Utolsó frissítés :
18/03/2026
Gombaellenes szer   Amphotericin B liposomale  
Injekció
Szemcsepp
Az oldatok stabilitása A keverékek stabilitása Stabilitást befolyásoló tényezők Kompatibilitás Az alkalmazás módja Irodalom pdf
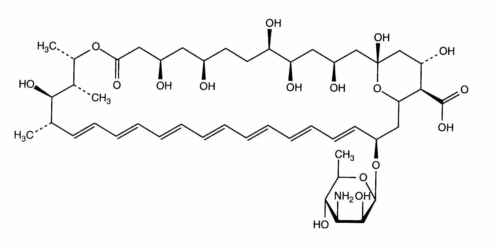
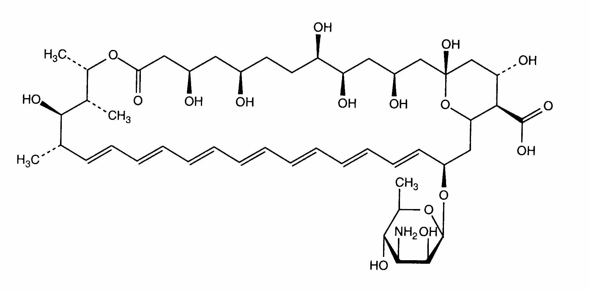
Liposzóma   Kémiai szerkezet   

Kereskedelmi név   Kereskedelmi név     

A kereskedelmi név meghatározó jelentőségű: a készítmények összetétele országonként, előállítóként eltérő lehet

Ambisome Amerikai Egyesült Államok, Argentína, Ausztria, Belgium, Brazília, Chile, Dánia, Egyesült Arab Emírségek, Egyiptom, Finnország, Franciaország, Görögország, Hollandia, India, Írország, Izland, Japán, Kanada, Lengyelország, Luxemburg, Magyarország, Nagy-Britannia, Németország, Norvégia, Olaszország, Peru, Portugália, Spanyolország, Svájc, Svédország, Szaúd-Arábiában, Thaiföld, Törökország, új-Zéland

Stabilitást befolyásoló tényezők   Injekció   Stabilitást befolyásoló tényezők : Amphotericin B liposomale        
Irodalom
Oldószer 0,9% nátrium-klorid Előidéz Lebomlás 3398
Oldószer Injekcióhoz való víz + antibakteriális szer Előidéz Lebomlás 3398
Hőmérséklet 25°C Előidéz Stabilitás csökkenés 4821

  Mentions Légales