Siste oppdatering :
18/03/2026
Fungicid   Amphotericin B liposomale  
Injeksjon
Øyedråper
Oppløsningsstabilitet Stabilitet i blandinger Faktorer som påvirker stabiliteten Kompatibilitet Administrasjonsmåte Referanser pdf
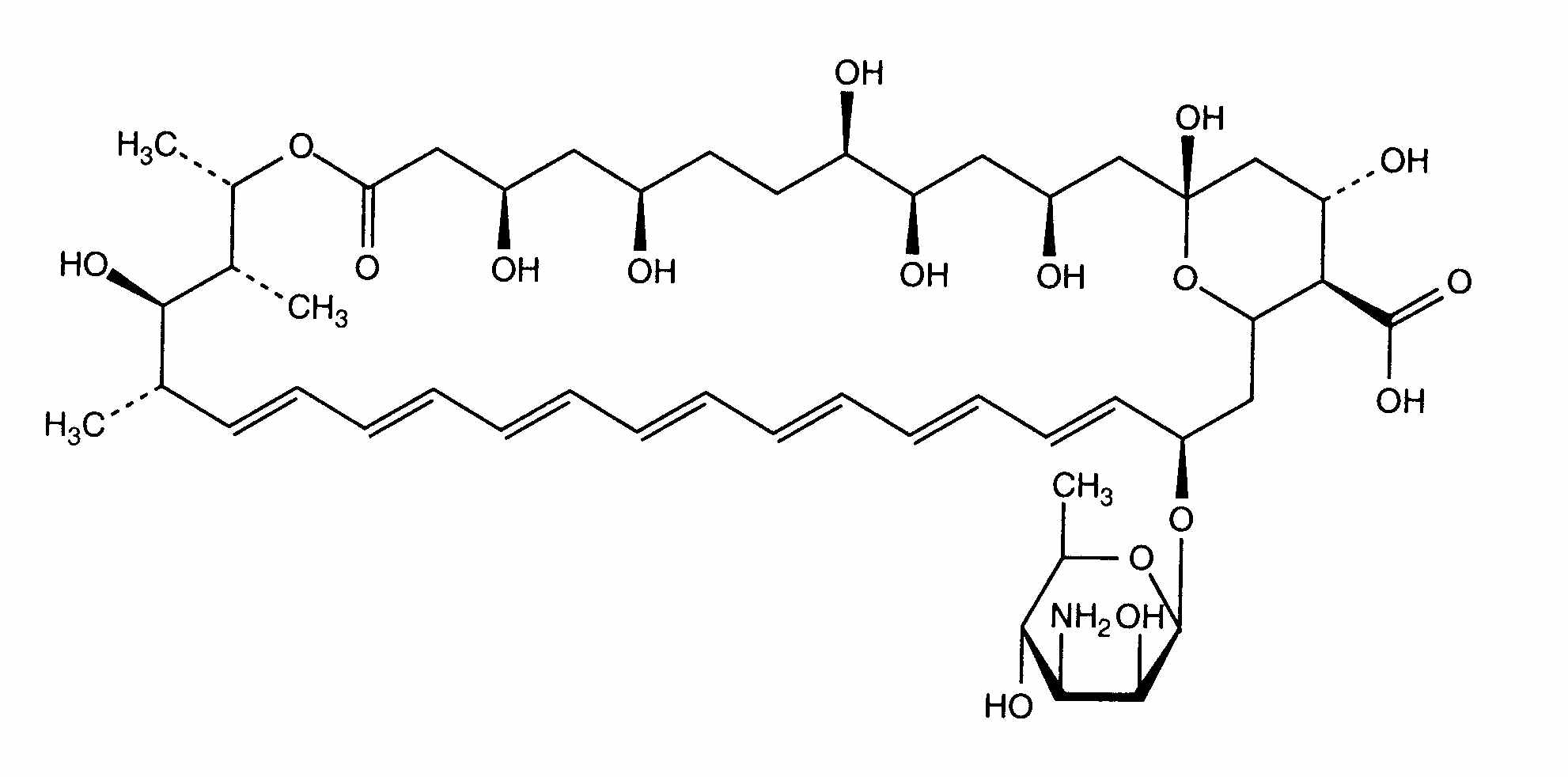
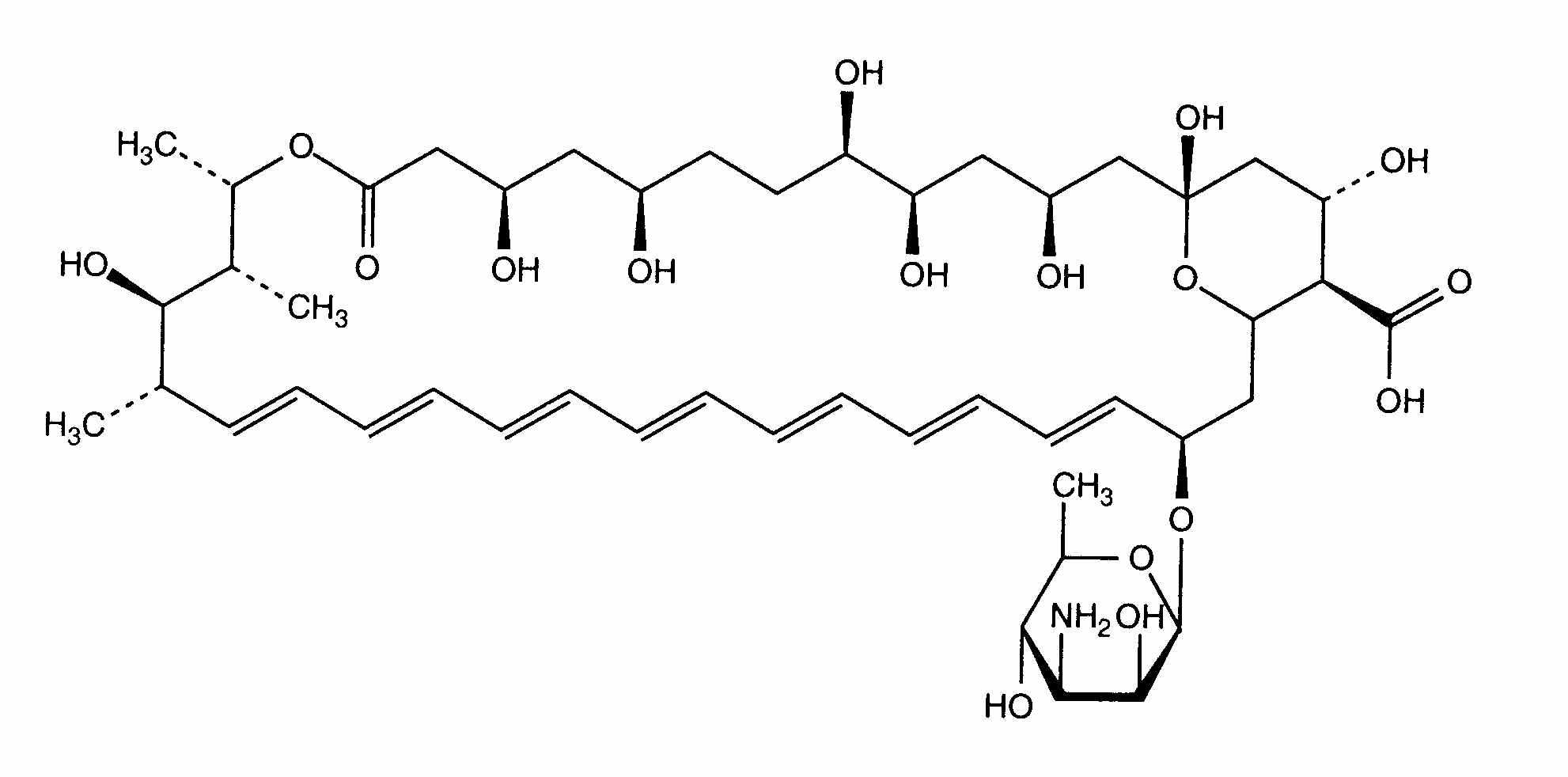
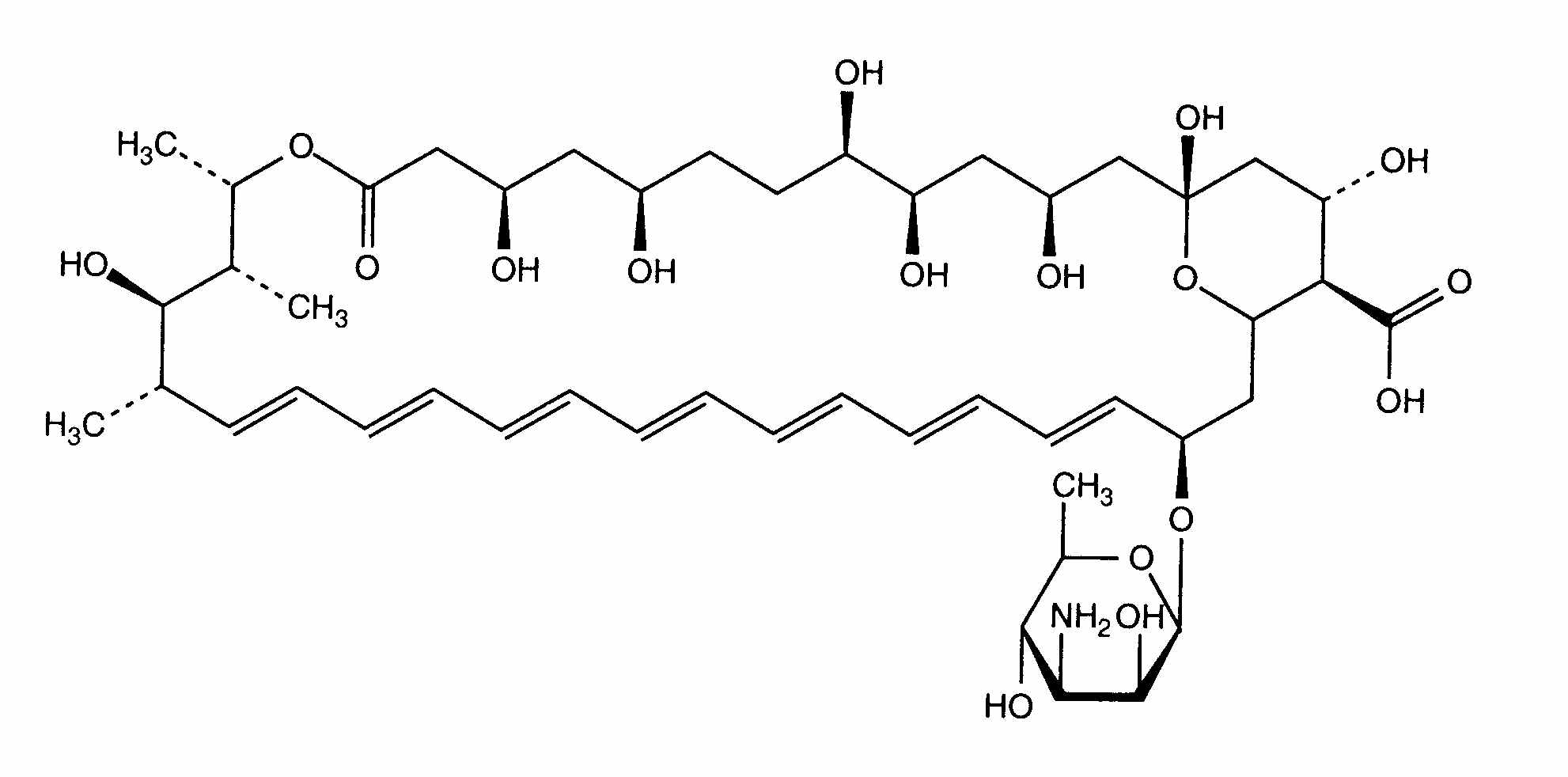
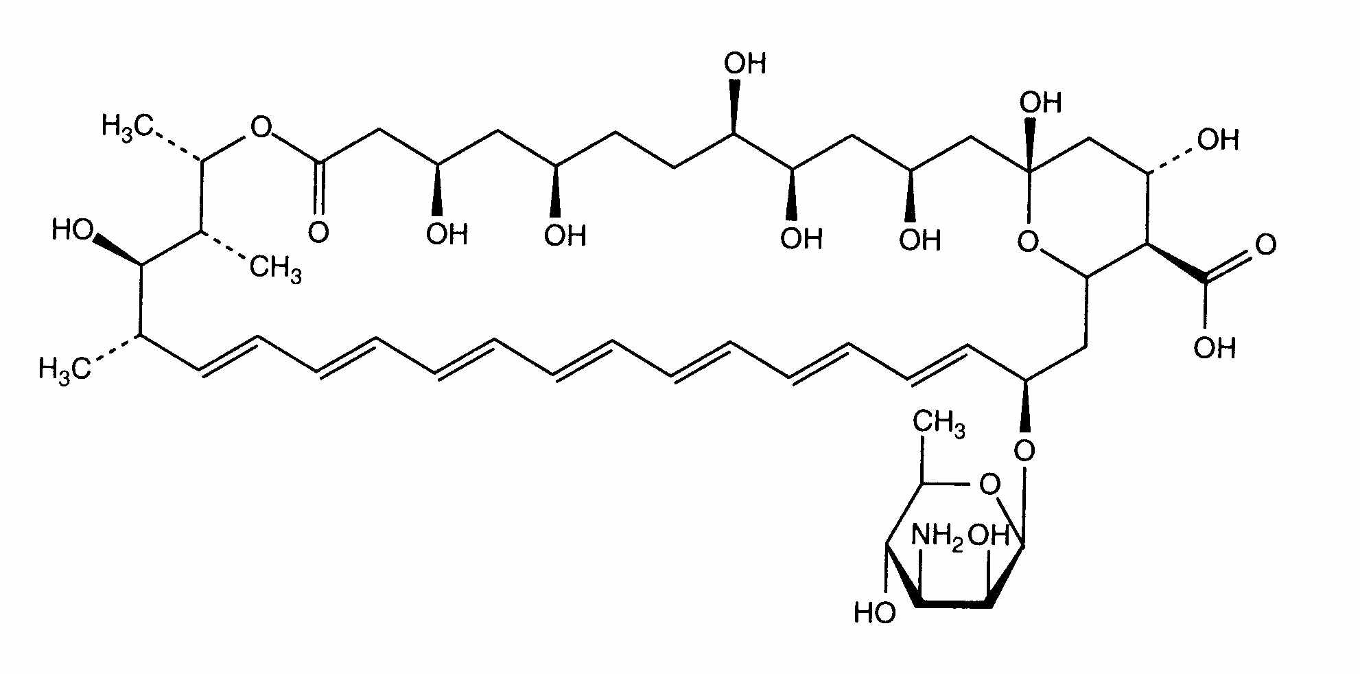
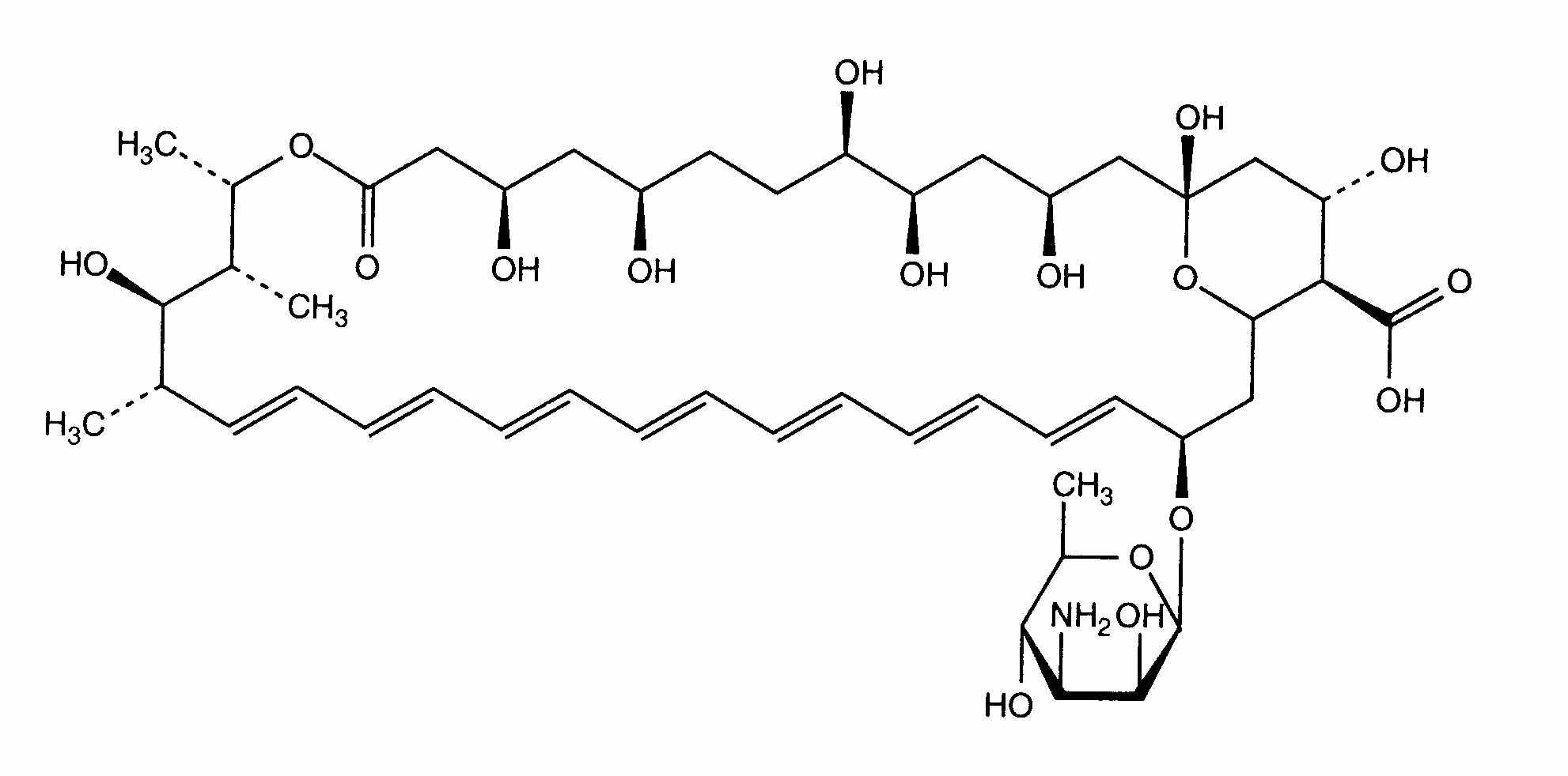
