Τελευταία ενημέρωση :
27/11/2025
Αντιβιοτικό   Tobramycin sulfate   
Οφθαλμικές σταγόνες
Αεροζόλ Ενέσιμο Πόσιμο διάλυμα
Σταθερότητα και συμβατότητα των φαρμάκων Σταθερότητα σε μίγματα Παράγοντας που επηρεάζει τη σταθερότητα Συμβατότητες Βιβλιογραφία pdf
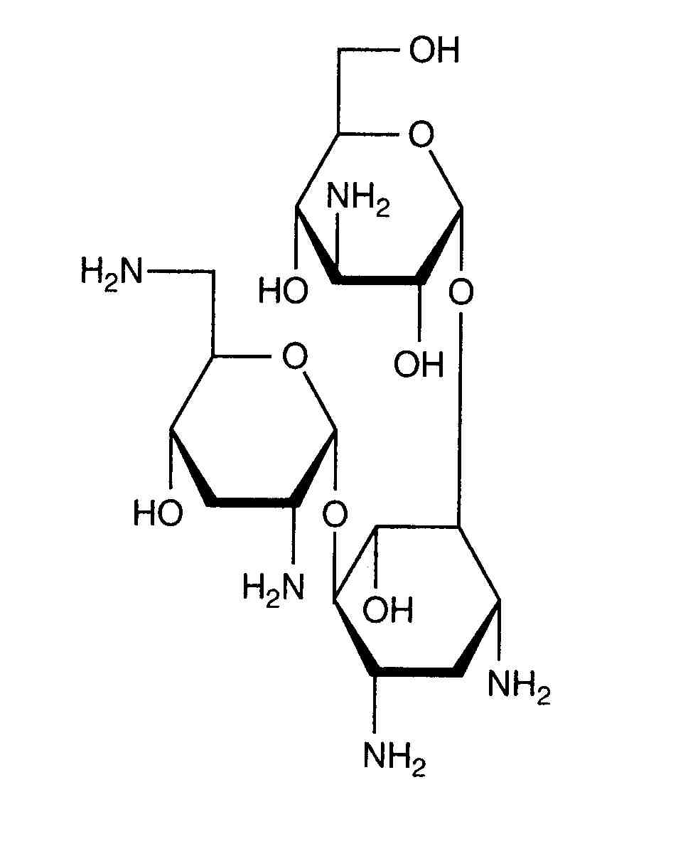
   χημική δομή  

Οφθαλμικές σταγόνες
Σταθερότητα σε μίγματα   Οφθαλμικές σταγόνες   Σταθερότητα σε μίγματα : Tobramycin sulfate      
Δεν υπάρχουν πληροφορίες

  Mentions Légales