Останнє оновлення :
18/03/2026
Протигрибковий   Amphotericin B liposomale  
ін'єкція
Очні краплі
Стійкість в розчинах Стійкість сумішей Фактори, що впливають на стабільність Сумісність Шлях введення Список літератури pdf
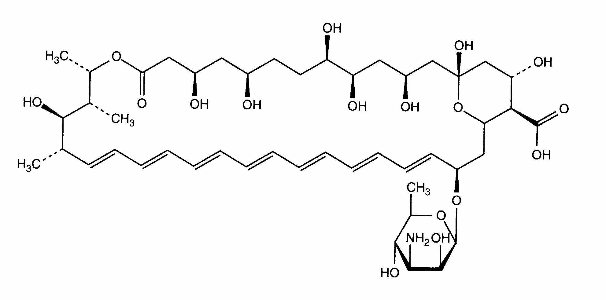
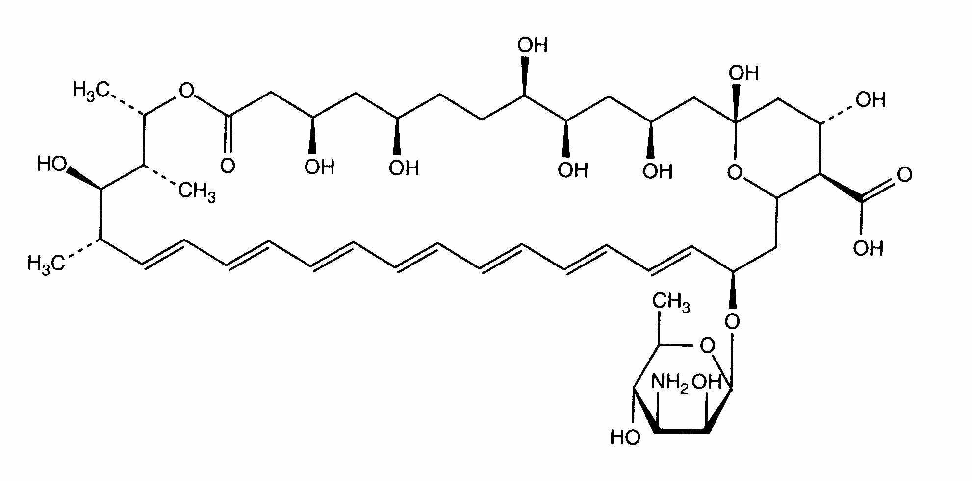
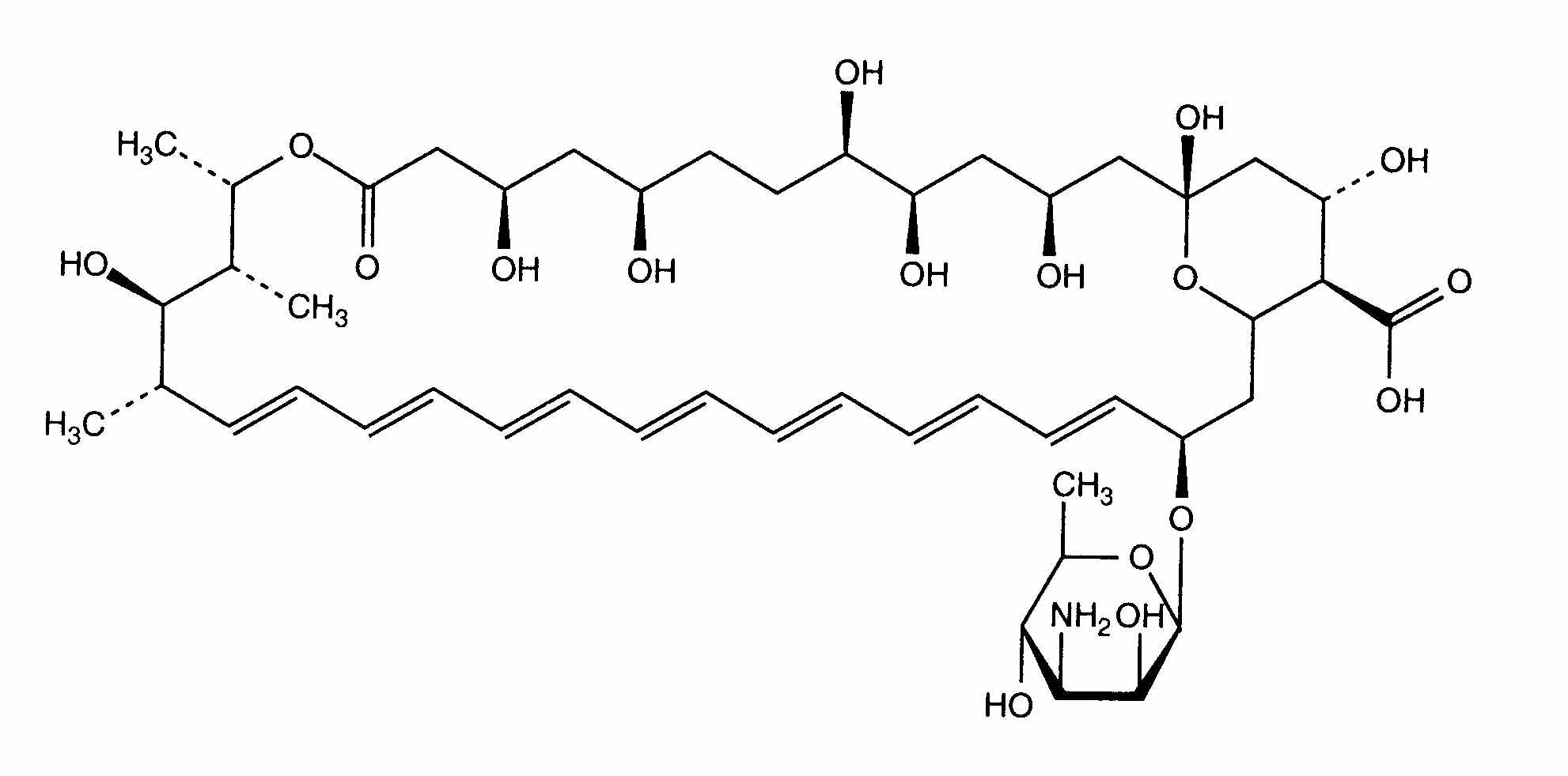
Ліпосома   Хімічна структура  

Торгова назва   Торгова назва     

Торгові назви є орієнтовними, а склад допоміжних речовин може бути різним залежно від країни та виробника

Ambisome Єгипет, Індія, Ірландія, Ісландія, Іспанія, Італія, Австрія, Аргентина, Бельгія, Бразилія, Великобританія, Греція, Данія, Канада, Люксембург, Нідерланди, Німеччина, Нова Зеландія, Норвегія, Об'єднані Арабські Емірати, Перу, Польща, Португалія, Саудівська Аравія, Сполучені Штати Америки, Таїланд, Туреччина, Угорщина, Фінляндія, Франція, Чилі, Швейцарія, Швеція, Японія

Фактори, що впливають на стабільність   ін'єкція   Фактори, що впливають на стабільність : Amphotericin B liposomale        
Список літератури
Розчинник Натрію хлорид 0,9% Спонукає хімічна деградація 3398
Розчинник Вода для ін'єкцій + антибактеріальний засіб Спонукає хімічна деградація 3398
температура 25°C Спонукає Знижена стійкість 4821

  Mentions Légales