Zadnji put ažurirano :
27/11/2025
antifungicid   Amphotericin B   
oralna otopina
aerosol injekcija kapi za oko otopina za ispiranje usne šupljine
Stabilnost farmaceutskih pripravaka Stabilnost mješavine Stabilizacijski faktor Kompatibilnosti Bibliografija pdf
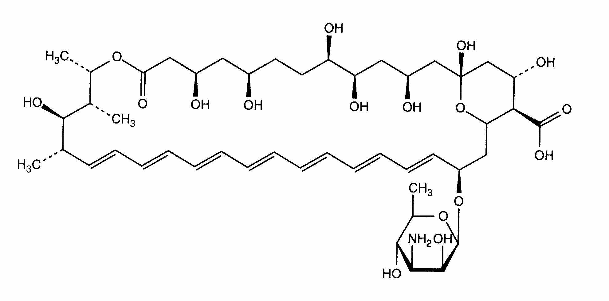
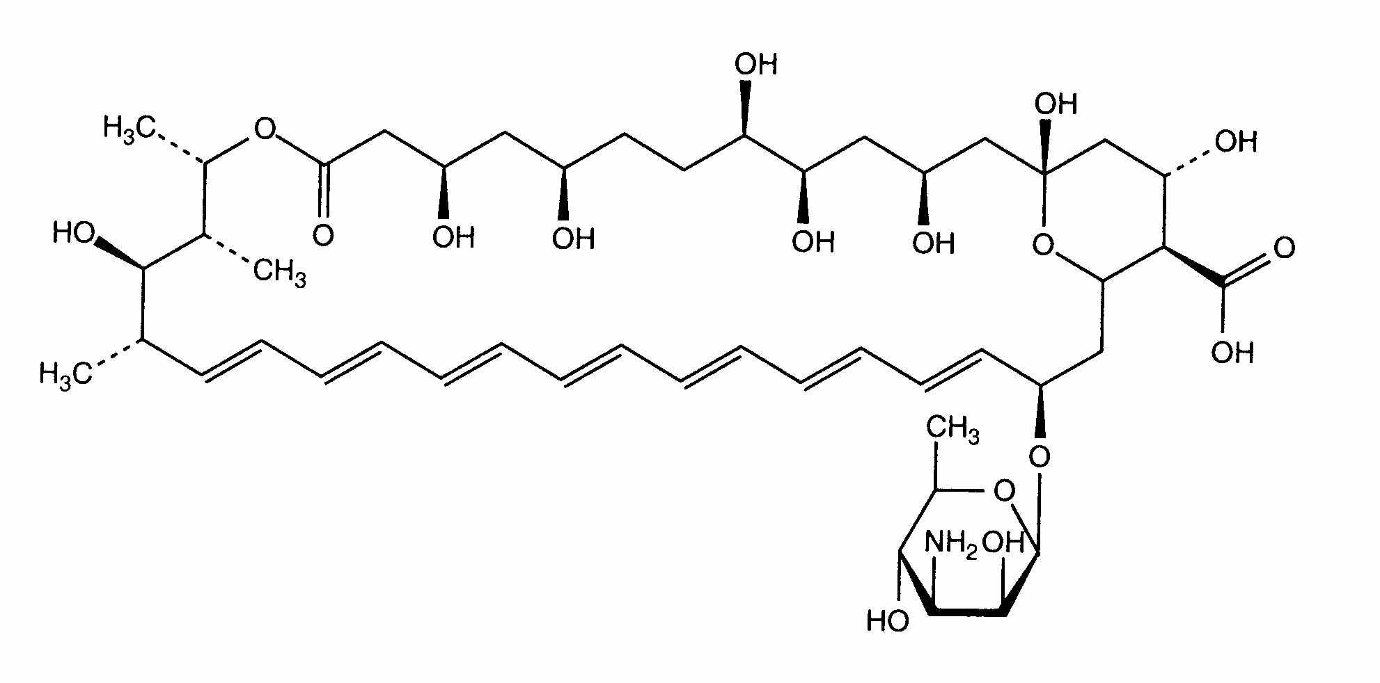
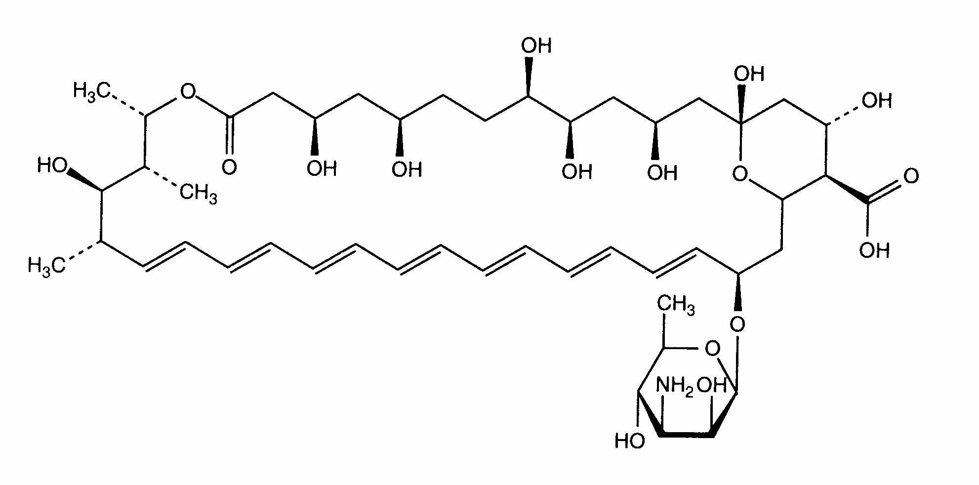
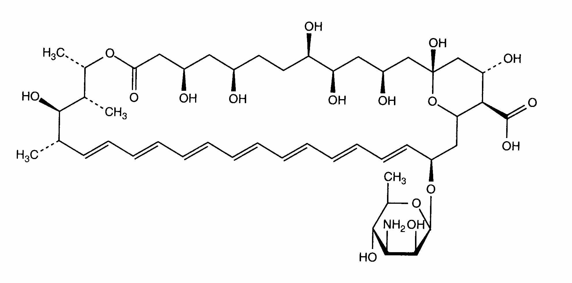
   Kemijska struktura  

oralna otopina
Stabilnost farmaceutskih pripravaka   oralna otopina     Stabilnost farmaceutskih pripravaka : Amphotericin B      
Kontejner Origine pomoćna tvar temperatura Konzerviranje Trajanje stabilnosti Bibliografija
plastična boca prašak 30 g
Amphotericin B
Na2HPO4 4.77 g
NaH2PO4 2.88 g
natrij benzoat 300 mg
Natrijev metabisulfit 450 mg
limunska kiselina 2.25 g
karboksimetilceluloza 1% 37.5 ml
Metilparaben 300 mg
Propilparaben 60 mg
okus trešnje 1.2 ml
Propilen glikol 3 ml
limunska kiselina >> pH 4.3
pročišćena voda >> 300 ml
22-25°C Zaštićeno od svjetlosti
93 dan
2940


  Mentions Légales