Последнее обновление :
18/03/2026
Противогрибковое средство   Amphotericin B liposomale  
Инъекция
Глазные капли
Стабильность растворов Стабильность смесей Факторы, которые влияют на стабильность Совместимость Способы введения Библиография pdf
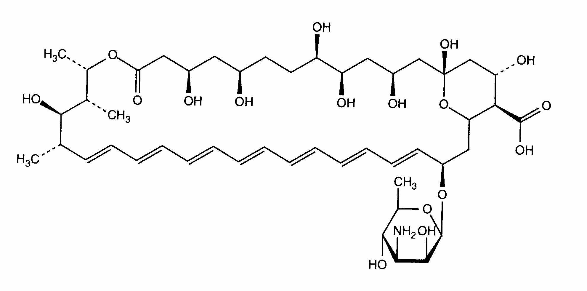
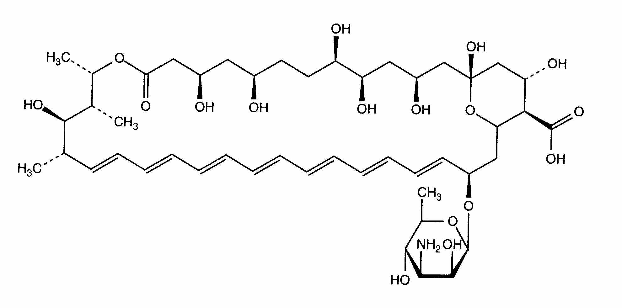
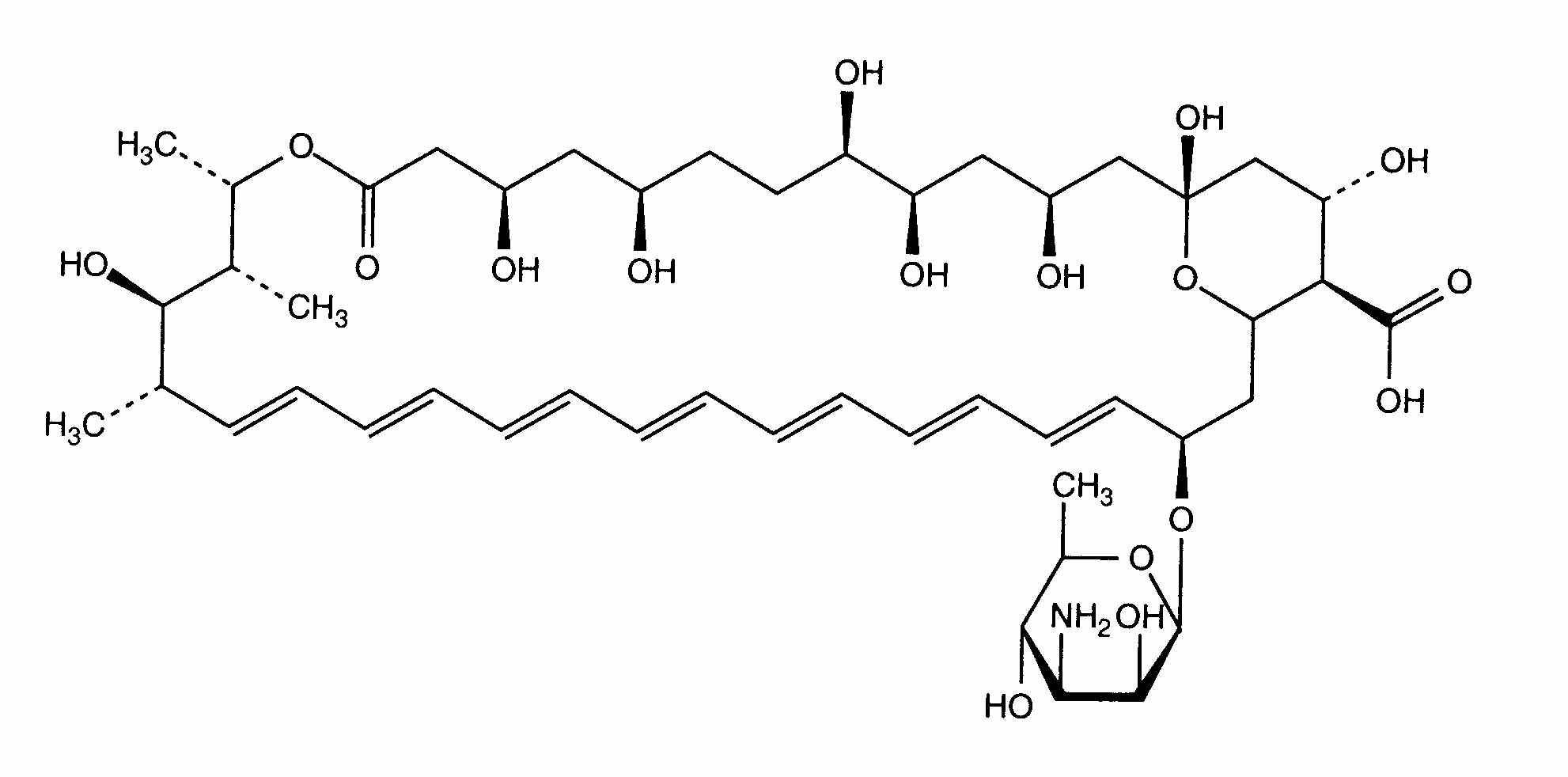
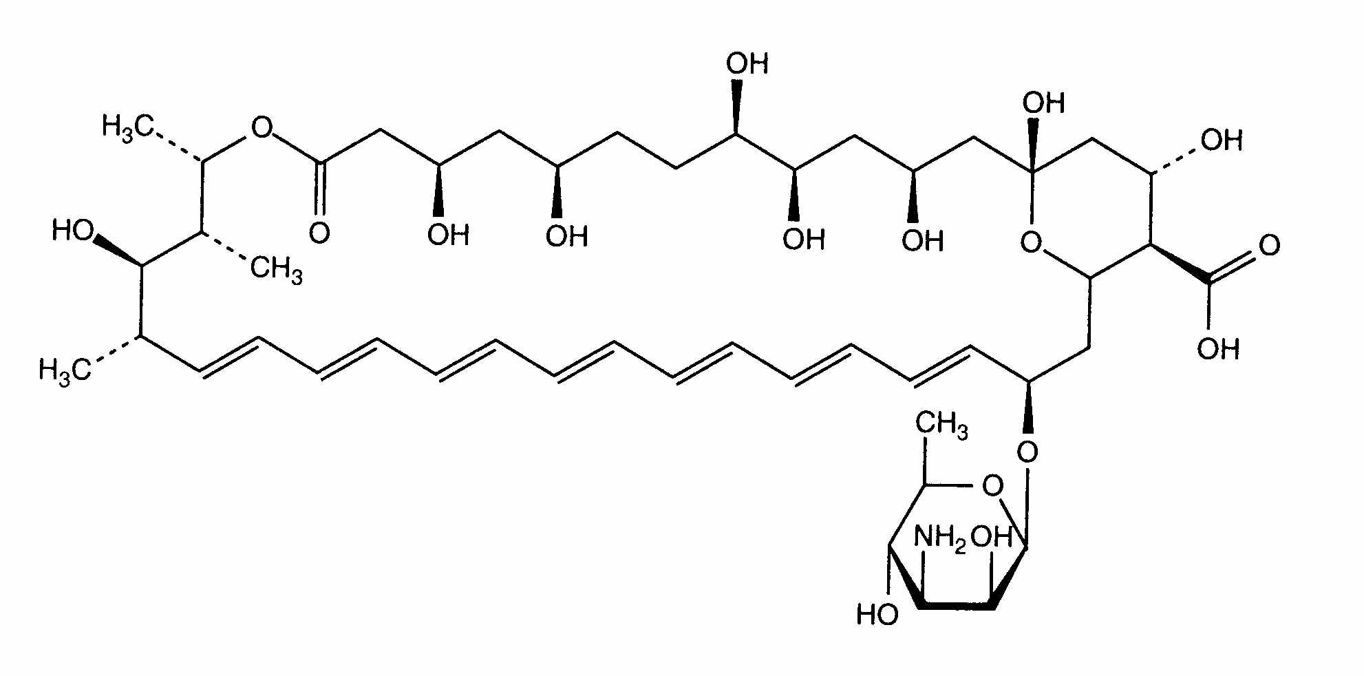
Липосома   Химическая структура  

Товарное название   Товарное название     

Trade names are indicative and excipients composition can be different depending on the country and manufacturers

Ambisome Австрия, Аргентина, Бельгия, Бразилия, Великобритания, Венгрия, Германия, Голландия, Греция, Дания, Египет, Индия, Ирландия, Исландия, Испания, Италия, Канада, Люксембург, новая Зеландия, Норвегия, Объединенные Арабские Эмираты, Перу, Польша, Португалия, Саудовская Аравия, Соединённые Штаты Америки, Таиланд, Турция, Финляндия, Франция, чили, Швейцария, Швеция, Япония

Факторы, которые влияют на стабильность   Инъекция   Факторы, которые влияют на стабильность : Amphotericin B liposomale        
Ссылки
Растворитель Натрия хлорид 0,9% Стимулирует Деградация 3398
Растворитель Вода для инъекций + антибактериальный Стимулирует Деградация 3398
Температура 25°C Стимулирует Пониженная стабильность 4821

  Mentions Légales