Laatste update :
18/03/2026
Antimycoticum   Amphotericin B liposomale  
injecteerbaar geneesmiddel
Oogwater
Stabiliteit in oplossing Stabiliteit in mengsels Factoren die de stabiliteit beïnvloeden Verenigbaarheden Toedieningswijze Literatuur pdf
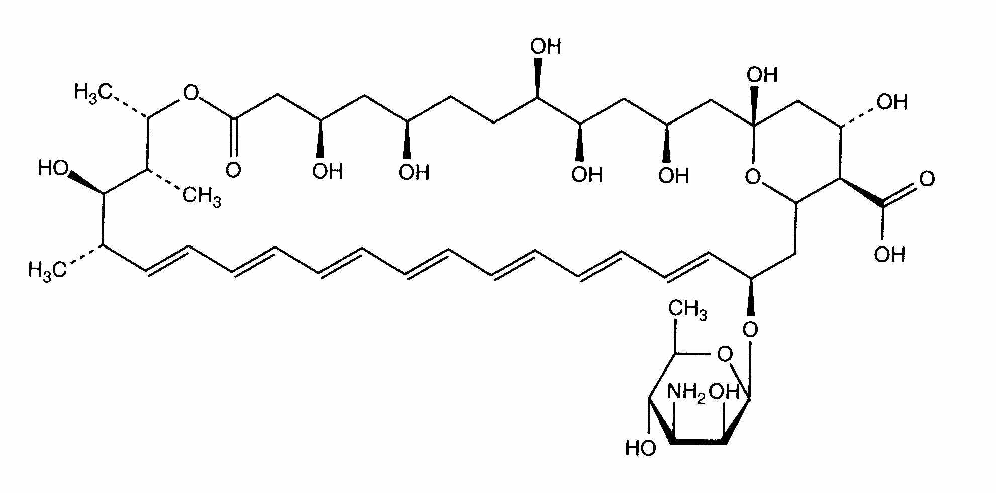
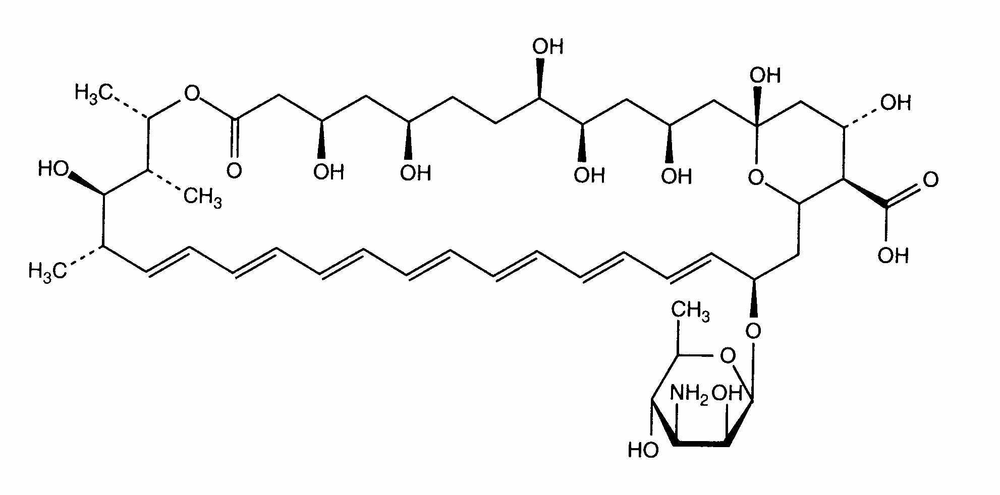
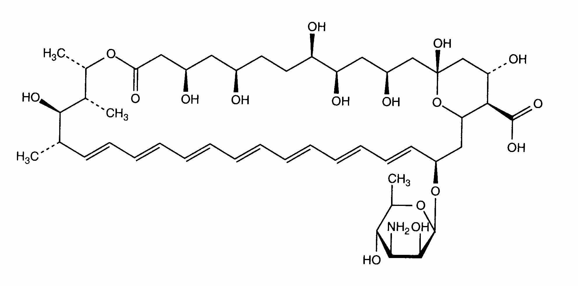
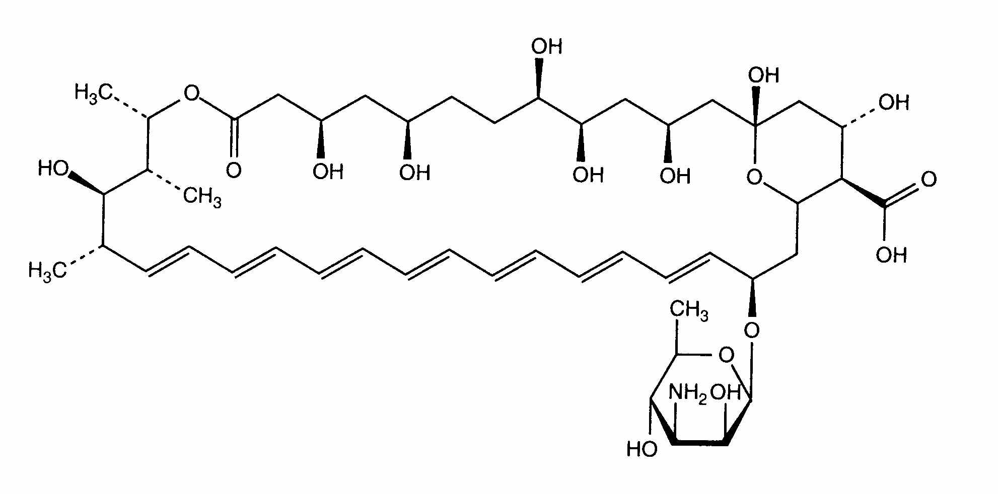
Liposomen   Molecuulstructuur  

Merknamen in verschillende landen   Merknamen in verschillende landen     

Handelsnamen zijn slechts een indicatie; de samenstelling van hulpstoffen kan per land variëren afhankelijk van de fabrikant

Ambisome Argentinië, België, Brazilië, Canada, Chili, Denemarken, Duitsland, Egypte, Finland, Frankrijk, Griekenland, Groot Britannië, Hongarije, Ierland, IJsland, Indië, Italië, Japan, Luxemburg, Nederland, nieuw Zeeland, Noorwegen, Oostenrijk, Peru, Polen, Portugal, Saudi-Arabië, Spanje, Thailand, Turkije, USA, Verenigde Arabische Emiraten, Zweden, Zwitserland

Factoren die de stabiliteit beïnvloeden   injecteerbaar geneesmiddel   Factoren die de stabiliteit beïnvloeden : Amphotericin B liposomale        
Literatuur
Oplosmiddel Natriumchloride 0,9% Veroorzaakt Ontleding 3398
Oplosmiddel Water voor injectie (geconserveerd) Veroorzaakt Ontleding 3398
Temperatuur 25°C Veroorzaakt Stabiliteit neemt af 4821

  Mentions Légales