Dernière mise à jour :
27/11/2025
Antifongique   Amphotericin B   
Solution buvable
Aérosol Collyre Gargarisme injectable
Stabilité des préparations Stabilité en mélange Facteur influençant la stabilité Compatibilités Bibliographie pdf
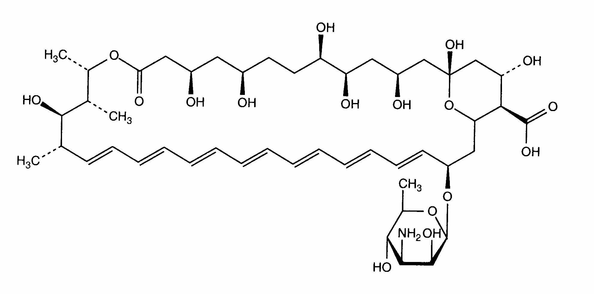
   Structure chimique  

Solution buvable
Stabilité des préparations   Solution buvable   Stabilité des préparations : Amphotericin B      
Contenant Origine Excipient Température Conservation Durée de stabilité Bibliographie
Flacon plastique Poudre 30 g
Amphotericin B
Na2HPO4 4.77 g
NaH2PO4 2.88 g
Benzoate de sodium 300 mg
Métabisulfite de sodium 450 mg
acide citrique 2.25 g
Carboxymethylcellulose 1% 37.5 ml
POH benzoate de methyle 300 mg
POH benzoate de propyle 60 mg
arôme cerise 1.2 ml
propylène Glycol 3 ml
acide citrique >> pH 4.3
Eau purifiée >> 300 ml
22-25°C A l’abri de la lumière
93 Jour
2940


  Mentions Légales