Последнее обновление :
17/12/2025
Противогрибковое средство   Amphotericin B   
Раствор для перорального приёма
Аэрозоль Глазные капли Инъекция Ополаскиватель для полости рта
Стабильность фармацевтических препаратов Стабильность смесей Факторы, которые влияют на стабильность Совместимость Библиография pdf
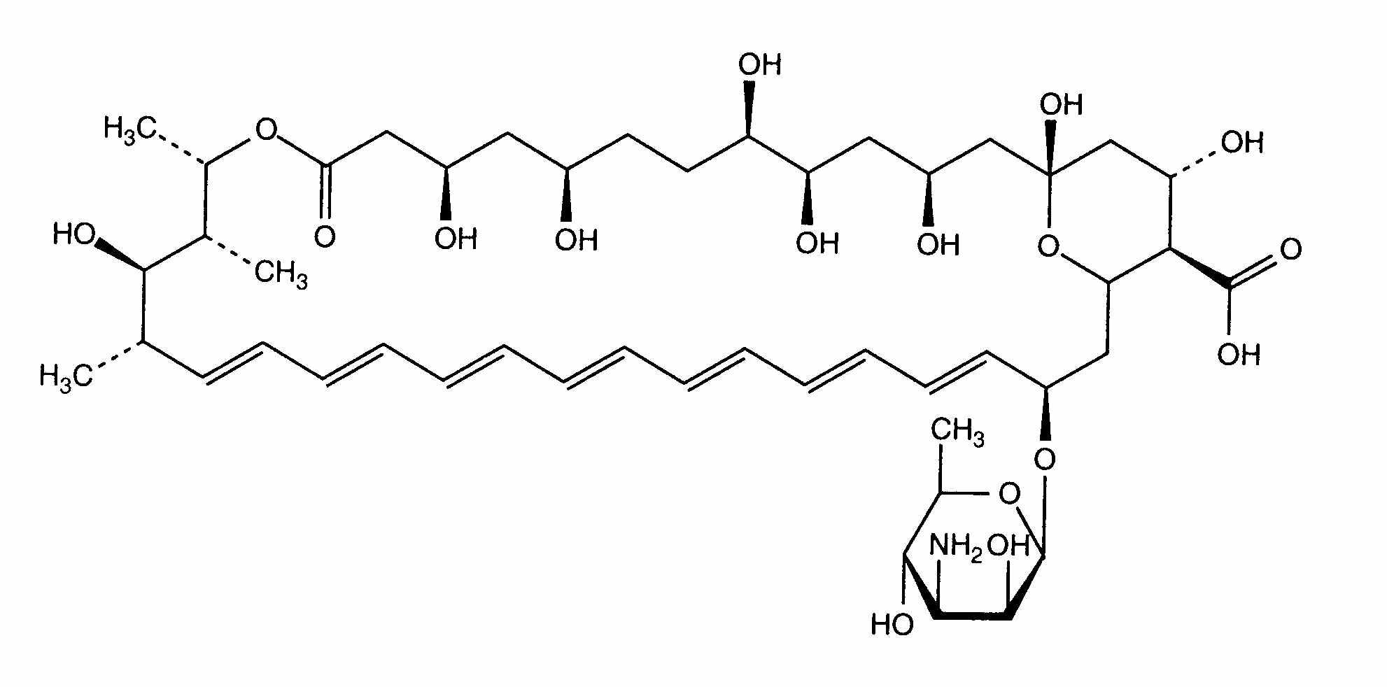
   Химическая структура  

Раствор для перорального приёма

Факторы, которые влияют на стабильность   Раствор для перорального приёма   Факторы, которые влияют на стабильность : Amphotericin B         
данных нет

  Mentions Légales