Last update :
27/11/2025
Antifungal   Amphotericin B   
Oral solution
aerosol Eye-drops injection Mouthwash
Stability of pharmaceutical preparations Stability of mixtures Factors which affect stability Compatibility References pdf
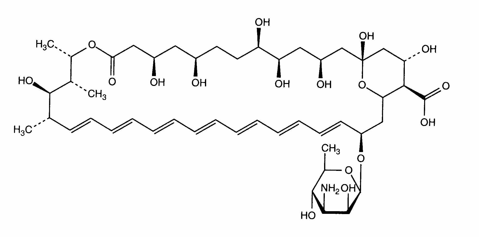
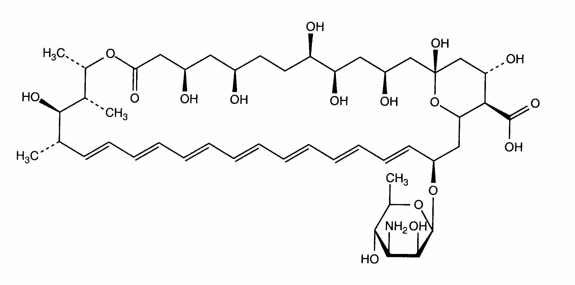
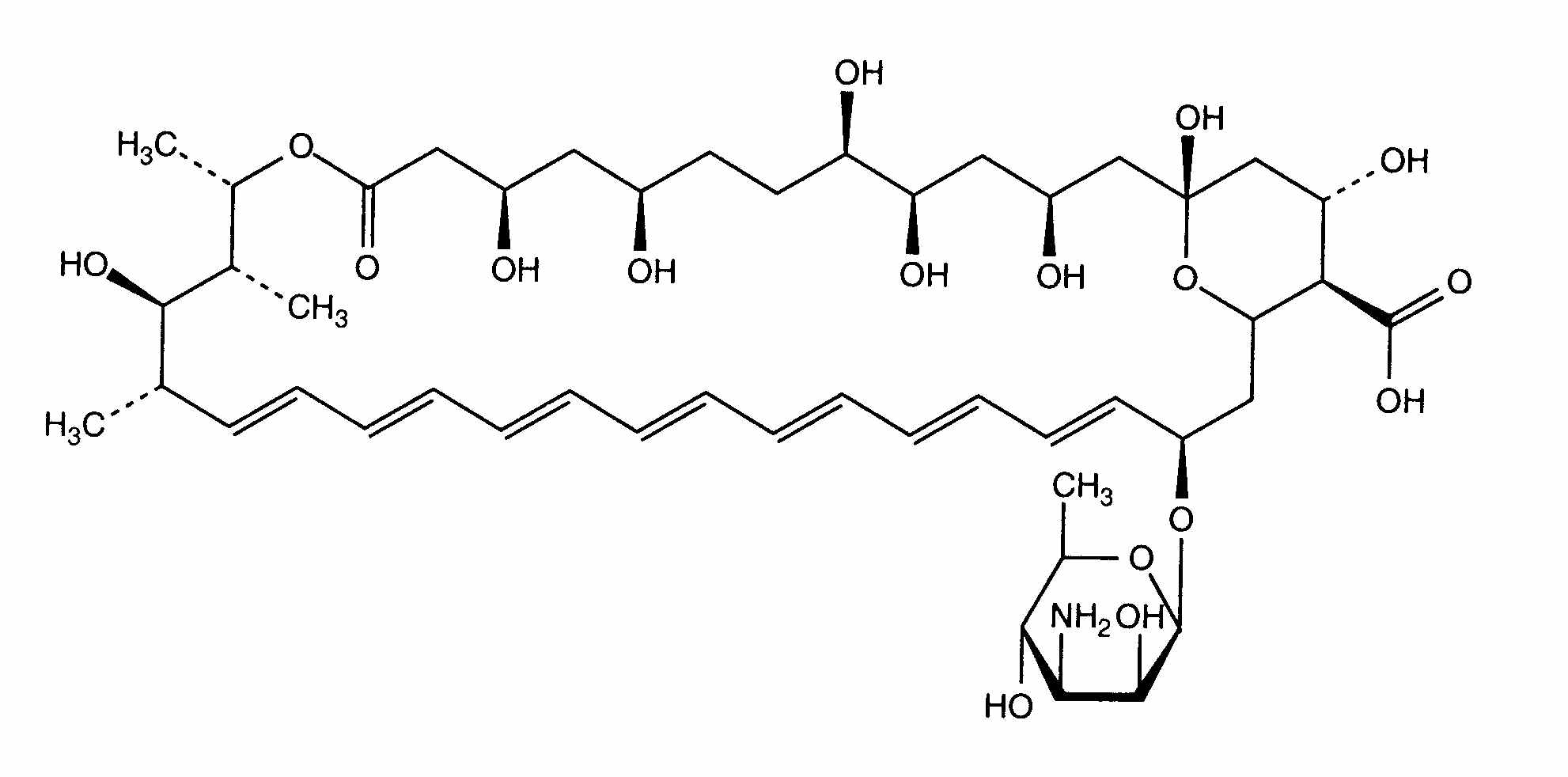
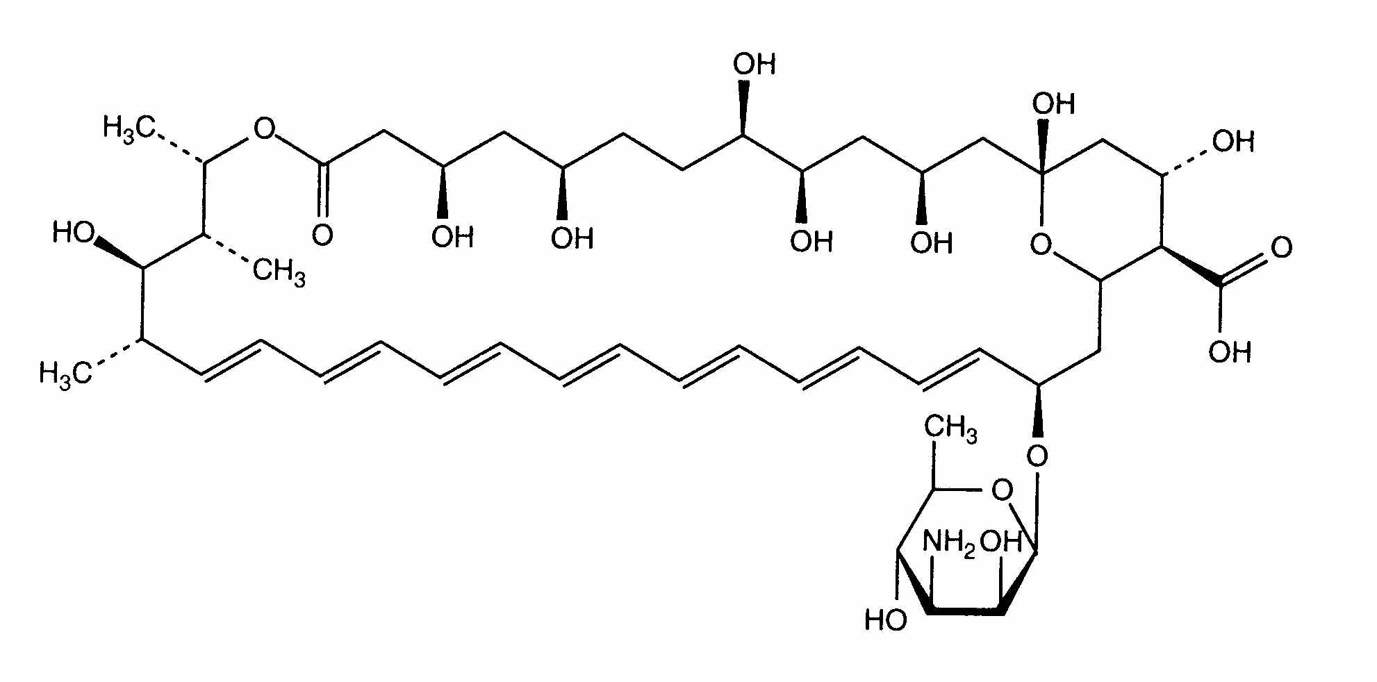
   Chemical structure  

Oral solution
Stability of pharmaceutical preparations   Oral solution   Stability of pharmaceutical preparations : Amphotericin B      
Container Origine excipient Temperature Storage Duration of stability References
plastic bottle powder 30 g
Amphotericin B
Na2HPO4 4.77 g
NaH2PO4 2.88 g
Sodium benzoate 300 mg
Sodium metabisulfite 450 mg
Citric acid 2.25 g
Carboxymethylcellulose 1% 37.5 ml
methylparaben 300 mg
Propylparaben 60 mg
cherry flavor 1.2 ml
propylene glycol 3 ml
Citric acid >> pH 4.3
Purified water >> 300 ml
22-25°C Protect from light
93 Day
2940


  Mentions Légales