Senaste uppdateringen :
18/03/2026
Antimykotikum   Amphotericin B liposomale  
injektion
ögondroppar
Lösningars stabilitet Stabilitet i blandningar Faktorer som påverkar stabiliteten Kompatibilitet Administreringssätt Hänvisningar pdf
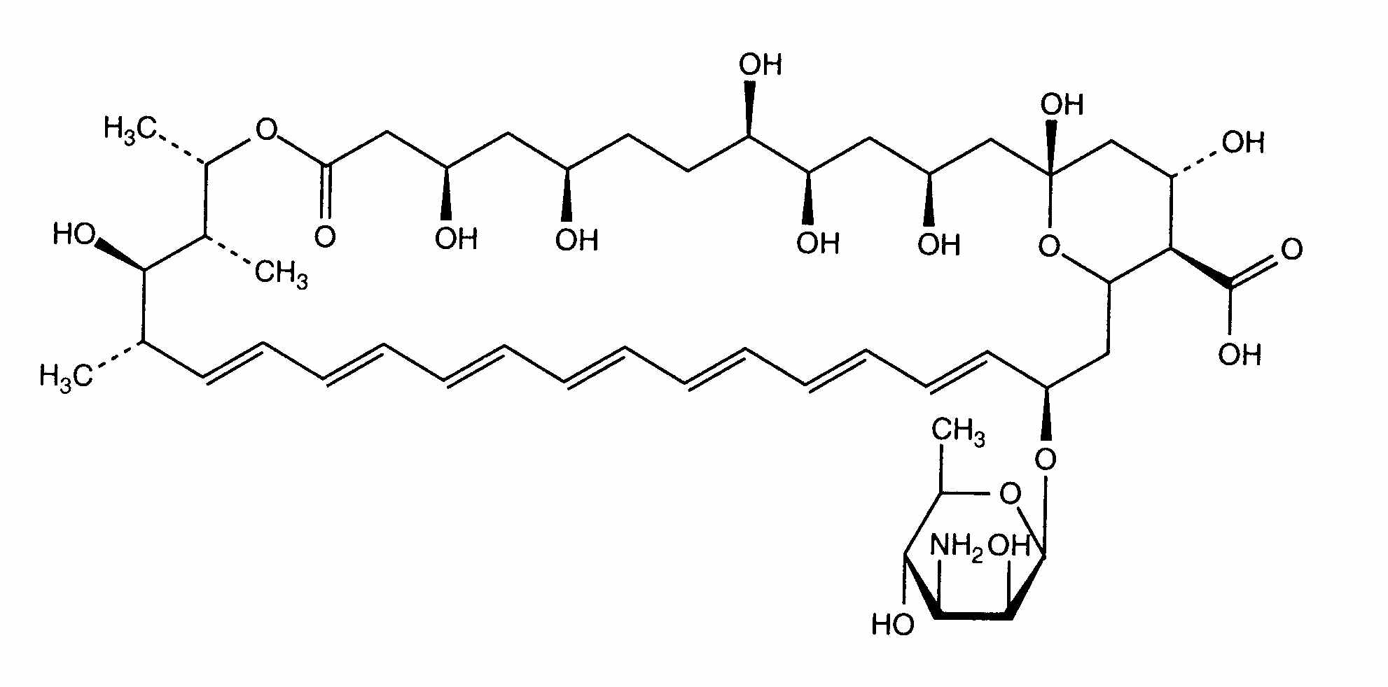
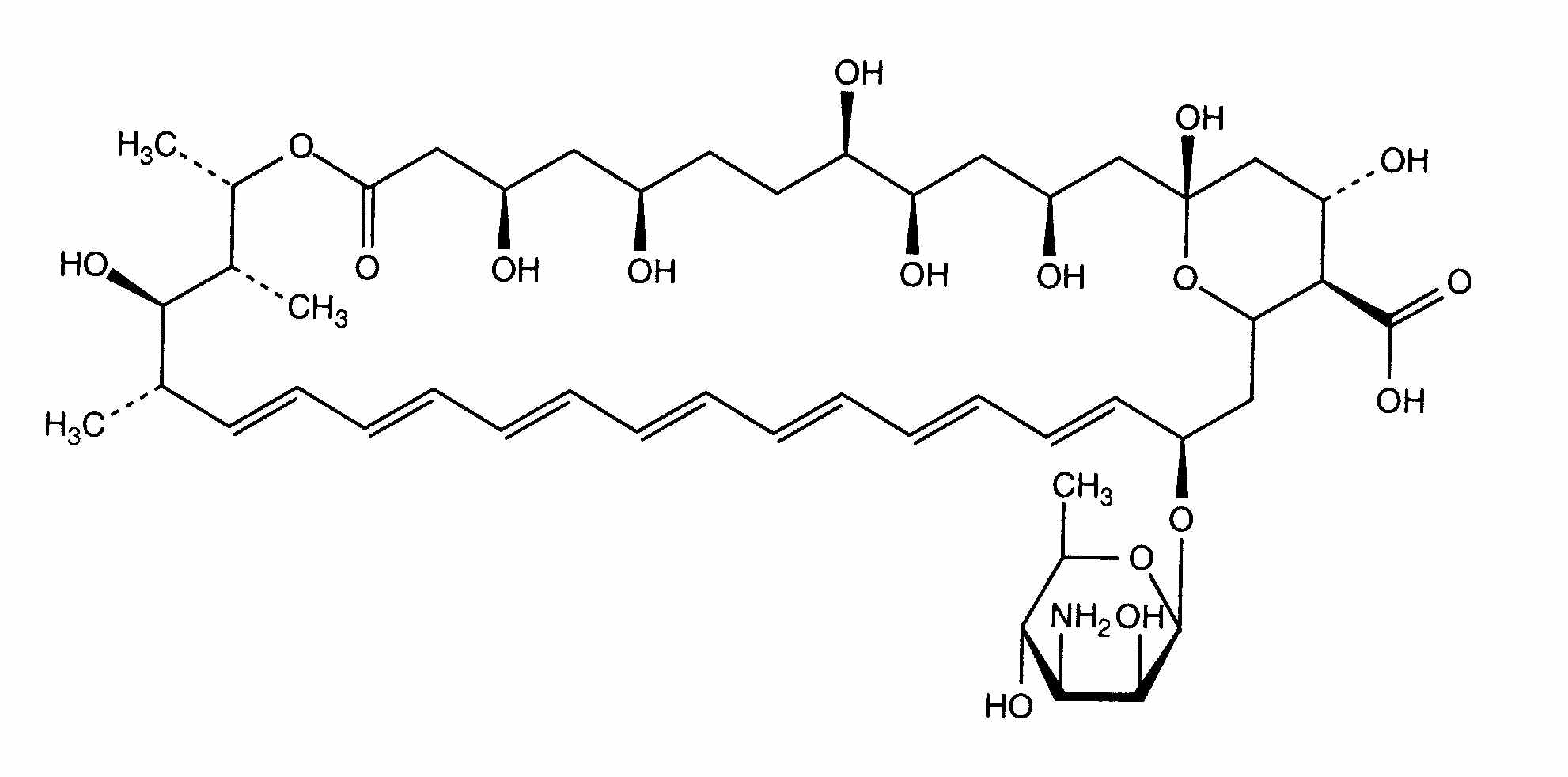
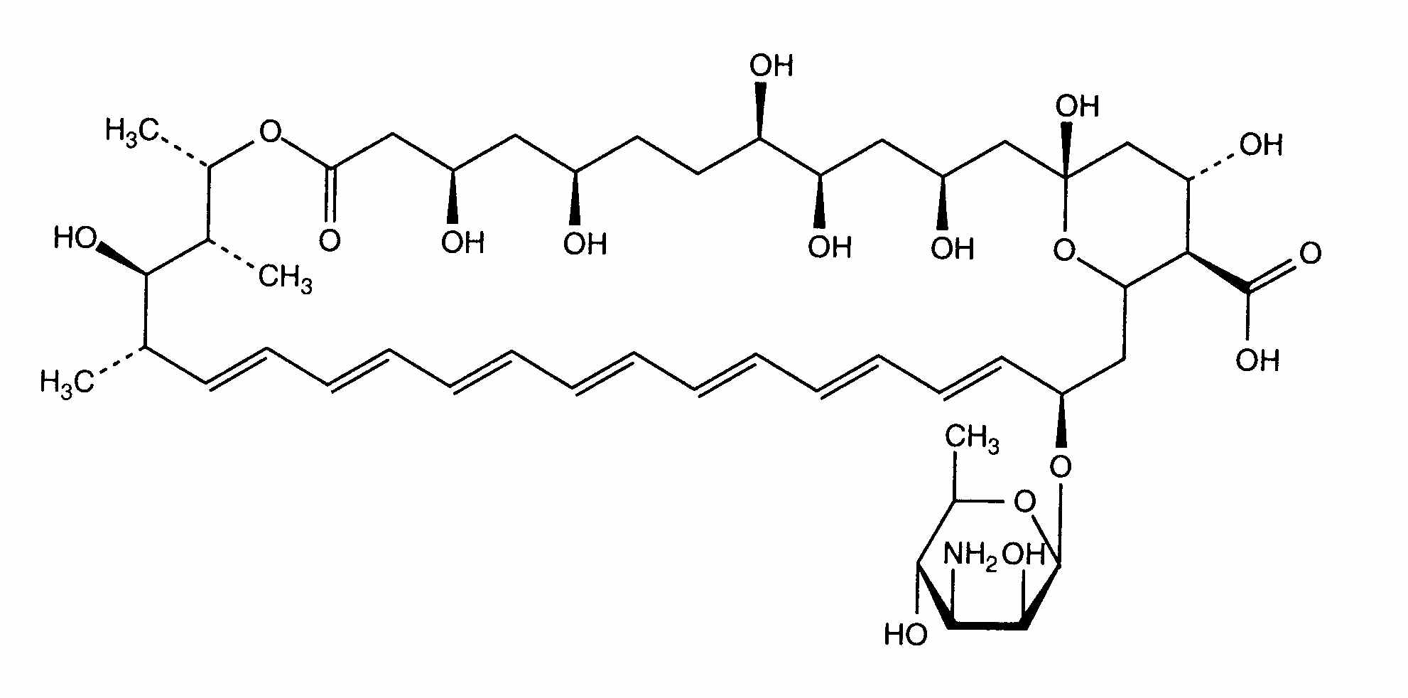
Liposom   Molekylstruktur  

Varunamn   Varunamn     

Angivna handelsnamn på läkemedel är enbart vägledande då formulering inklusive hjälpämnen kan variera mellan länder och tillverkare

Ambisome Argentina, Belgien, Brasilien, Chile, Danmark, Egypten, Finland, Förenade Arabemiraten, Förenta Staterna, Frankrike, Grekland, Indien, Irland, Island, Italien, Japan, Kanada, Luxemburg, Nederländerna, Norge, nya Zeeland, Österrike, Peru, Polen, Portugal, Saudi-Arabien, Schweiz, Spanien, Storbritannien, Sverige, Thailand, Turkiet, Tyskland, Ungern

Faktorer som påverkar stabiliteten   injektion   Faktorer som påverkar stabiliteten : Amphotericin B liposomale        
Hänvisningar
Lösningsmedel Natriumklorid 0,9 % Orsakar Nedbrytning 3398
Lösningsmedel Vatten för injektion + bakteriostatisk substans Orsakar Nedbrytning 3398
Temperatur 25°C Orsakar Minskad stabilitet 4821

  Mentions Légales