آخر تحديث :
27/11/2025
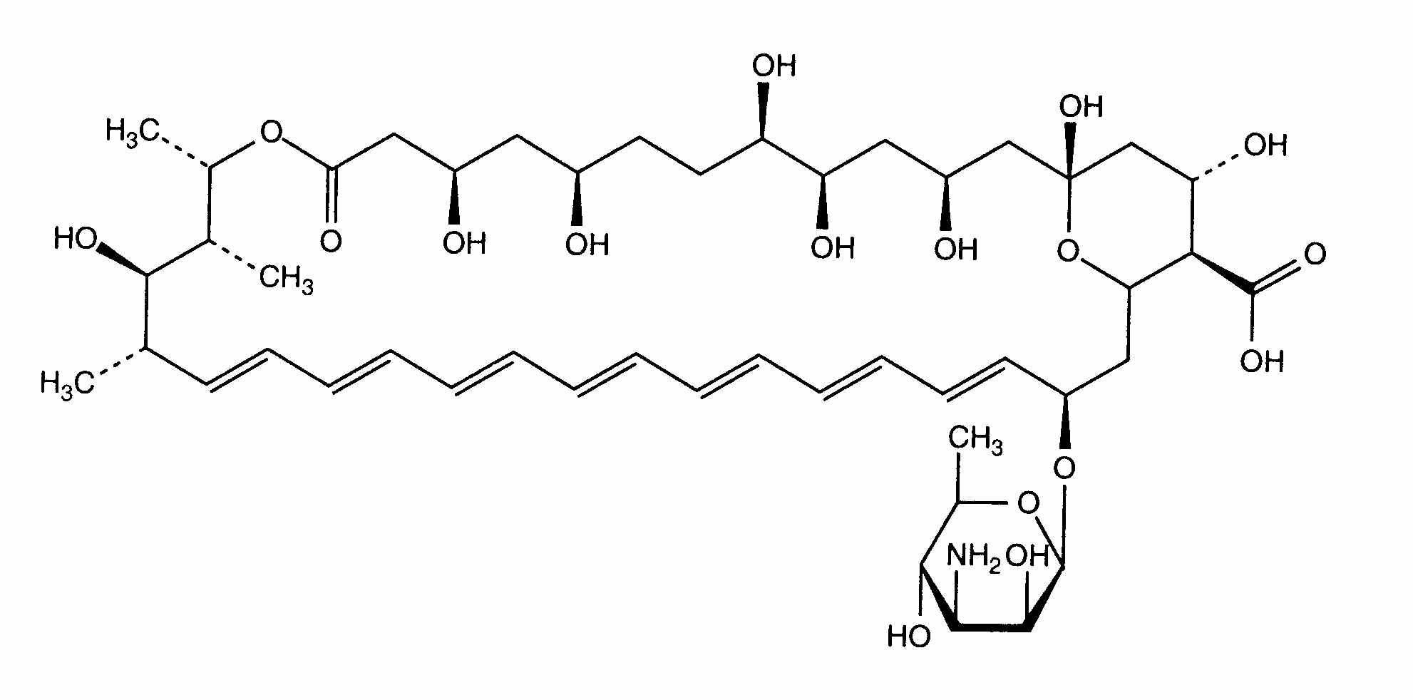
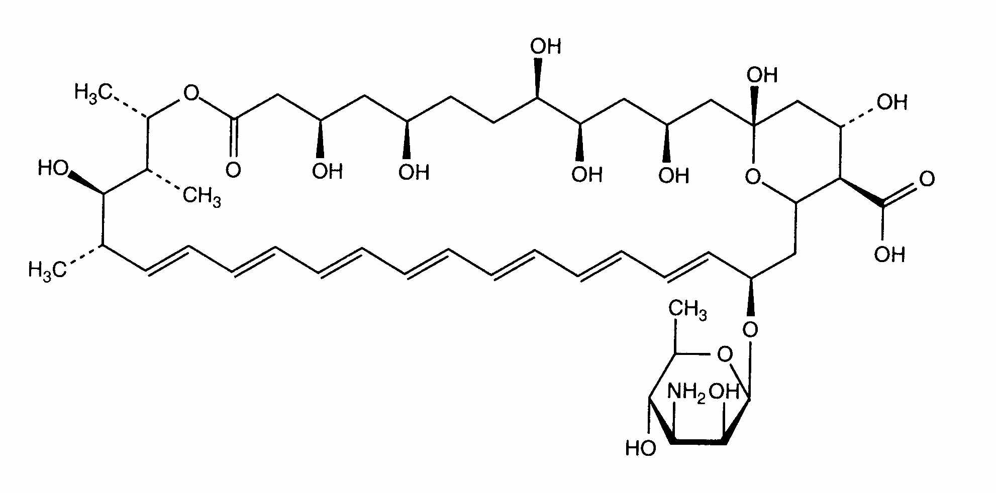
مضاد للفطريات   Amphotericin B   
عن طريق الفم
الأيروصولات حقن غسول الفم قطرات العين
استقرار المستحضرات الصيدلانية استقرار مخاليط العوامل التي تؤثر على الاستقرار التوافق مراجع pdf
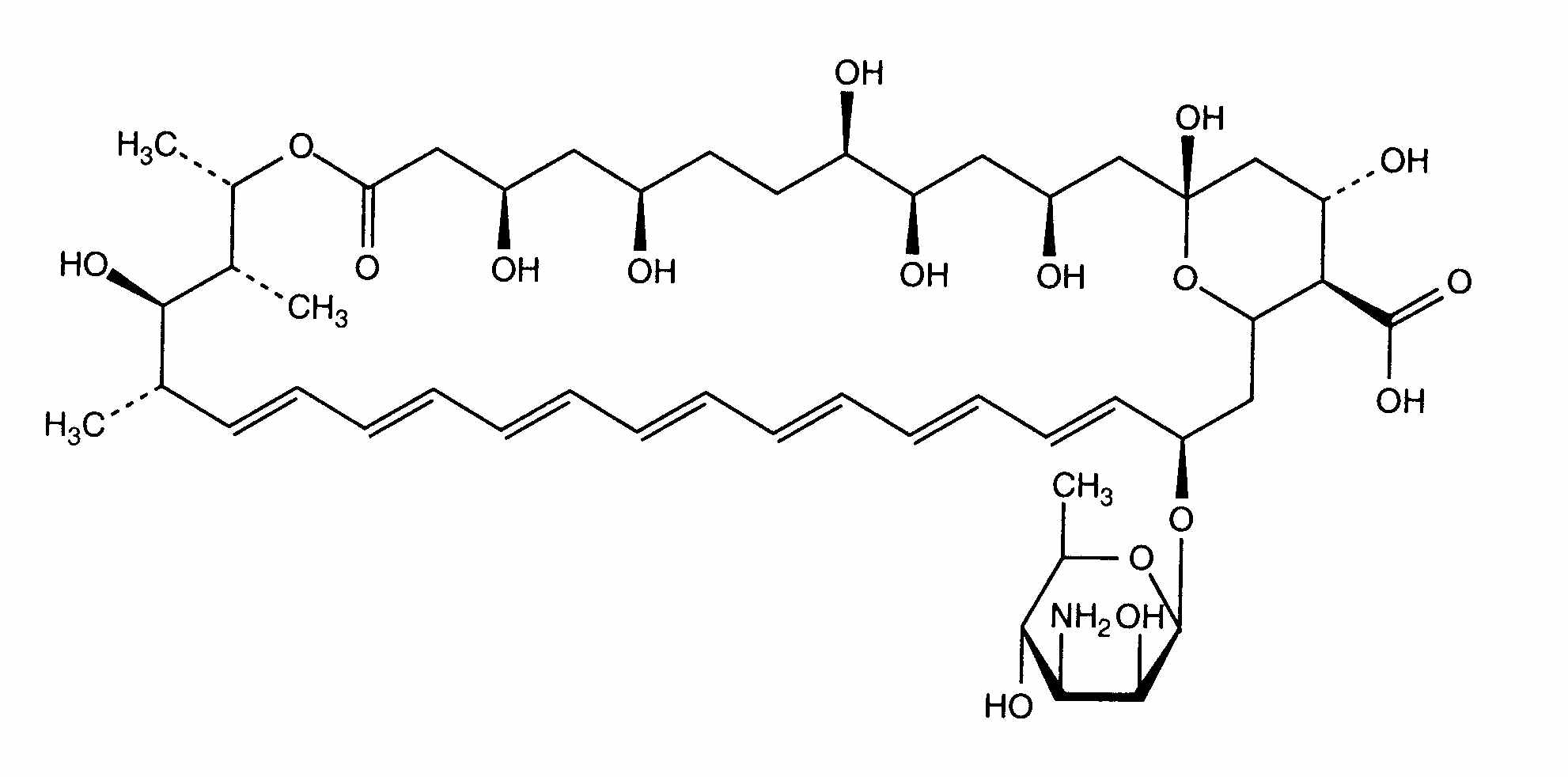
   التركيب الكيميائي  

عن طريق الفم
استقرار المستحضرات الصيدلانية   عن طريق الفم     استقرار المستحضرات الصيدلانية : Amphotericin B      
حاوية Origine الاضافات درجة الحرارة تخزين مدة الاستقرار مراجع
زجاجة من البلاستيك مسحوق 30 g
Amphotericin B
Na2HPO4 4.77 g
NaH2PO4 2.88 g
بنزوات الصوديوم 300 mg
الصوديوم ميتابيسلفيت 450 mg
حامض الستريك 2.25 g
كربوكسي ميثيل سلولوز 1% 37.5 ml
ميثيل 300 mg
بروبيل 60 mg
الكرز نكهة 1.2 ml
البروبيلين غليكول 3 ml
حامض الستريك >> pH 4.3
تنقية المياه >> 300 ml
22-25°C بعيدا عن الضوء
93 يوم
2940


  Mentions Légales