Ultimele actualizari :
27/11/2025
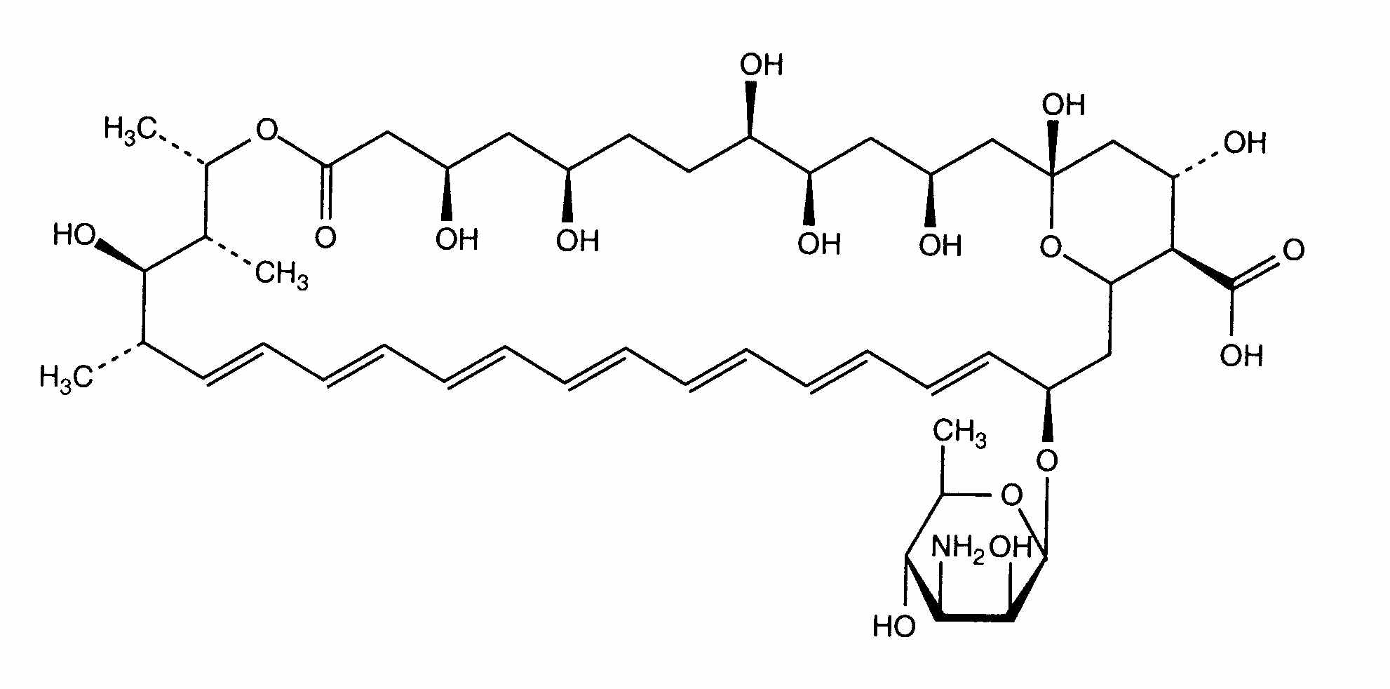
Antifungic   Amphotericin B   
Soluţie orală
Aerosol colir Gargara Injectabil
Stabilitatea preparatelor farmaceutice Stabilitatea in amestec Factorii care influenteaza stabilitatea Compatibilitate Bibliografie pdf
