Ultimo aggiornamento :
03/02/2026
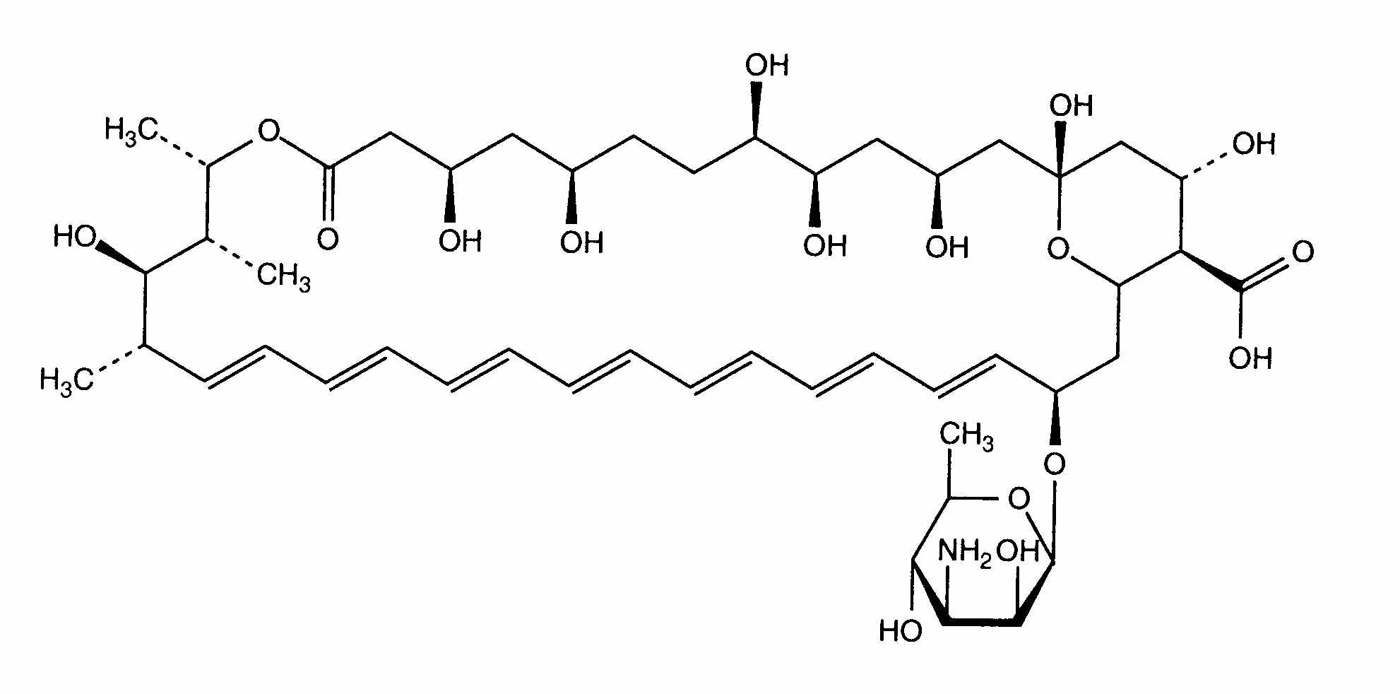
Antimicotico   Amphotericin B   
Soluzione orale
Aerosol Collirio Collutorio Iniezione
Stabilità dei preparati farmaceutici Stabilità in miscela Fattori che influenzano la stabilità Compatibilità Bibliografia pdf
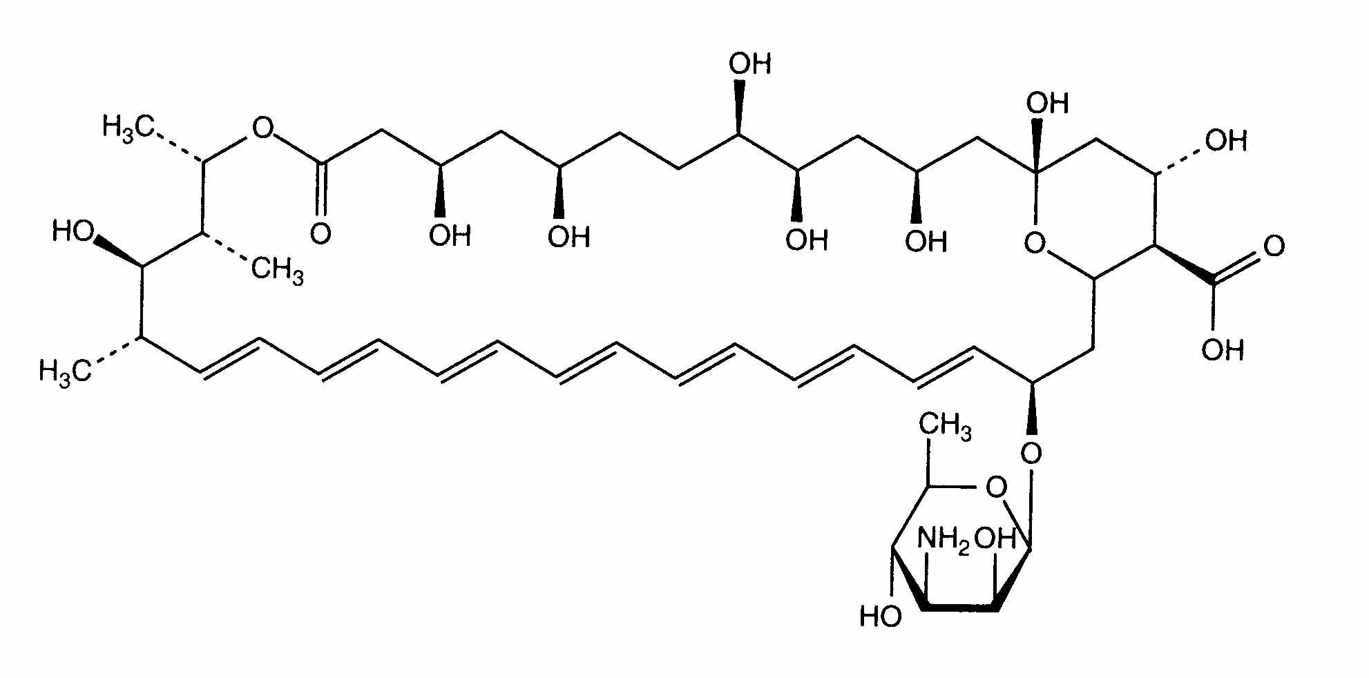
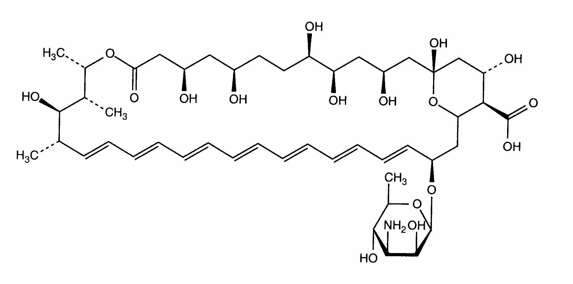
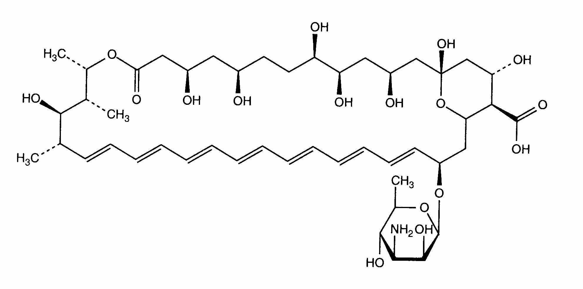
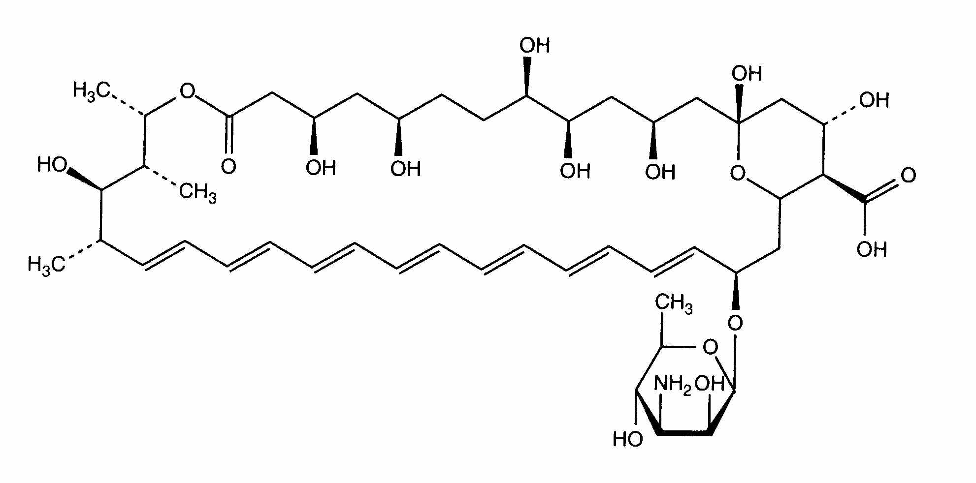
   Struttura chimica  

Soluzione orale
Stabilità dei preparati farmaceutici   Soluzione orale   Stabilità dei preparati farmaceutici : Amphotericin B      
contenitore Origine eccipiente Temperatura Conservazione Durata della stabilità Bibliografia
bottiglia di plastica polvere 30 g
Amphotericin B
Na2HPO4 4.77 g
NaH2PO4 2.88 g
sodio benzoato 300 mg
Sodio metabisolfito 450 mg
acido citrico 2.25 g
carbossimetilcellulosa 1% 37.5 ml
metilparaben 300 mg
propilparaben 60 mg
aroma di ciliegia 1.2 ml
glicole propilenico 3 ml
acido citrico >> pH 4.3
Acqua depurata >> 300 ml
22-25°C Al riparo dalla luce
93 Giorno
2940


  Mentions Légales