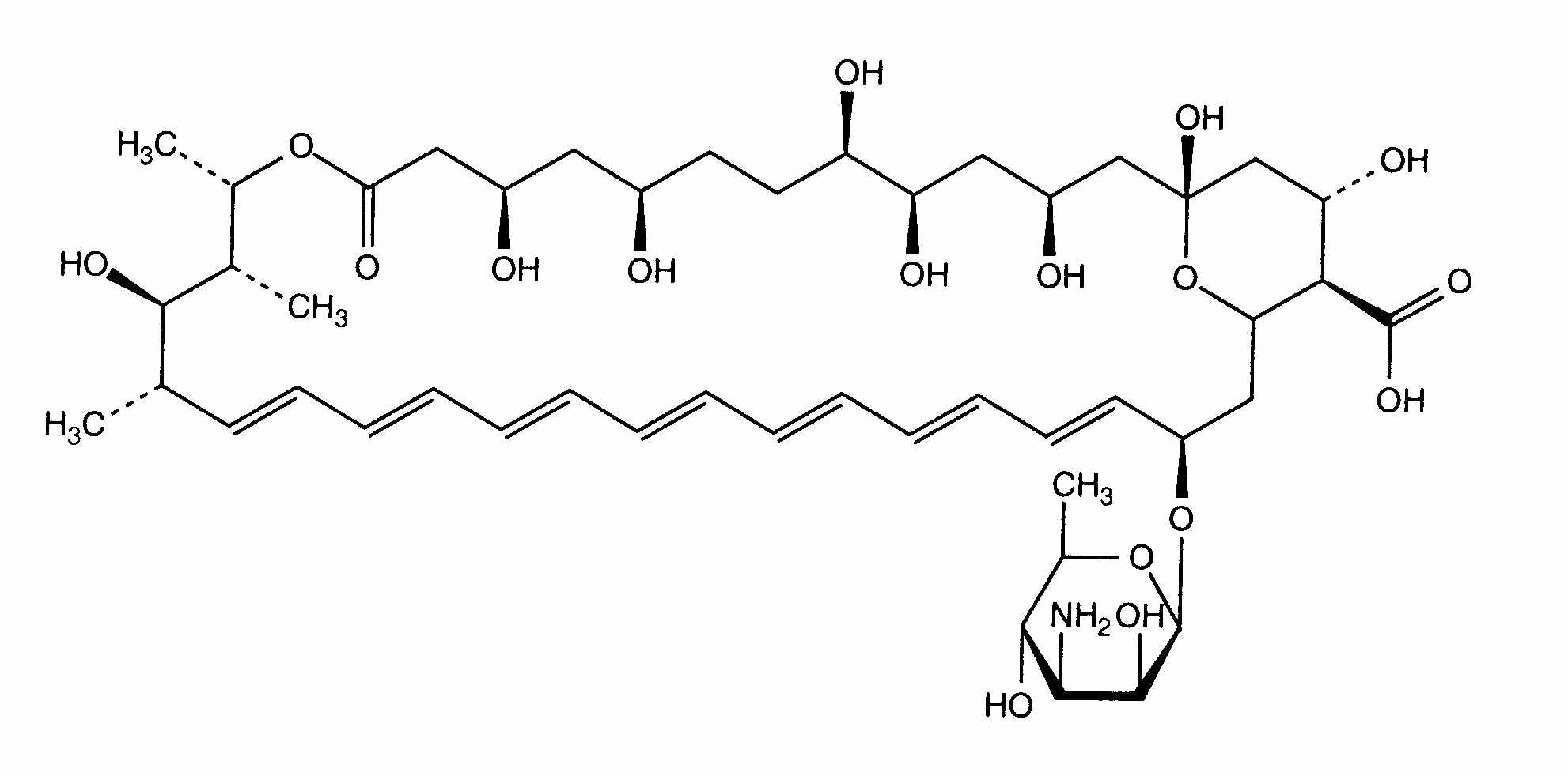
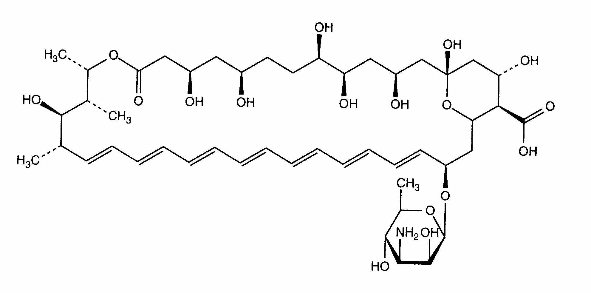
Liposome   Chemical structure  

Tradename   Tradename     

Trade names are indicative and excipients composition can be different depending on the country and manufacturers

Ambisome Argentina, Austria, Belgium, Brazil, Canada, Chile, Denmark, Egypt, Finland, France, Germany, Great Britain, Greece, Hungary, Iceland, India, Ireland, Italy, Japan, Luxembourg, Netherlands, New Zealand, Norway, Peru, Poland, Portugal, Saudi Arabia, Spain, Sweden, Switzerland, Thailand, Turkey, United Arab Emirates, United States of America

Factors which affect stability   injection   Factors which affect stability : Amphotericin B liposomale        
References
Solvent Sodium chloride 0,9% Induces Degradation 3398
Solvent Water for injection + antibacterial Induces Degradation 3398
Temperature 25°C Induces Reduced stability 4821

  Mentions Légales