Seneste opdatering :
27/11/2025
Antisvampe   Amphotericin B   
Oral opløsning
Aerosol Injektion Mundskyllevæske Øjendråber
Stabilitet af farmaceutiske tilberedninger Stabilitet i blandinger Faktorer der påvirker stabiliteten Kompatibilitet Bibliografi pdf
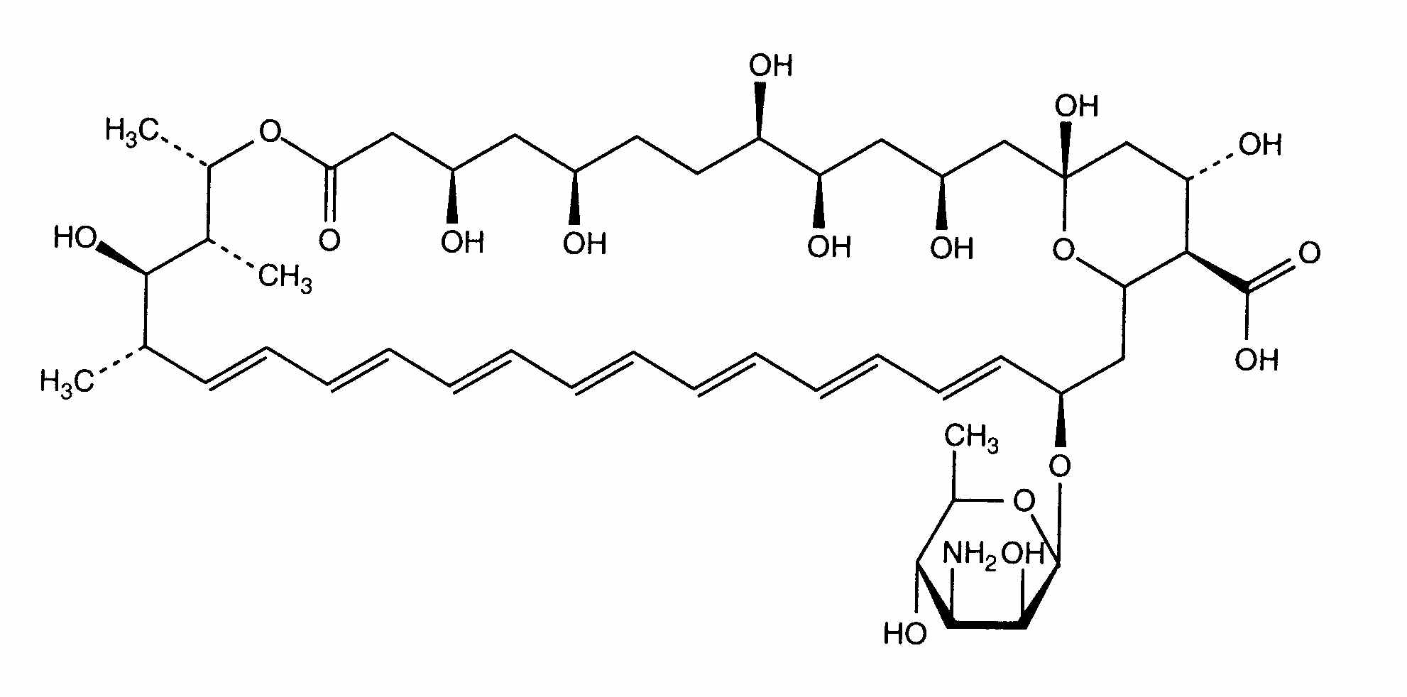
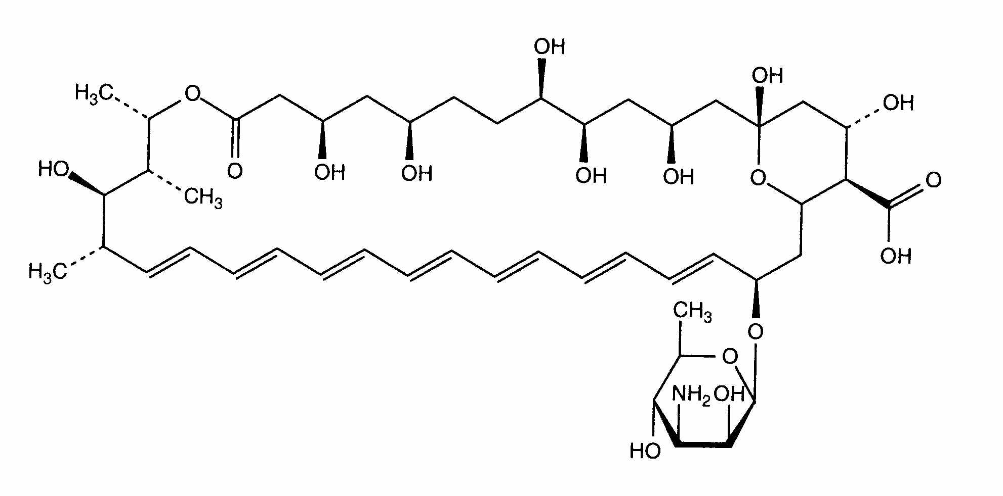
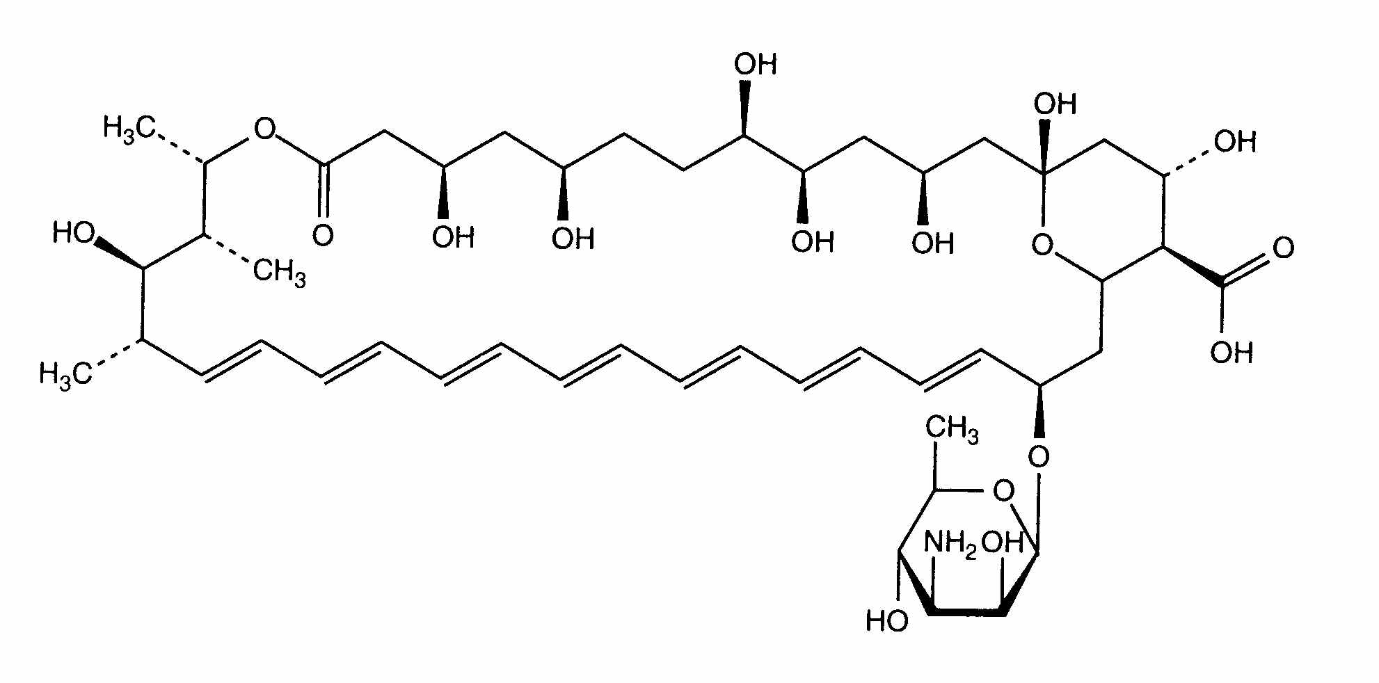
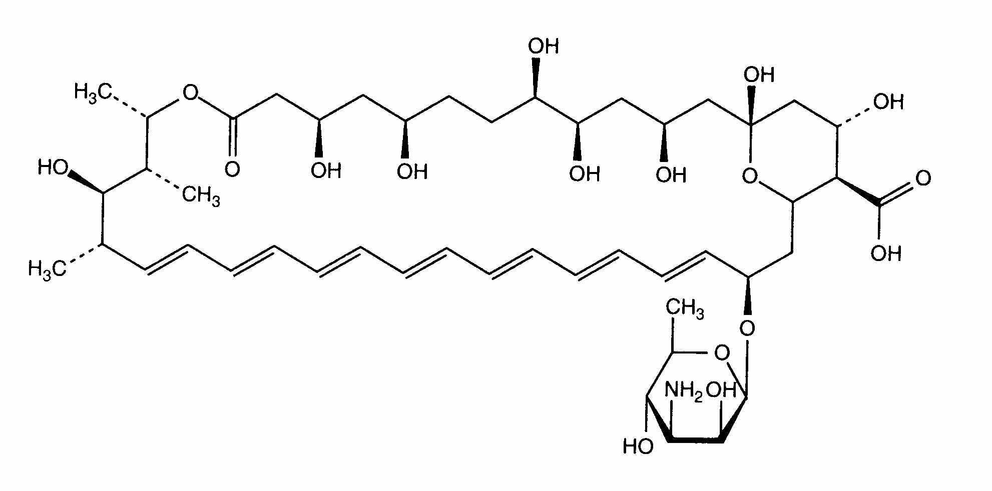
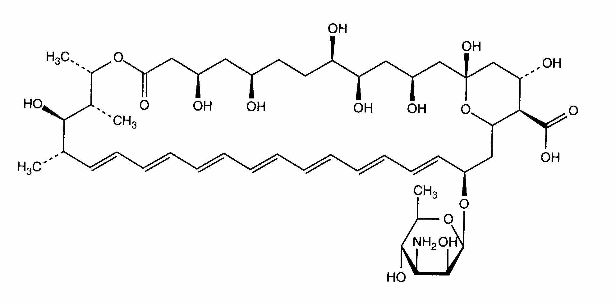
   Kemisk struktur  

Oral opløsning
Stabilitet af farmaceutiske tilberedninger   Oral opløsning   Stabilitet af farmaceutiske tilberedninger : Amphotericin B      
Beholder Origine Hjælpestof Temperatur Konservering Varighed af stabilitet Bibliografi
Plastflaske Pulver 30 g
Amphotericin B
Na2HPO4 4.77 g
NaH2PO4 2.88 g
Natriumbenzoat 300 mg
Natriummetabisulfit 450 mg
Citronsyre 2.25 g
Carboxymethylcellulose 1% 37.5 ml
Methylparaben 300 mg
Propylparaben 60 mg
Kirsebæraroma 1.2 ml
Propylenglycol 3 ml
Citronsyre >> pH 4.3
Renset vand >> 300 ml
22-25°C Beskyt mod lys
93 Dag
2940


  Mentions Légales