Última actualización :
27/11/2025
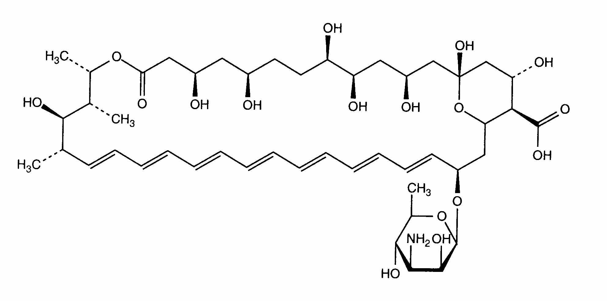
Antifúngico   Amphotericin B   
Solución Oral
Aerosol Enjuagues bucales Gotas oculares Inyectables
La estabilidad de las preparaciones farmacéuticas Estabilidad en mezcla Factores que influyen sobre la estabilidad Compatibilidades Bibliografía pdf
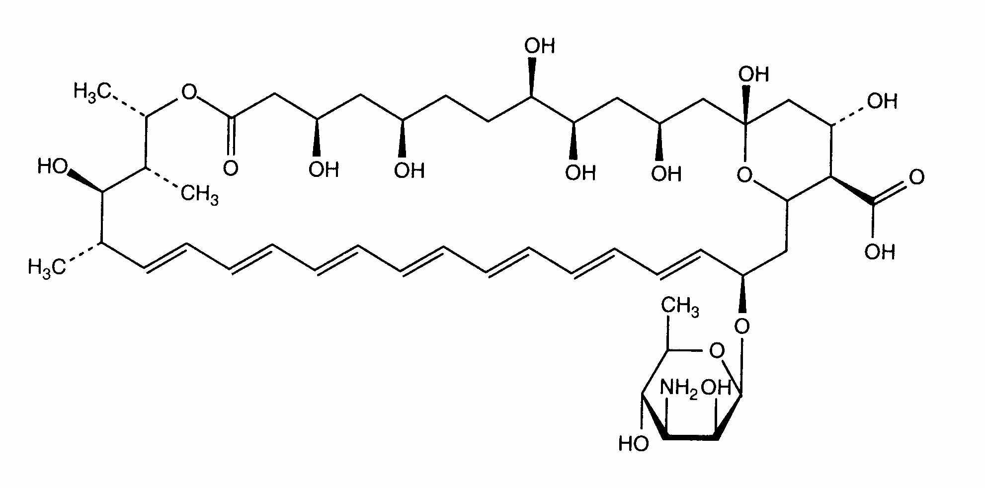
   Estructura química  

Solución Oral
La estabilidad de las preparaciones farmacéuticas   Solución Oral   La estabilidad de las preparaciones farmacéuticas : Amphotericin B      
Envase Origine Excipiente Temperatura Conservación Duración de la estabilidad Bibliografía
Botella de plástico Polvo 30 g
Amphotericin B
Na2HPO4 4.77 g
NaH2PO4 2.88 g
Benzoato de sodio 300 mg
Metabisulfito de sodio 450 mg
ácido cítrico 2.25 g
Carboximetilcelulosa 1% 37.5 ml
Metilparabeno 300 mg
Propilparabeno 60 mg
Sabor a cereza 1.2 ml
Propilenglicol 3 ml
ácido cítrico >> pH 4.3
Agua purificada >> 300 ml
22-25°C A cubierto de la luz
93 Día
2940


  Mentions Légales