Ultimo aggiornamento :
18/03/2026
Antimicotico   Amphotericin B liposomale  
Iniezione
Collirio
Stabilità in soluzione Stabilità in miscela Fattori che influenzano la stabilità Compatibilità metodo di iniezione Bibliografia pdf
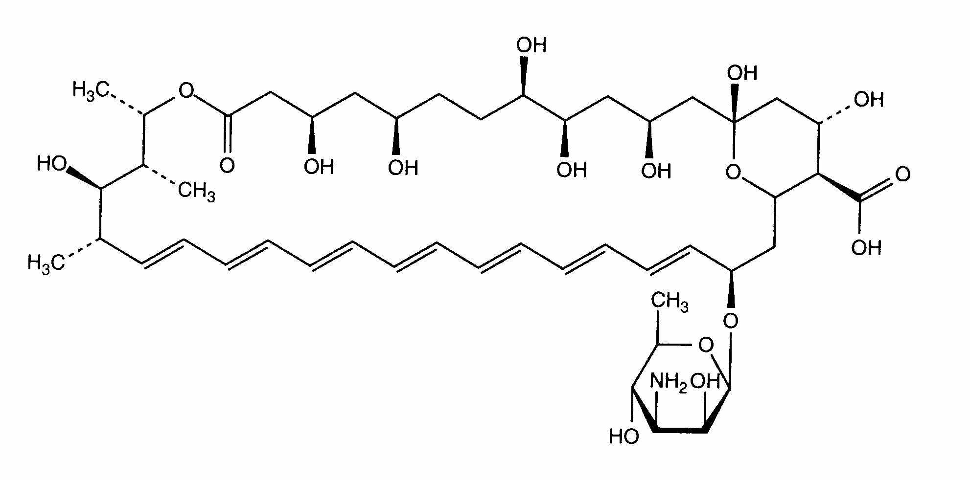
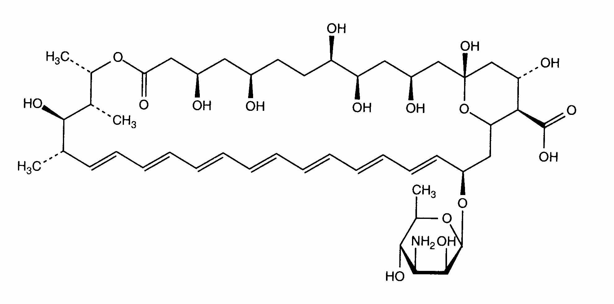
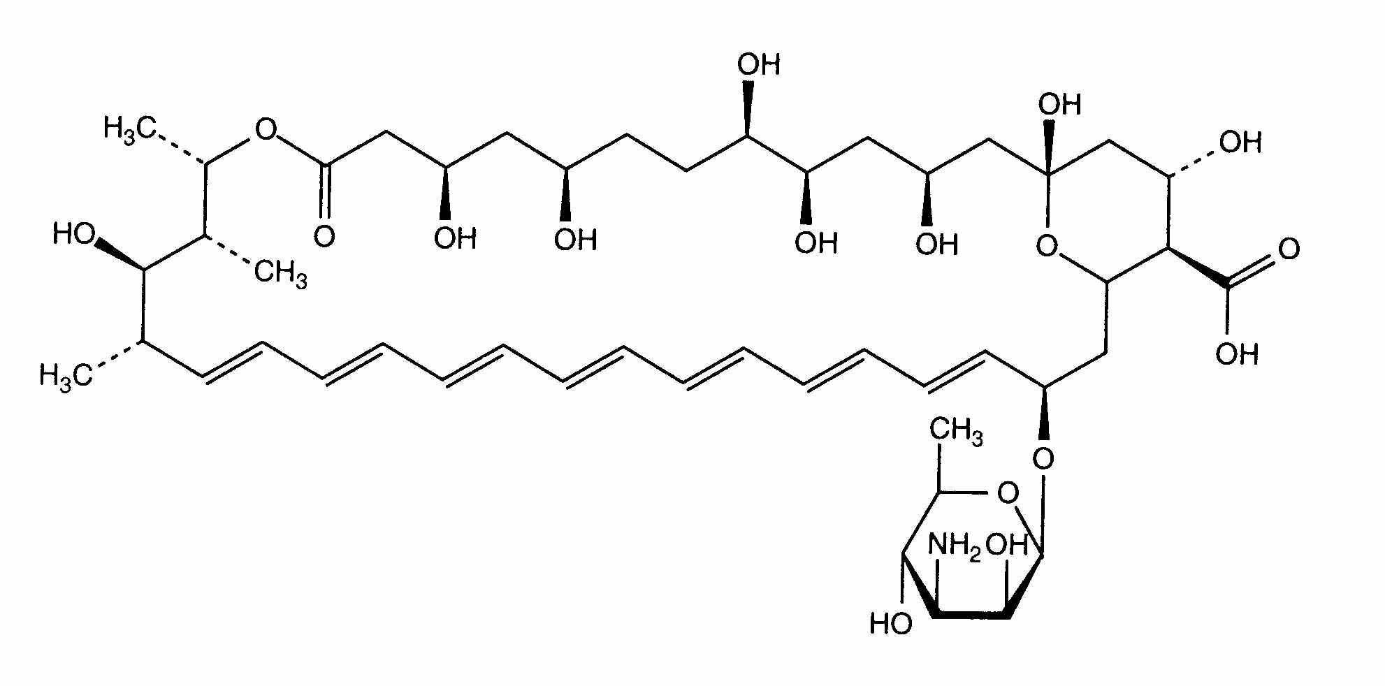
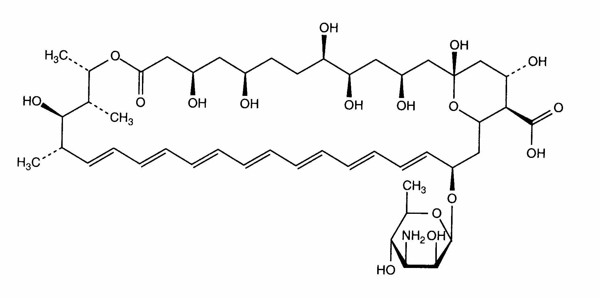
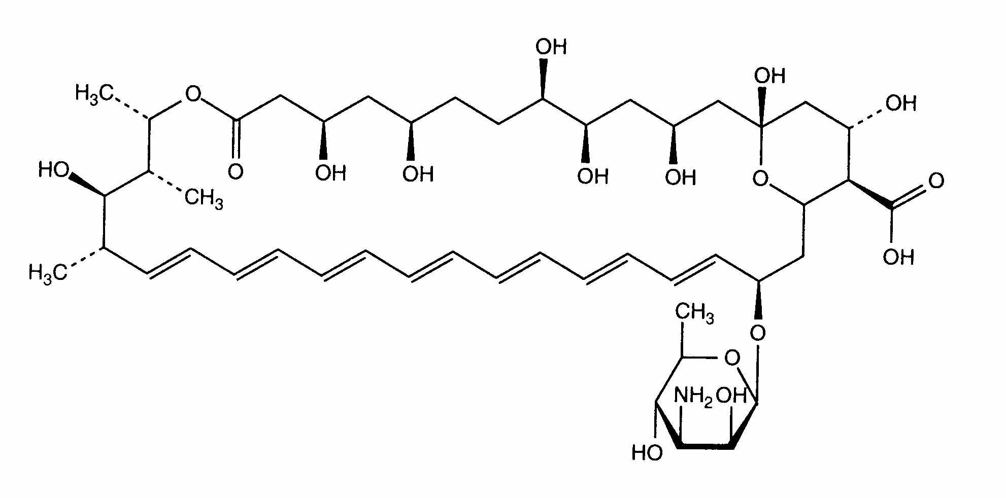
Liposoma   Struttura chimica  

Nome commerciale   Nome commerciale     

Trade names are indicative and excipients composition can be different depending on the country and manufacturers

Ambisome Arabia Saudita, Argentina, Austria, Belgio, Brasile, Canada, Chile, Danimarca, Egitto, Emirati Arabi Uniti, Finlandia, Francia, Germania, Giappone, Gran Bretagna, Grecia, India, Irlanda, Islanda, Italia, Lussemburgo, Norvegia, nuova Zelanda, Paesi Bassi, Perù, Polonia, Portogallo, Spagna, Stati Uniti d’America, Svezia, Svizzera, Tailandia, Turchia, Ungheria

Fattori che influenzano la stabilità   Iniezione   Fattori che influenzano la stabilità : Amphotericin B liposomale        
Bibliografia
Solvente Cloruro di sodio 0,9% Provoca Degradazione 3398
Solvente Acqua + sostanza batteriostatica Provoca Degradazione 3398
Temperatura 25°C Provoca Diminuzione della stabilità 4821

  Mentions Légales