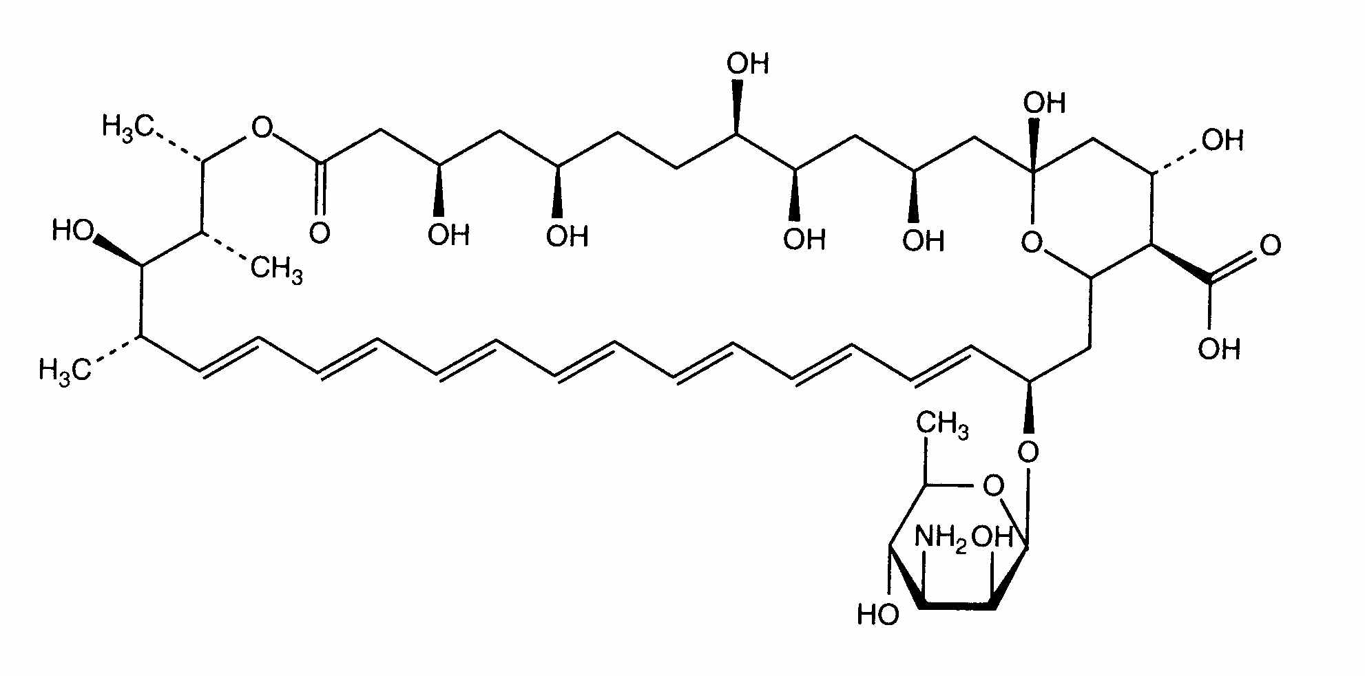
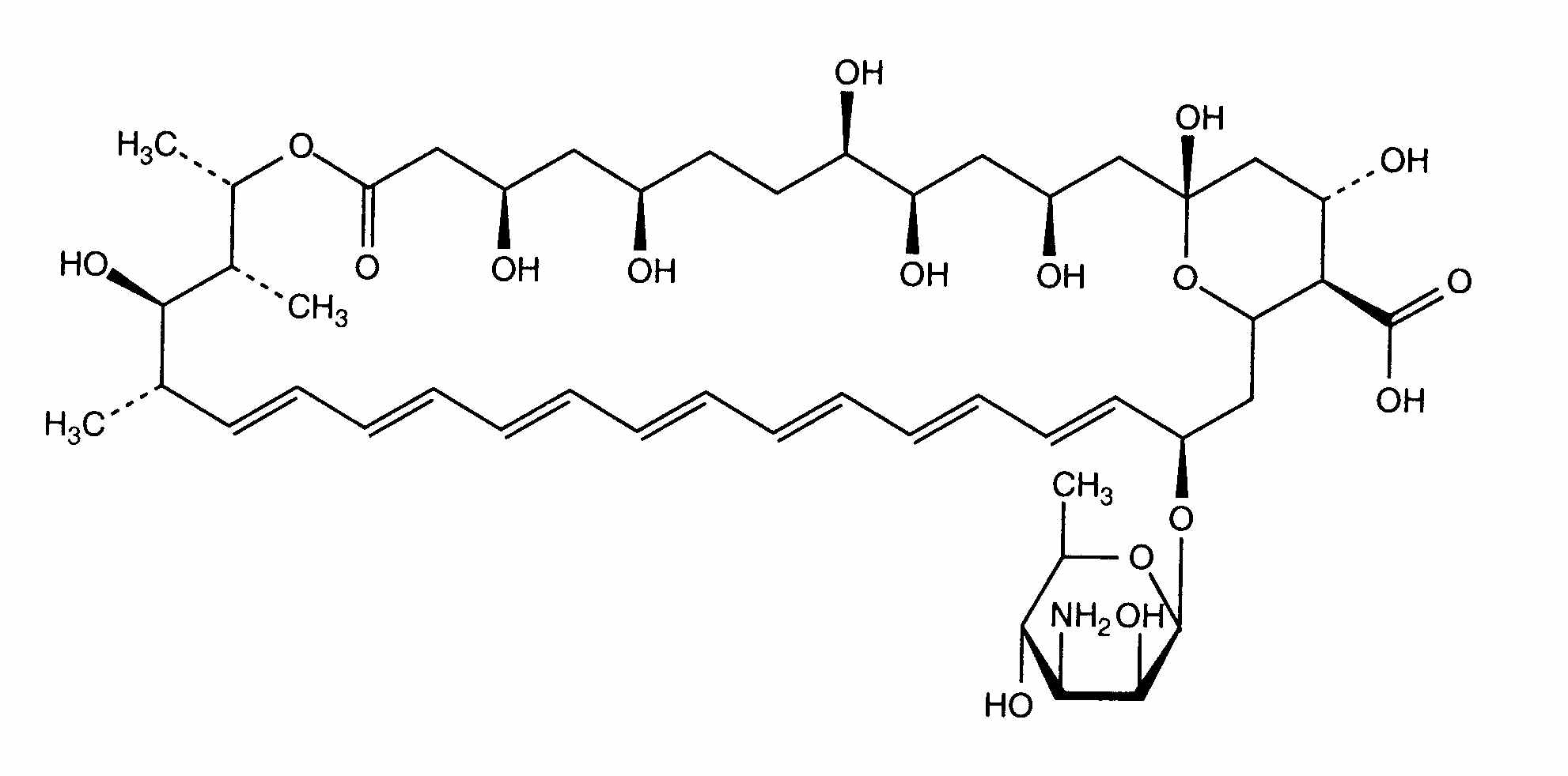
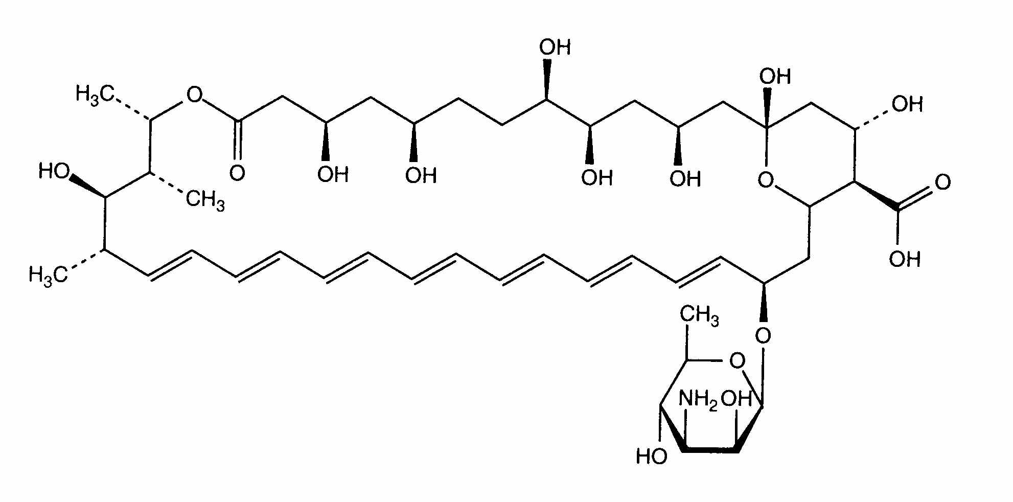
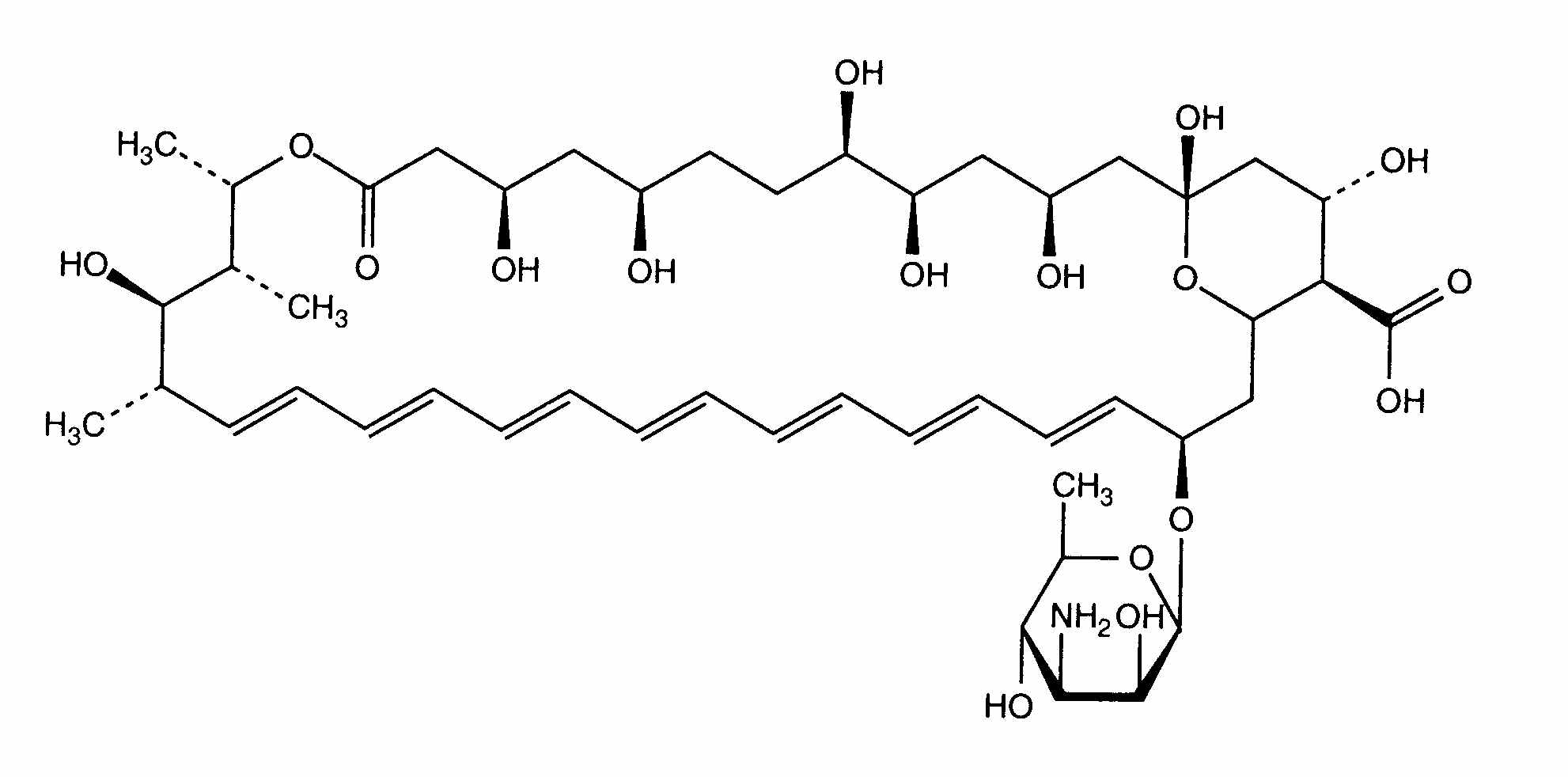
   Formula chimica  

Soluţie orală
Stabilitatea preparatelor farmaceutice   Soluţie orală   Stabilitatea preparatelor farmaceutice : Amphotericin B      
Continut Origine Excipient Temperatura Conservare Durata stabilității Bibiografie
Sticla din plastic praf 30 g
Amphotericin B
Na2HPO4 4.77 g
NaH2PO4 2.88 g
benzoat de sodiu 300 mg
Metabisulfit de sodiu 450 mg
acid citric 2.25 g
Carboximetilceluloză 1% 37.5 ml
metilparaben 300 mg
propilparaben 60 mg
Aromă de cireşe 1.2 ml
propilen glicol 3 ml
acid citric >> pH 4.3
Apă purificată >> 300 ml
22-25°C Ferit de lumina
93 Ziua
2940


  Mentions Légales