Son güncelleme :
17/12/2025
Antibiyotik   Tobramycin sulfate   
Göz damlası
Aerosol Enjeksiyon Oral solüsyon / oral çözelti
Farmasötik preparatlar Kararlılığı Karışımlardaki stabilitesi Stabiliteyi etkileyen faktörler Uyumluluk Kaynaklar pdf
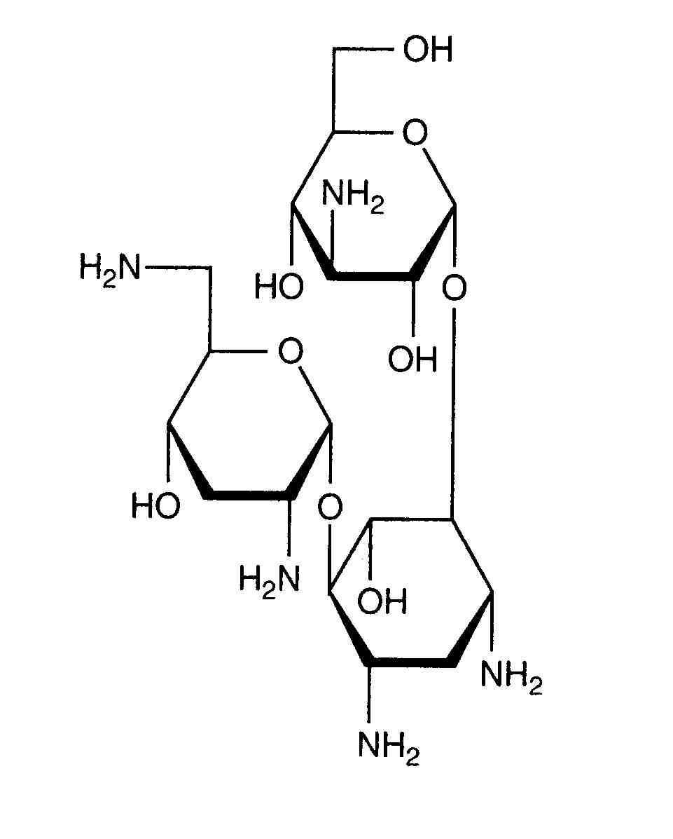
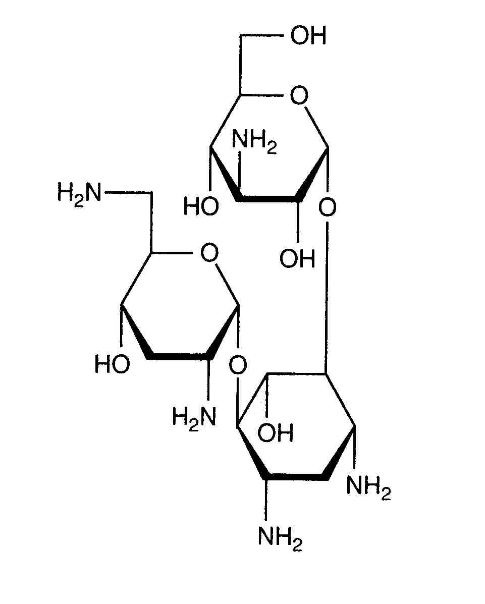
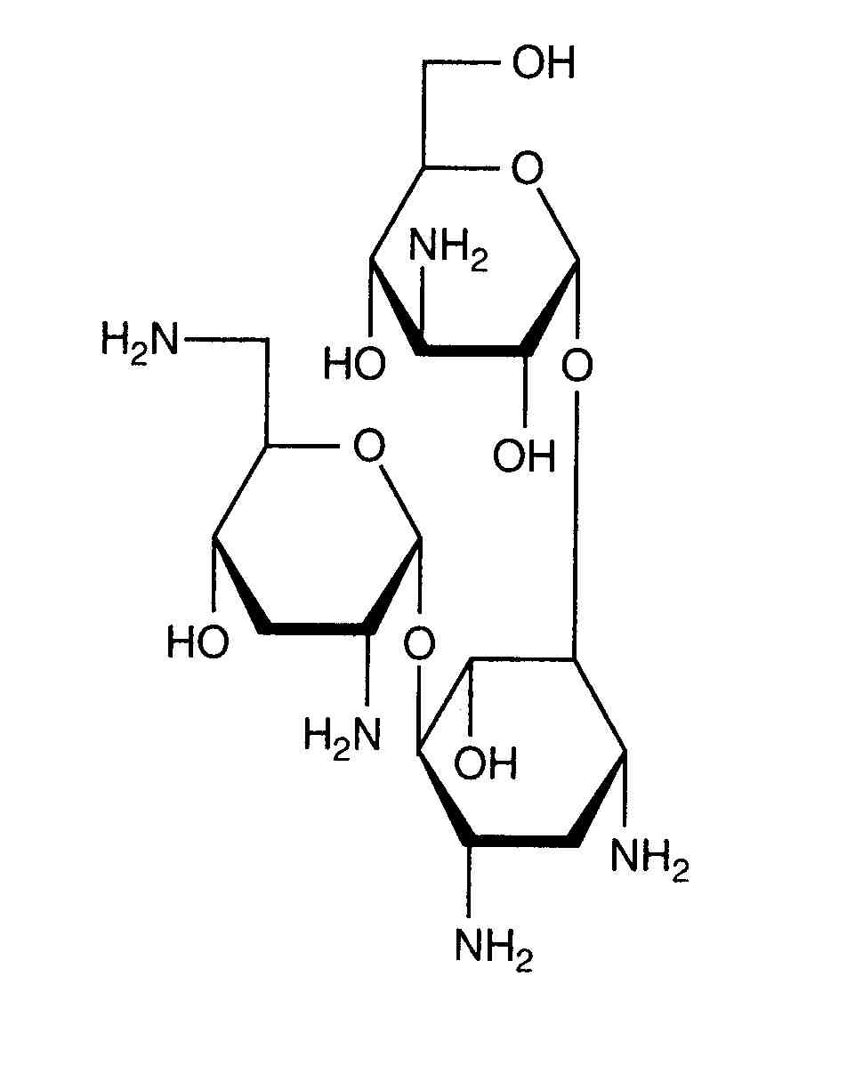
   Kimyasal yapı   

Göz damlası
Karışımlardaki stabilitesi   Göz damlası   Karışımlardaki stabilitesi : Tobramycin sulfate      
veri yok

  Mentions Légales