Ultimele actualizari :
17/12/2025
Antifungic   Amphotericin B liposomale  
Injectabil
colir
Stabilitatea in solutie Stabilitatea in amestec Factorii care influenteaza stabilitatea Compatibilitate Microunde Bibliografie pdf
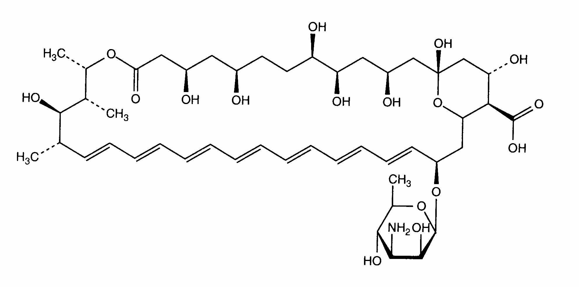
Lipozom   Formula chimica  

Denumirea comerciala   Denumirea comerciala     

Trade names are indicative and excipients composition can be different depending on the country and manufacturers

Ambisome Arabia Saudita, Argentina, Austria, Belgia, Brazilia, Canada, Chilli, Danemarca, Egipt, Elvetia, Emiratele Arabe Unite, Finlanda, Franta, Germania, Grecia, India, Irlanda, Islanda, Italia, Japonia, Luxemburg, Marea Britanie, Norvegia, noua Zeelandă, Olanda, Peru, Polonia, Portugalia, Spania, SUA, Suedia, Tailanda, Turcia, Ungaria

Factorii care influenteaza stabilitatea   Injectabil   Factorii care influenteaza stabilitatea : Amphotericin B liposomale        
Bibiografie
Solvent clorura de sodiu 0,9% Provoaca Degradare 3398
Solvent apa ppi+ agent antibacterian Provoaca Degradare 3398
Temperatura 25°C Provoaca Diminuarea stabilitatii 4821

  Mentions Légales