zadnja posodobitev :
27/11/2025
Antimikotik   Amphotericin B   
Peroralna raztopina
Aerosol Brizgalka Kapljice za oči Ustna voda
Stabilnost farmacevtskih preparatov Stabilnost mešanice Faktorji, ki vplivajo na stabilnost Kompatibilnost Viri pdf
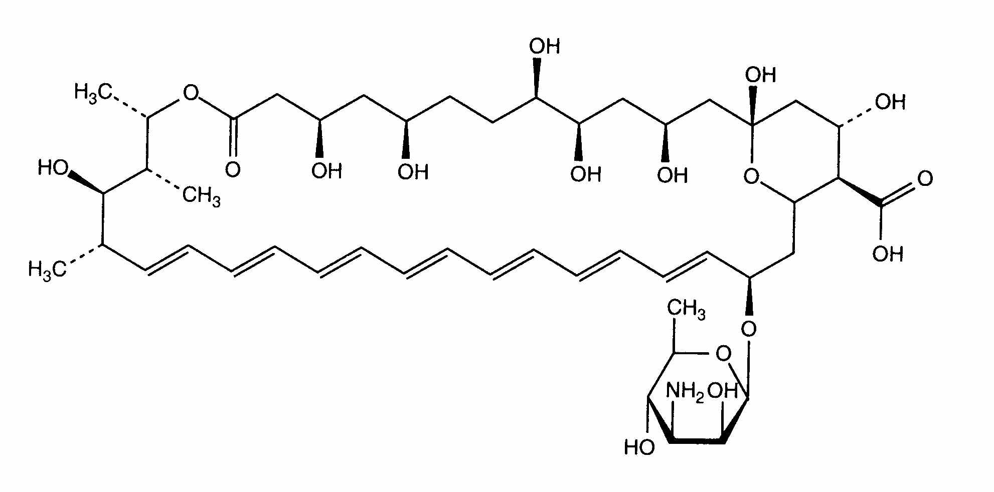
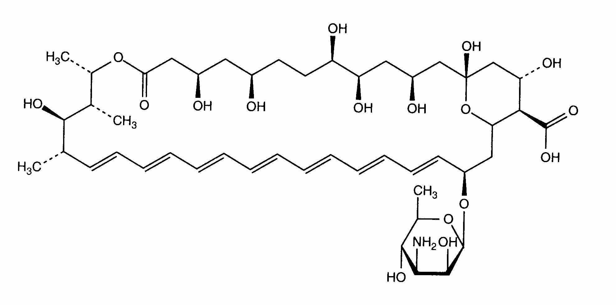
   Kemična formula  

Peroralna raztopina
Stabilnost farmacevtskih preparatov   Peroralna raztopina   Stabilnost farmacevtskih preparatov : Amphotericin B      
Vsebnik Origine Ekscipient Temperatura Shranjevanje Trajanje stabilnosti Viri
Plastenka Prašek 30 g
Amphotericin B
Na2HPO4 4.77 g
NaH2PO4 2.88 g
Natrijev benzoat 300 mg
Natrijev metabisulfit 450 mg
Citronska kislina 2.25 g
Karboksimetilceluloza 1% 37.5 ml
Metilparaben 300 mg
Propilparaben 60 mg
Okus češnja 1.2 ml
Propilenglikol 3 ml
Citronska kislina >> pH 4.3
Prečiščena voda >> 300 ml
22-25°C Zaščiteno pred svetlobo
93 Dan
2940


  Mentions Légales