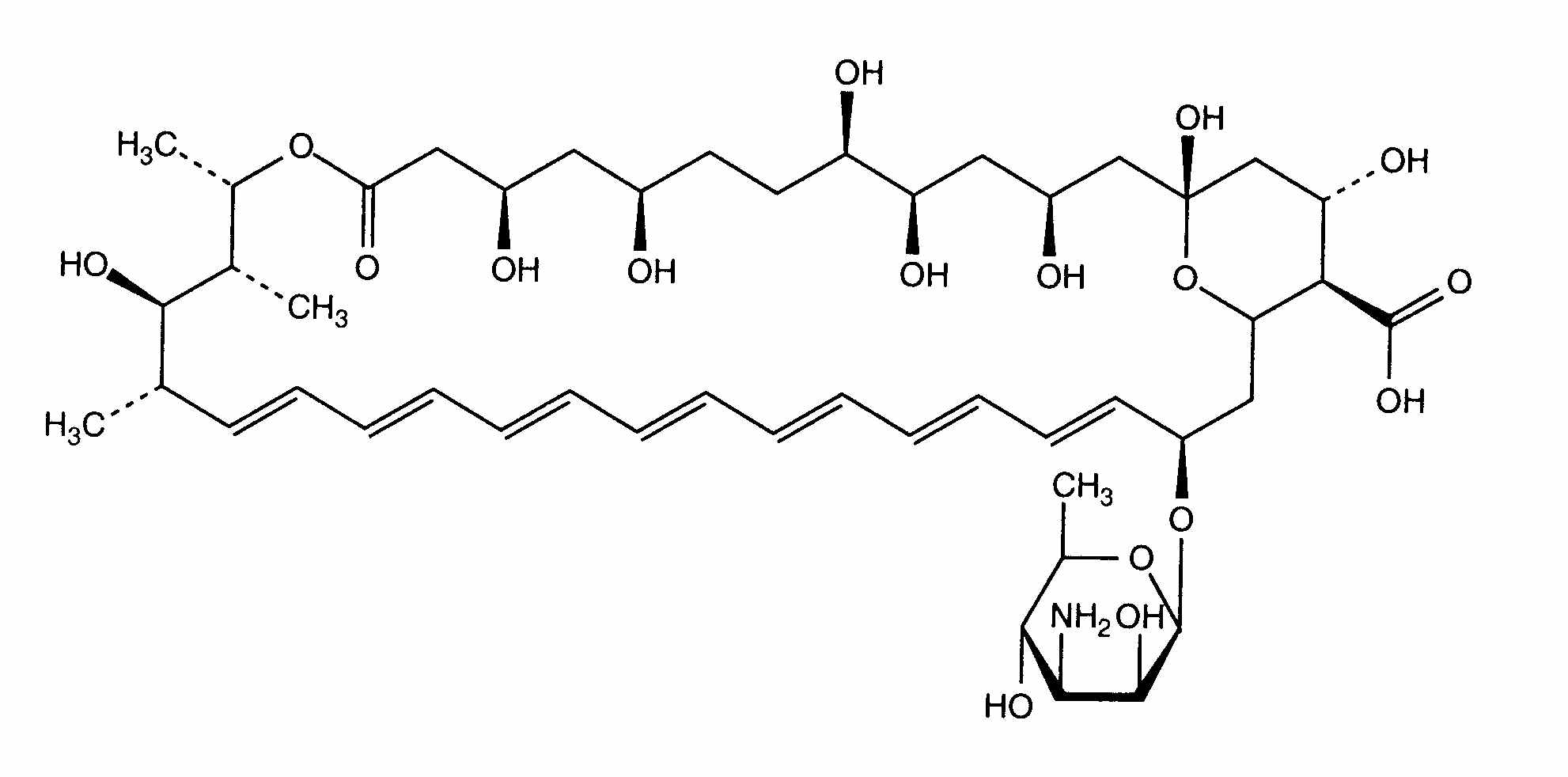
Liposom   Kjemisk struktur  

Handelsnavn   Handelsnavn     

Handelsnavn er veiledende og sammensetning av hjelpestoffer kan være forskjellig avhengig av land og produsent

Ambisome Argentina, Belgia, Brasil, Canada, Chile, Danmark, De forente arabiske emirater, Egypt, Finland, Frankrike, Hellas, India, Irland, Island, Italia, Japan, Luxembourg, Nederland, New Zealand, Norge, Peru, Polen, Portugal, Saudi-Arabia, Spania, Storbritannia, Sveits, Sverige, Thailand, Tyrkia, Tyskland, Ungarn, USA, Østerrike

Faktorer som påvirker stabiliteten   Injeksjon   Faktorer som påvirker stabiliteten : Amphotericin B liposomale        
Referanser
Oppløsningsmiddel Natriumklorid 0,9 % Induserer Degradasjon 3398
Oppløsningsmiddel Vann til injeksjon + antibakterielt middel Induserer Degradasjon 3398
Temperatur 25°C Induserer Redusert stabilitet 4821

  Mentions Légales