Последнее обновление :
17/12/2025
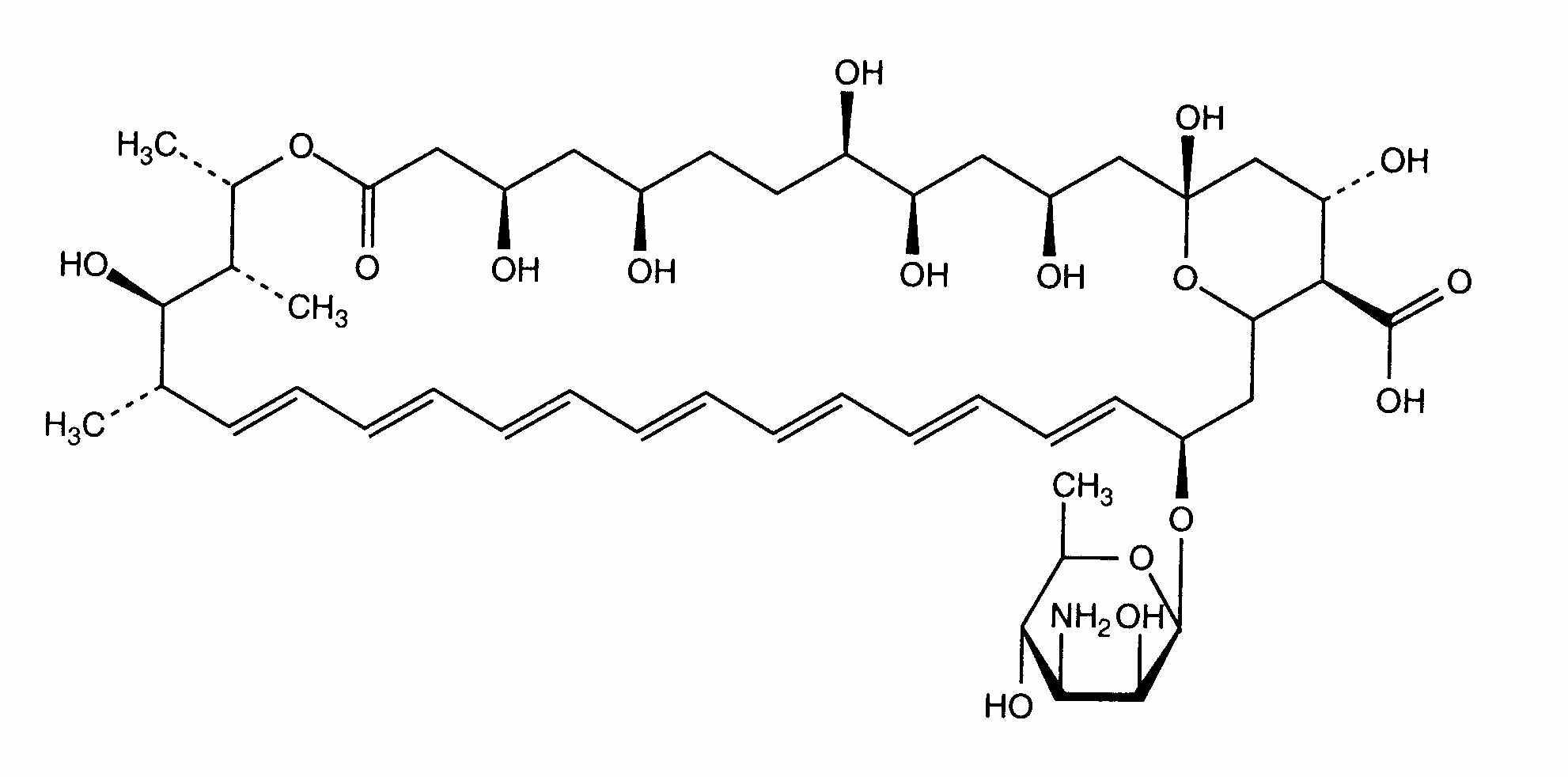
Противогрибковое средство   Amphotericin B   
Раствор для перорального приёма
Аэрозоль Глазные капли Инъекция Ополаскиватель для полости рта
Стабильность фармацевтических препаратов Стабильность смесей Факторы, которые влияют на стабильность Совместимость Библиография pdf
   Химическая структура  

Раствор для перорального приёма
Стабильность фармацевтических препаратов   Раствор для перорального приёма   Стабильность фармацевтических препаратов : Amphotericin B      
Упаковка Origine Наполнитель Температура Хранение Продолжительность стабильности Ссылки
Пластиковая бутылка Порошок 30 g
Amphotericin B
Na2HPO4 4.77 g
NaH2PO4 2.88 g
Бензоат натрия 300 mg
Метабисульфит натрия 450 mg
Лимонная кислота 2.25 g
Карбоксиметилцеллюлоза 1% 37.5 ml
Метилпарабен 300 mg
Пропилпарабен 60 mg
Вишневый ароматизатор 1.2 ml
Пропиленгликоль 3 ml
Лимонная кислота >> pH 4.3
Очищенная вода >> 300 ml
22-25°C Защищён от света
93 День
2940


  Mentions Légales