Posledná aktualizácia :
17/12/2025
antimykotikum   Amphotericin B   
Perorálny roztok
Aerosól Injekcia Kloktadlo Očná instilácia
Stabilita farmaceutických prípravkov Stabilita v zmesiach Faktory ovplyvňujúce stabilitu Kompatibility Odkazy na literatúru PDF
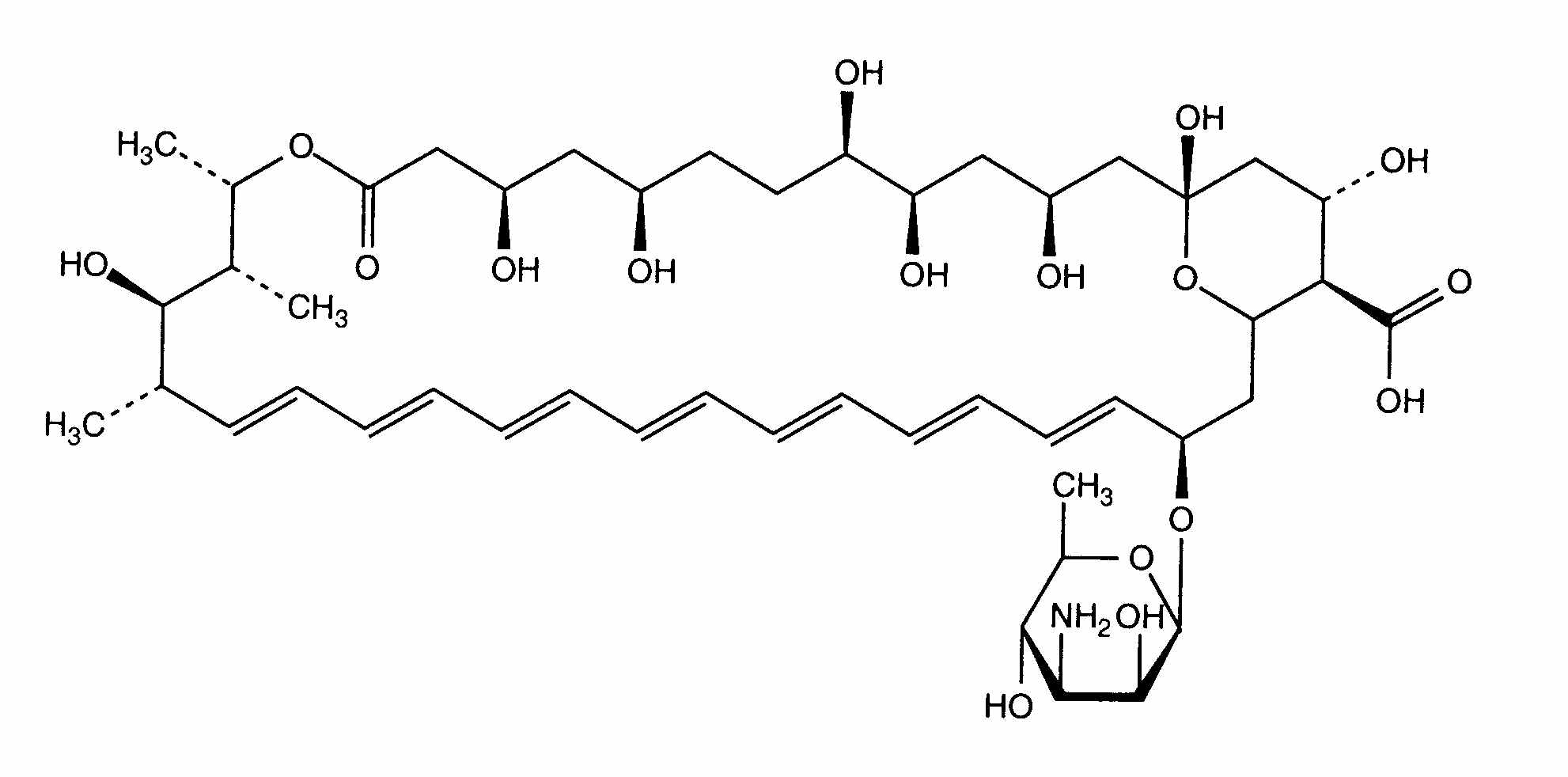
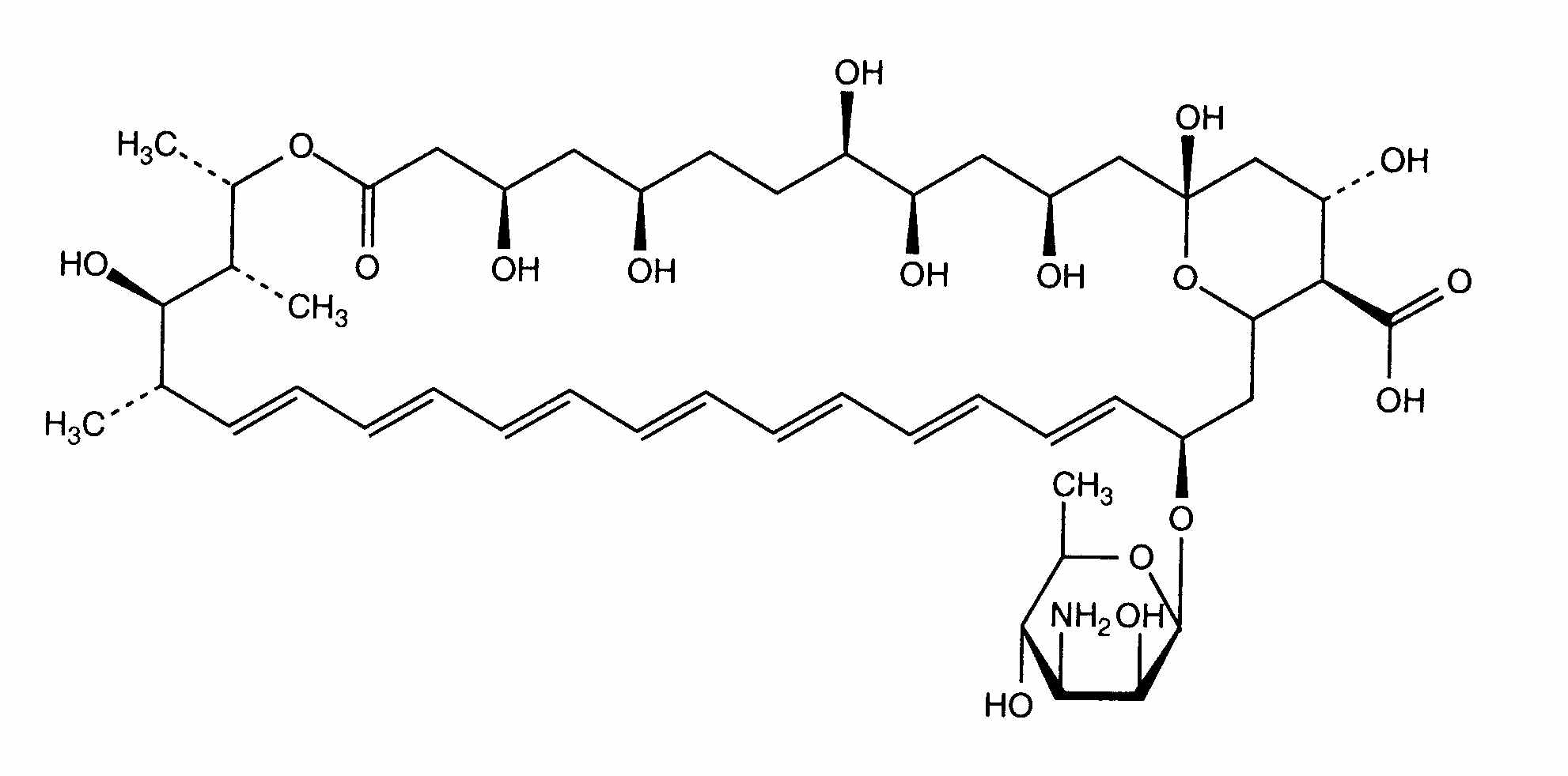
   Chemický vzorec  

Perorálny roztok
Stabilita farmaceutických prípravkov   Perorálny roztok   Stabilita farmaceutických prípravkov : Amphotericin B      
obal Pôvod Pomocná látka teplota uchovávanie Trvanie stability odkazy na lieteratúru
Plastová fľaša Prášok 30 g
Amphotericin B
Na2HPO4 4.77 g
NaH2PO4 2.88 g
Nátriumbenzoát 300 mg
Disiričitan sodný 450 mg
Kyselina citrónová 2.25 g
Karboxymetylcelulóza 1% 37.5 ml
Metylparabén 300 mg
Propylparabén 60 mg
Čerešňová príchuť 1.2 ml
Propylénglykol 3 ml
Kyselina citrónová >> pH 4.3
Čistená voda >> 300 ml
22-25°C Chránené pred svetlom
93 dní
2940


  Mentions Légales