Laatste update :
27/11/2025
Antimycoticum   Amphotericin B   
Orale Oplossing
Aerosol gorgelen injecteerbaar geneesmiddel Oogwater
Stabiliteit van farmaceutische preparaten Stabiliteit in mengsels Factoren die de stabiliteit beïnvloeden Verenigbaarheden Literatuur pdf
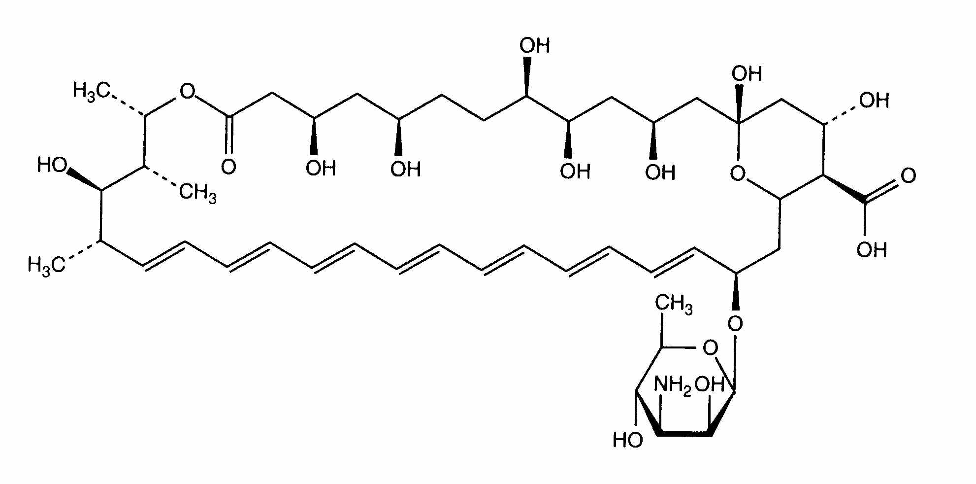
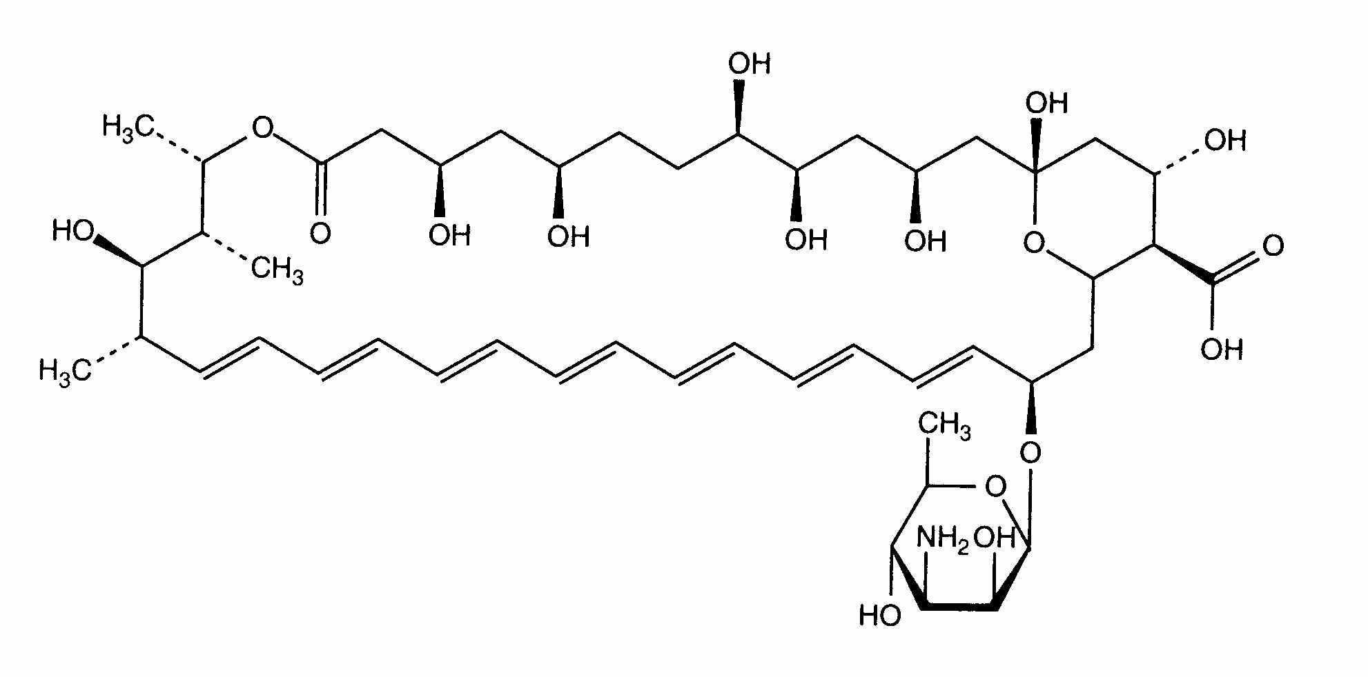
