Cập nhật lần cuối :
18/03/2026
Thuốc chống nấm   Amphotericin B liposomale  
Dạng tiêm
Thuốc nhỏ mắt
Tính ổn định của các dung dịch Độ ổn định khi trộn lẫn Những yếu tố ảnh hưởng đến độ ổn định Khả năng tương thích Đường dùng Tài liệu tham khảo Pdf
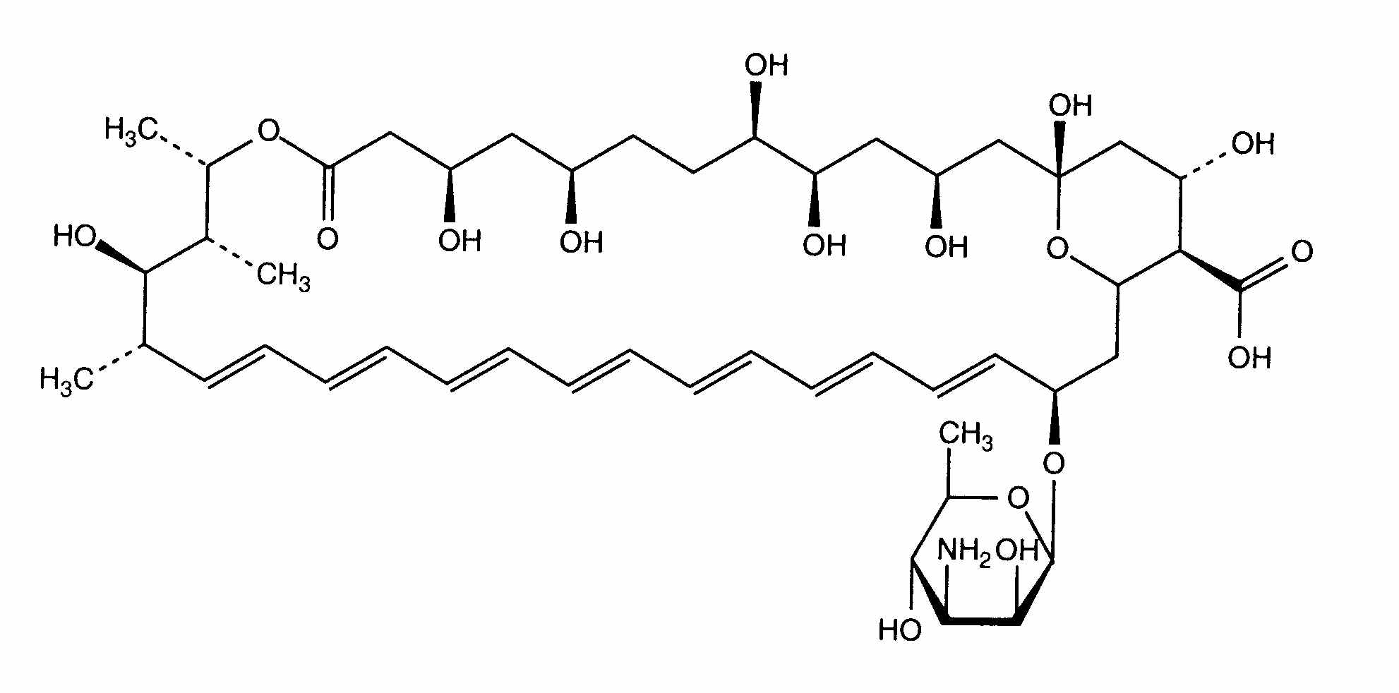
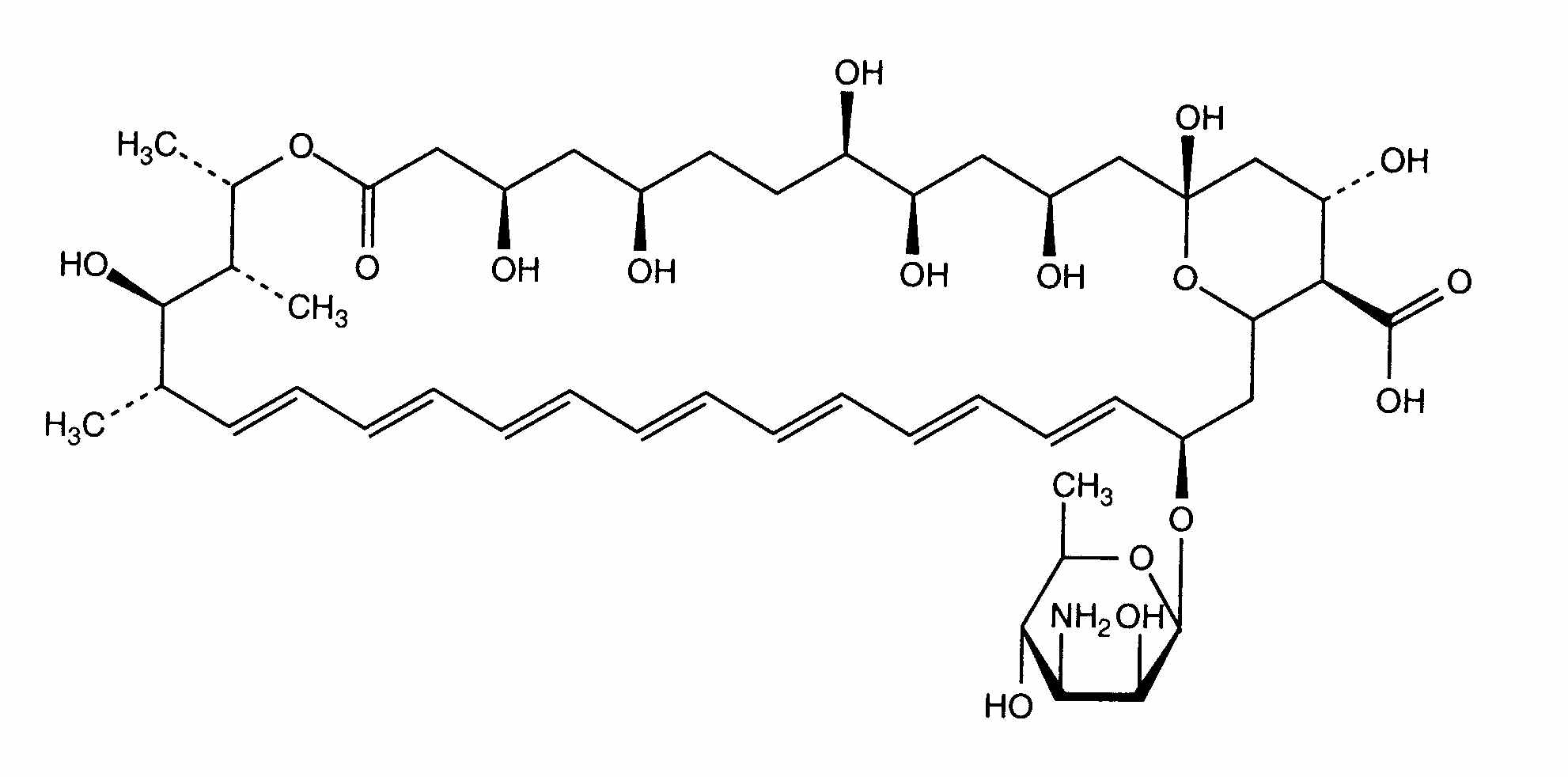
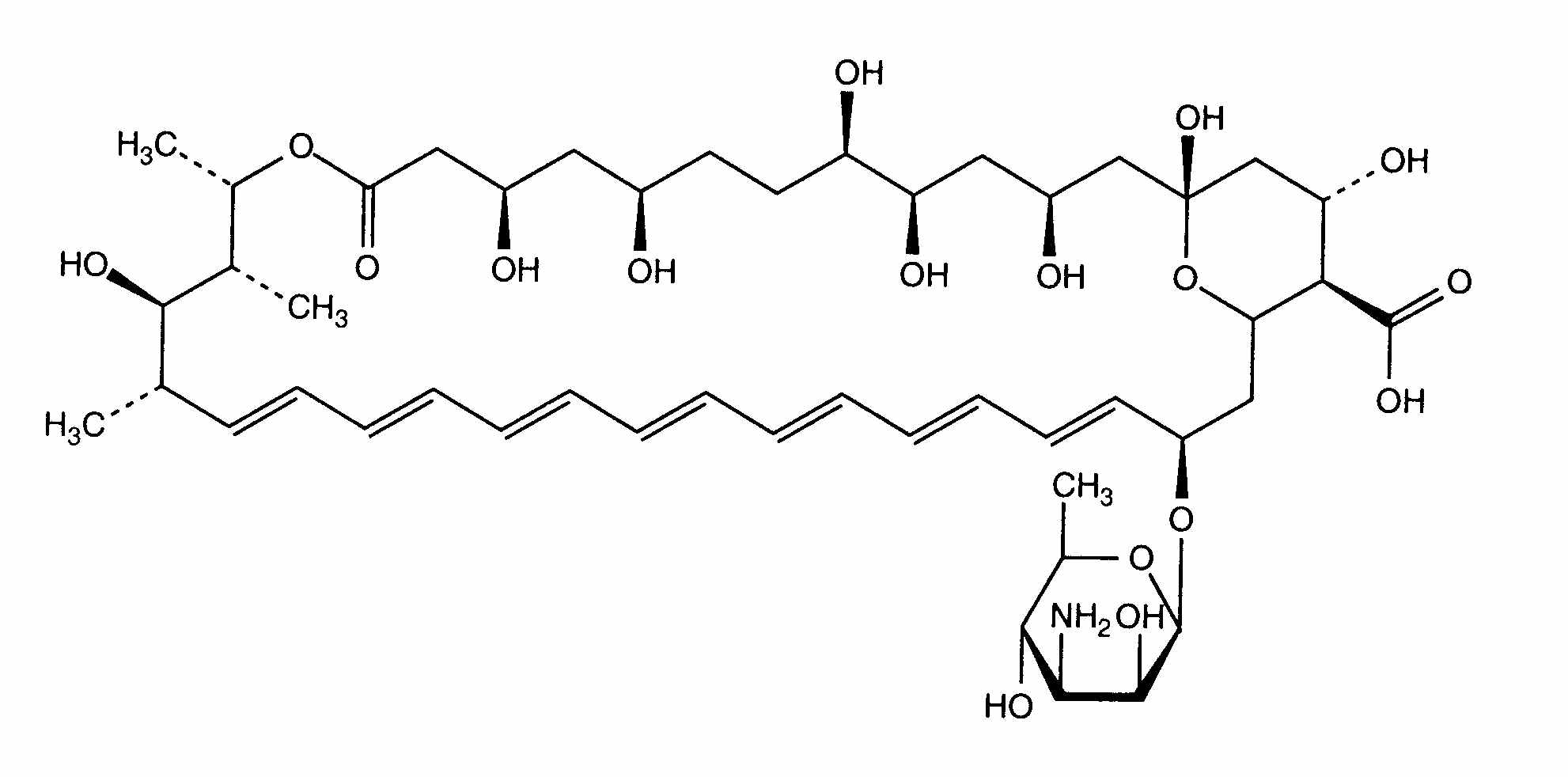
Liposome   Cấu trúc hóa học  

Tên thương mại   Tên thương mại     

Các tên thương mại được cung cấp và thành phần tá dược có thể khác nhau giữa các quốc gia và các hãng dược

Ambisome Ả Rập, Ả Rập Saudi, Ấn Độ, Anh, Áo, Argentina, Ba Lan, Bỉ, Bồ Đào Nha, Brazil, Canada, Chile, Hà Lan, Hoa Kỳ, Hungary, Hy Lạp, Iceland, Ireland, Luxembourg, Na Uy, new zealand, Nhật, Peru, Phần Lan, Pháp, Tây Ban Nha, Thái Lan, Thổ Nhĩ Kỳ, Thụy Sỹ, Thụy Điển, United Arab Emirates, Ý, Đan Mạch, Đức

Những yếu tố ảnh hưởng đến độ ổn định   Dạng tiêm   Những yếu tố ảnh hưởng đến độ ổn định : Amphotericin B liposomale        
Mục lục
Dung môi NaCl 0,9% Tạo thành Phân hủy 3398
Dung môi Nước cất pha tiêm + chất kháng khuẩn Tạo thành Phân hủy 3398
Nhiệt độ 25°C Tạo thành Giảm độ ổn định 4821

  Mentions Légales