最新更新 :
27/11/2025
抗真菌薬   Amphotericin B   
経口液
エアロゾル 含嗽薬 注射薬 点眼薬
調剤時の安定性 混合時の安定性 安定性に影響する因子 互換性 引用文献 PDF
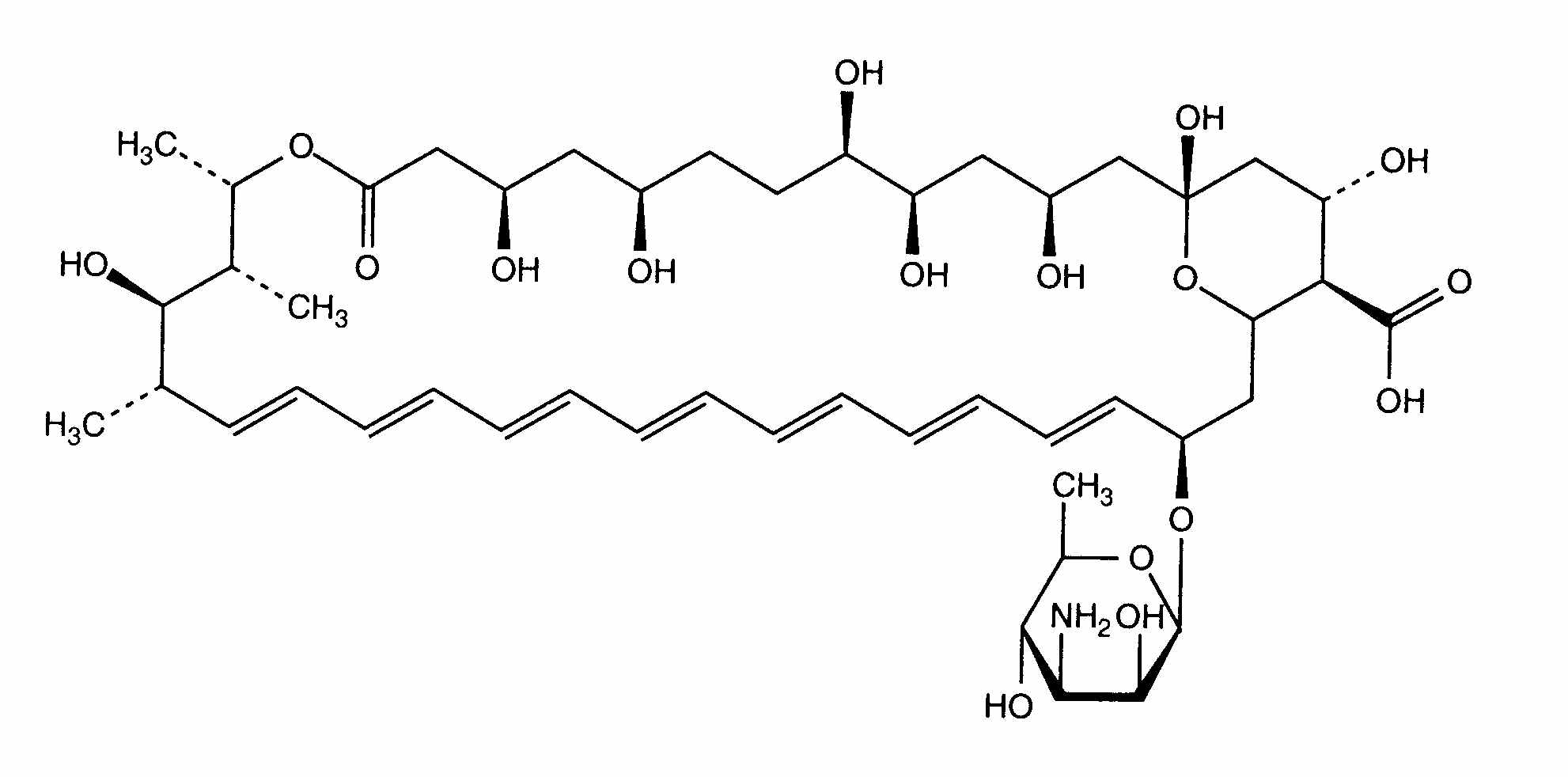
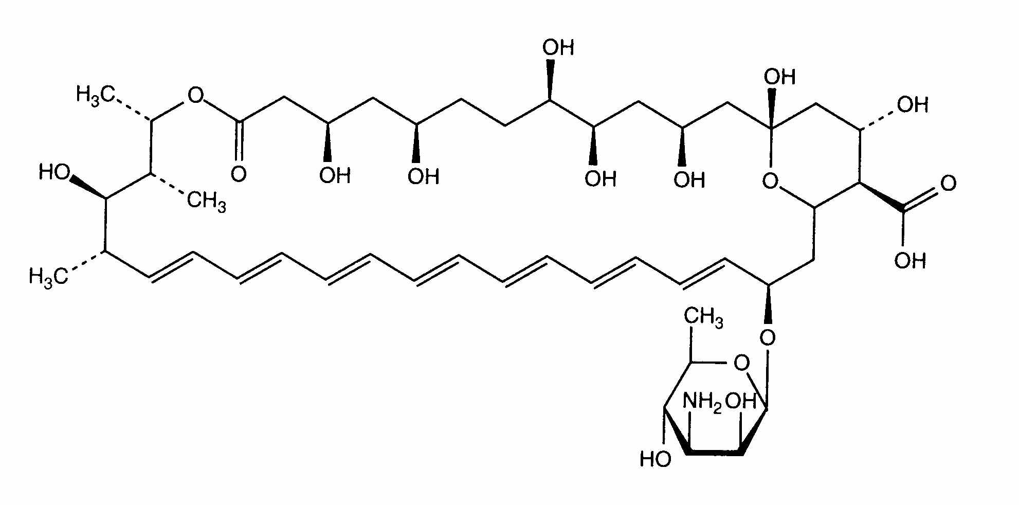
   化学構造  

経口液
調剤時の安定性   経口液   調剤時の安定性 : Amphotericin B      
容器 Origine 添加剤 温度 保管 安定期間 引用文献
プラスチックボトル 粉 30 g
Amphotericin B
Na2HPO4 4.77 g
NaH2PO4 2.88 g
安息香酸ナトリウム 300 mg
メタ重亜硫酸ナトリウム 450 mg
クエン酸 2.25 g
カルボキシメチルセルロース 1% 37.5 ml
メチルパラベン 300 mg
プロピルパラベン 60 mg
チェリー風味 1.2 ml
プロピレングリコール 3 ml
クエン酸 >> pH 4.3
精製水 >> 300 ml
22-25°C 遮光
93 日
2940


  Mentions Légales