Siste oppdatering :
18/03/2026
Fungicid   Amphotericin B   
Mikstur
Aerosol Injeksjon Munnvann Øyedråper
Stabilitet av farmasøytiske preparater Stabilitet i blandinger Faktorer som påvirker stabiliteten Kompatibilitet Referanser pdf
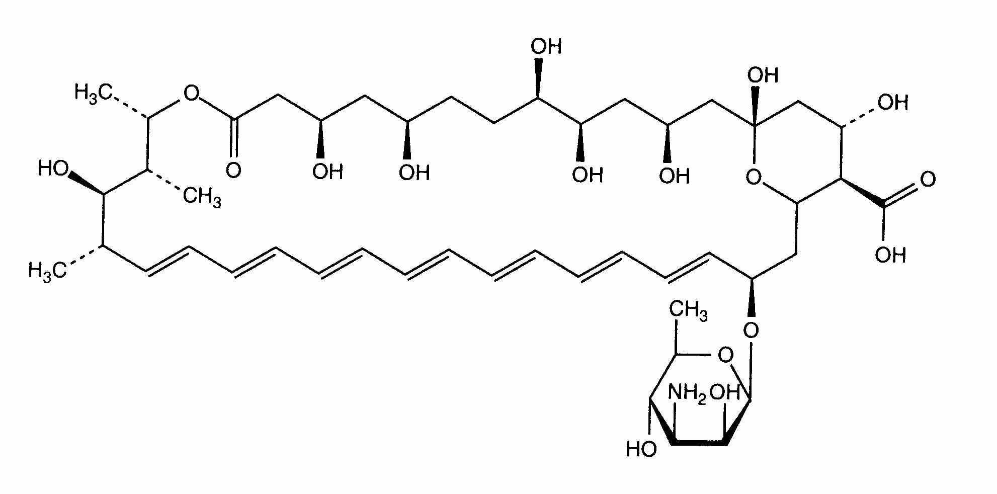
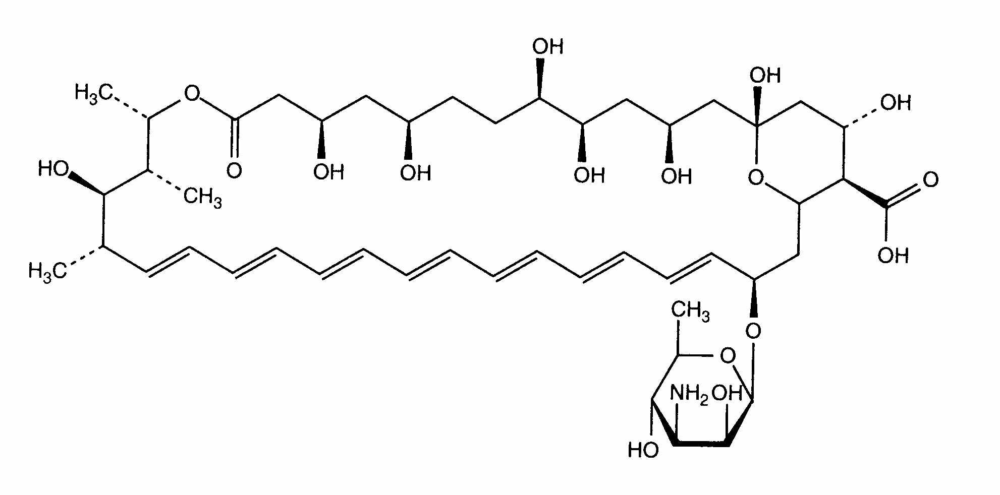
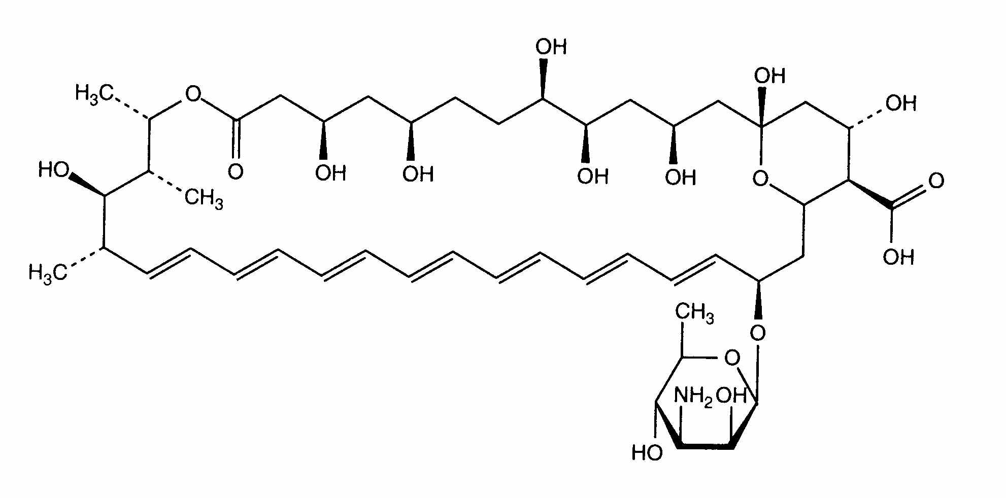
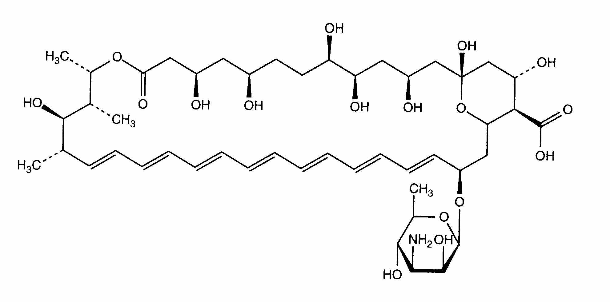
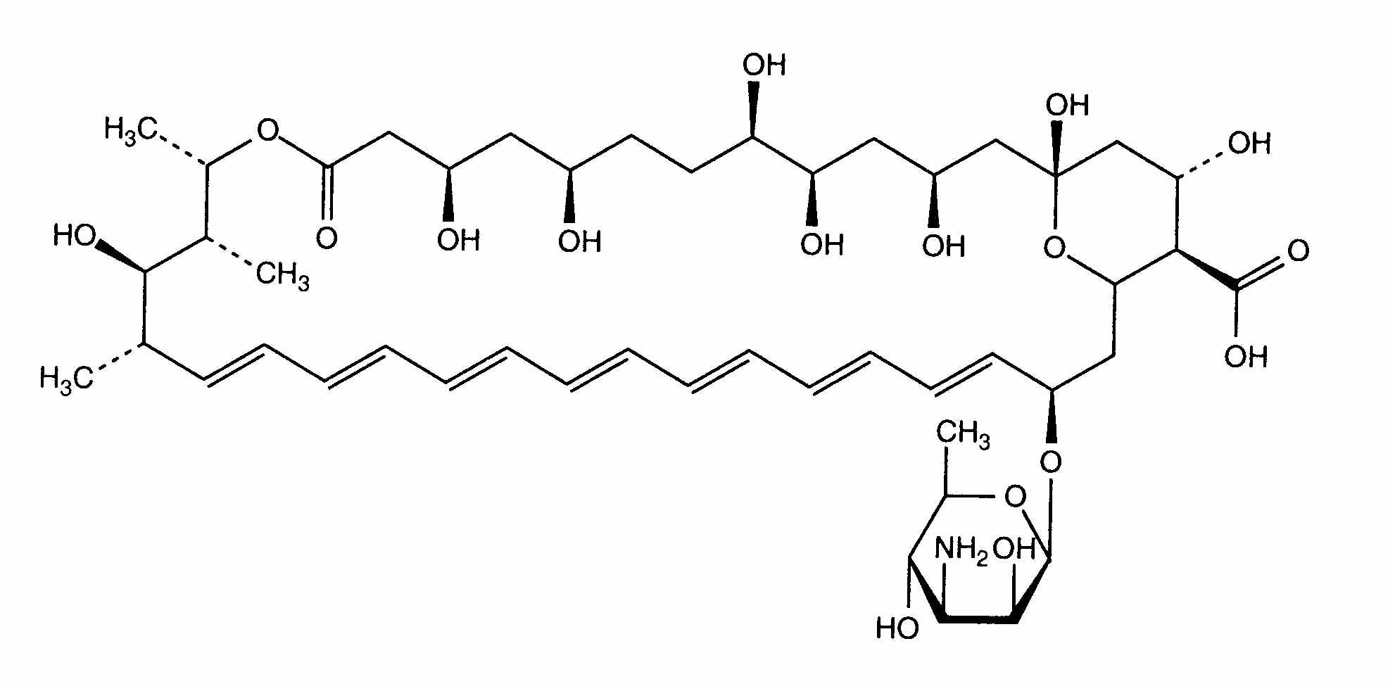
   Kjemisk struktur  

Mikstur
Stabilitet av farmasøytiske preparater   Mikstur   Stabilitet av farmasøytiske preparater : Amphotericin B      
Beholder Origine Hjelpestoff Temperatur Oppbevaring Varighet av stabilitet Referanser
Plastflaske Pulver 30 g
Amphotericin B
Na2HPO4 4.77 g
NaH2PO4 2.88 g
Natriumbenzoat 300 mg
Natriummetabisulfitt 450 mg
Sitronsyre 2.25 g
Karboksymetylcellulose 1% 37.5 ml
Metylparaben 300 mg
Propylparaben 60 mg
Kirsebærsmak 1.2 ml
Propylenglykol 3 ml
Sitronsyre >> pH 4.3
Renset vann >> 300 ml
22-25°C Beskyttes mot lys
93 Dag
2940


  Mentions Légales