Última actualização :
18/03/2026
Antifúngico   Amphotericin B liposomale  
injetável
solução oftálmica
Estabilidade em soluções simples Estabilidade em misturas Factores que afectam a sua estabilidade Compatibilidade Método de administração Bibliografía pdf
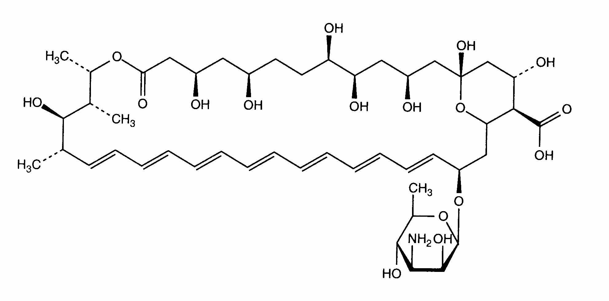
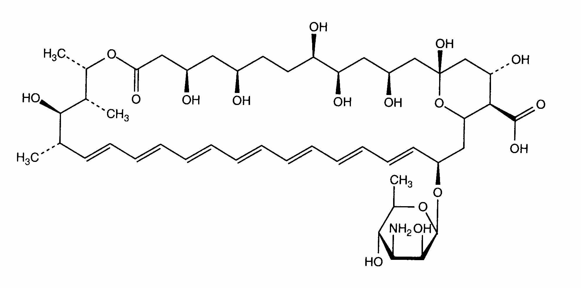
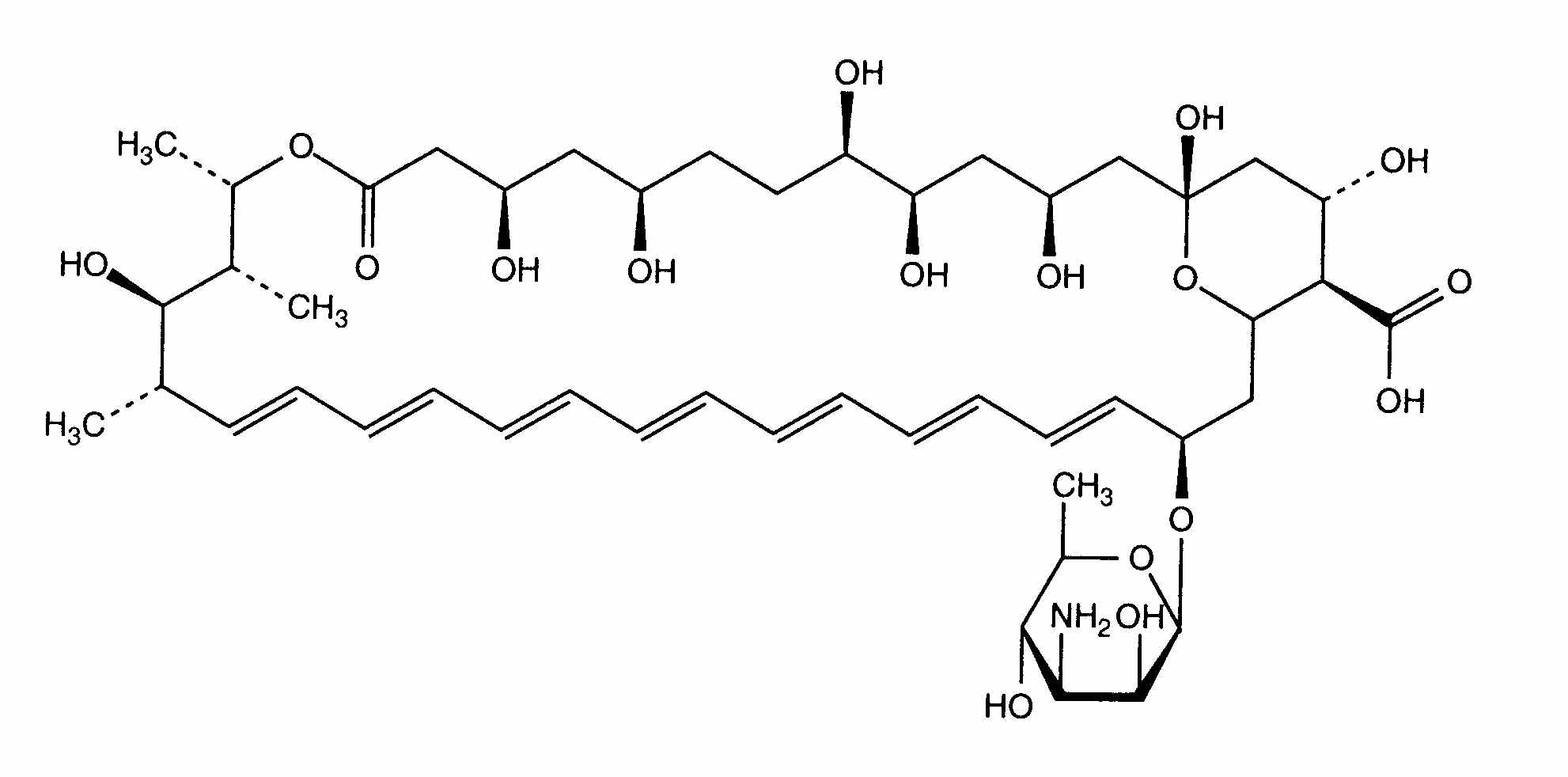
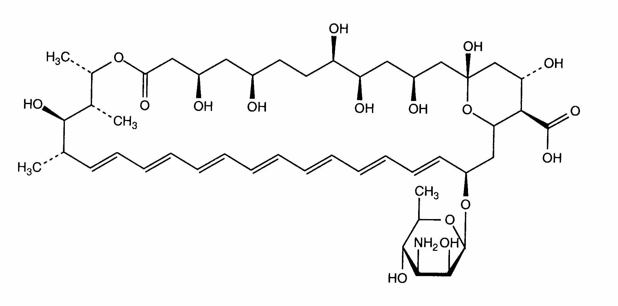
Liposoma   estrutura química  

Nomes comerciais nos diversos países   Nomes comerciais nos diversos países     

OS NOMES COMERCIAIS SÃO INDICATIVOS E OS EXCIPIENTES DA FORMULAÇÃO PODEM SER DIFERENTES CONFORME O PAÍS E FABRICANTE.

Ambisome Alemanha, Arábia Saudita, Argentina, Austria, Bélgica, Brasil, Canadá, Chilli, Dinamarca, Egipto, Emirados Árabes Unidos, Espanha, Estados Unidos de América, Finlandia, França, Gran-bretanha, Grècia, Hungria, Índia, Irlanda, Islandia, Itália, Japón, Luxemburgo, Noruega, nova Zelândia, Países Baixos, Peru, Polonia, Portugal, Suècia, Suicia, Tailandia, Turquia

Factores que afectam a sua estabilidade   injetável   Factores que afectam a sua estabilidade : Amphotericin B liposomale        
Bibliografia
Solvente cloreto de sódio 0,9% Provoca Degradação 3398
Solvente Agua+bacteriostático Provoca Degradação 3398
temperatura 25°C Provoca Diminuição da estabilidade 4821

  Mentions Légales