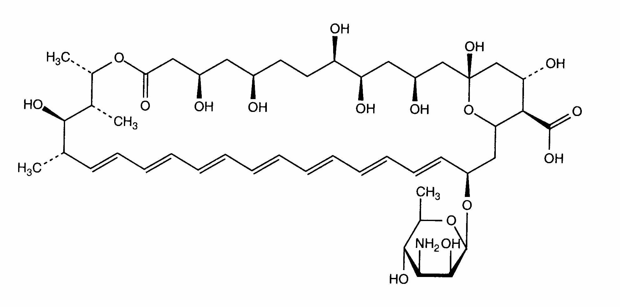
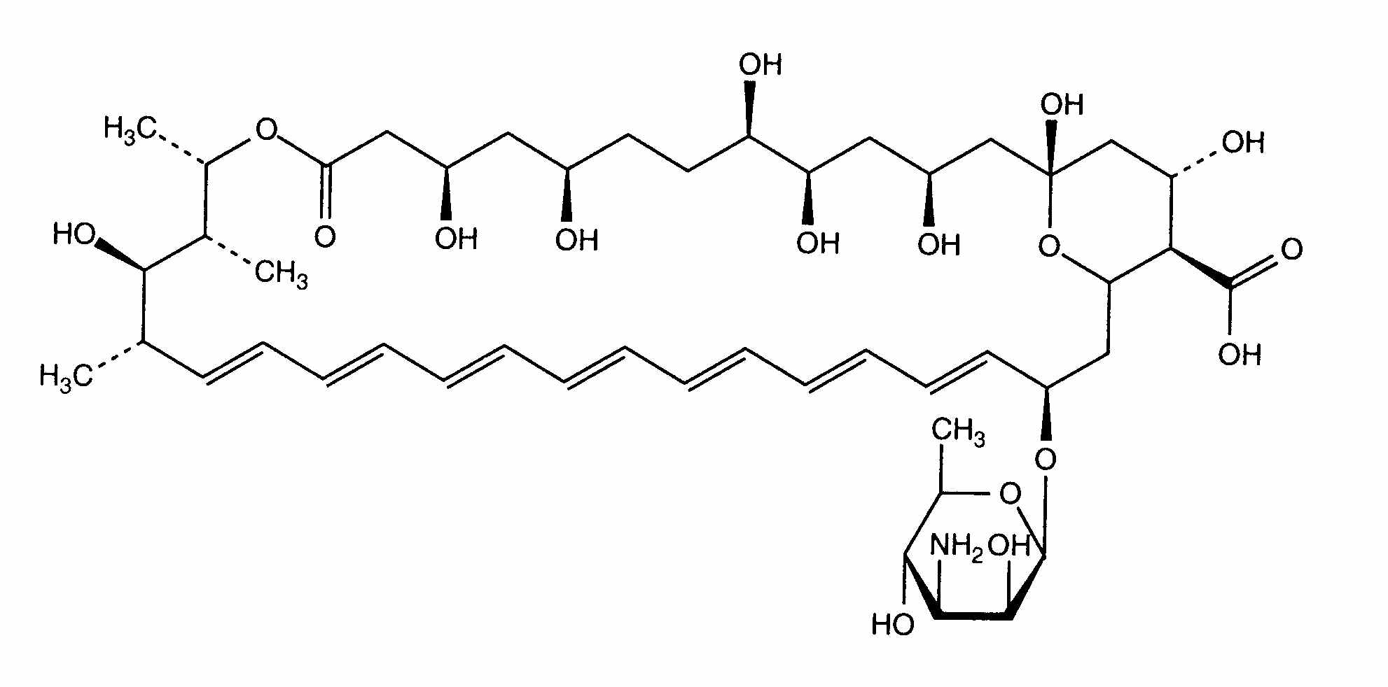
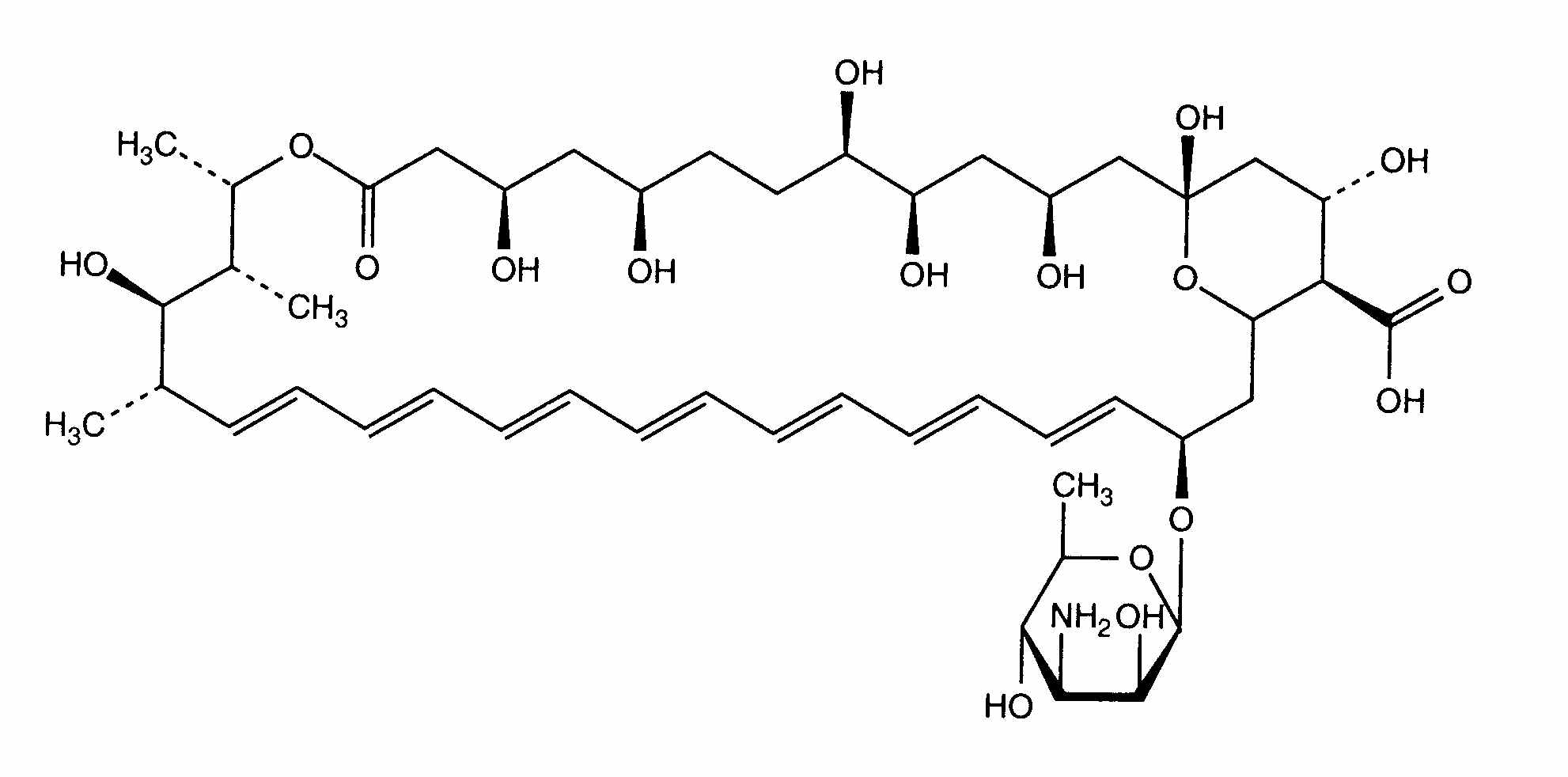
   Molecuulstructuur  

Orale Oplossing
Stabiliteit van farmaceutische preparaten   Orale Oplossing   Stabiliteit van farmaceutische preparaten : Amphotericin B      
Verpakking Origine  ikˈsipēənt hulpstof Temperatuur Bewaring Duur van de stabiliteit Literatuur
plastic fles poeder 30 g
Amphotericin B
Na2HPO4 4.77 g
NaH2PO4 2.88 g
natriumbenzoaat 300 mg
Natriummetabisulfiet 450 mg
citroenzuur 2.25 g
carboxymethylcellulose 1% 37.5 ml
methylparaben 300 mg
propylparabeen 60 mg
kersensmaak 1.2 ml
Propyleenglycol 3 ml
citroenzuur >> pH 4.3
gezuiverd water >> 300 ml
22-25°C Buiten invloed van licht
93 Dag
2940


  Mentions Légales