最新更新 :
27/11/2025
抗菌薬   Tobramycin sulfate   
点眼薬
エアロゾル 注射薬 経口液
調剤時の安定性 混合時の安定性 安定性に影響する因子 互換性 引用文献 PDF
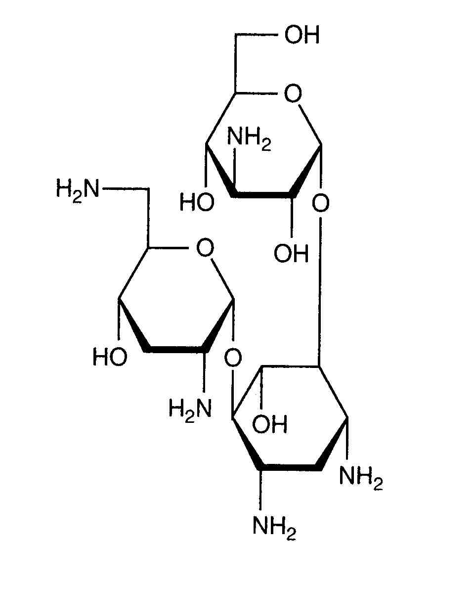
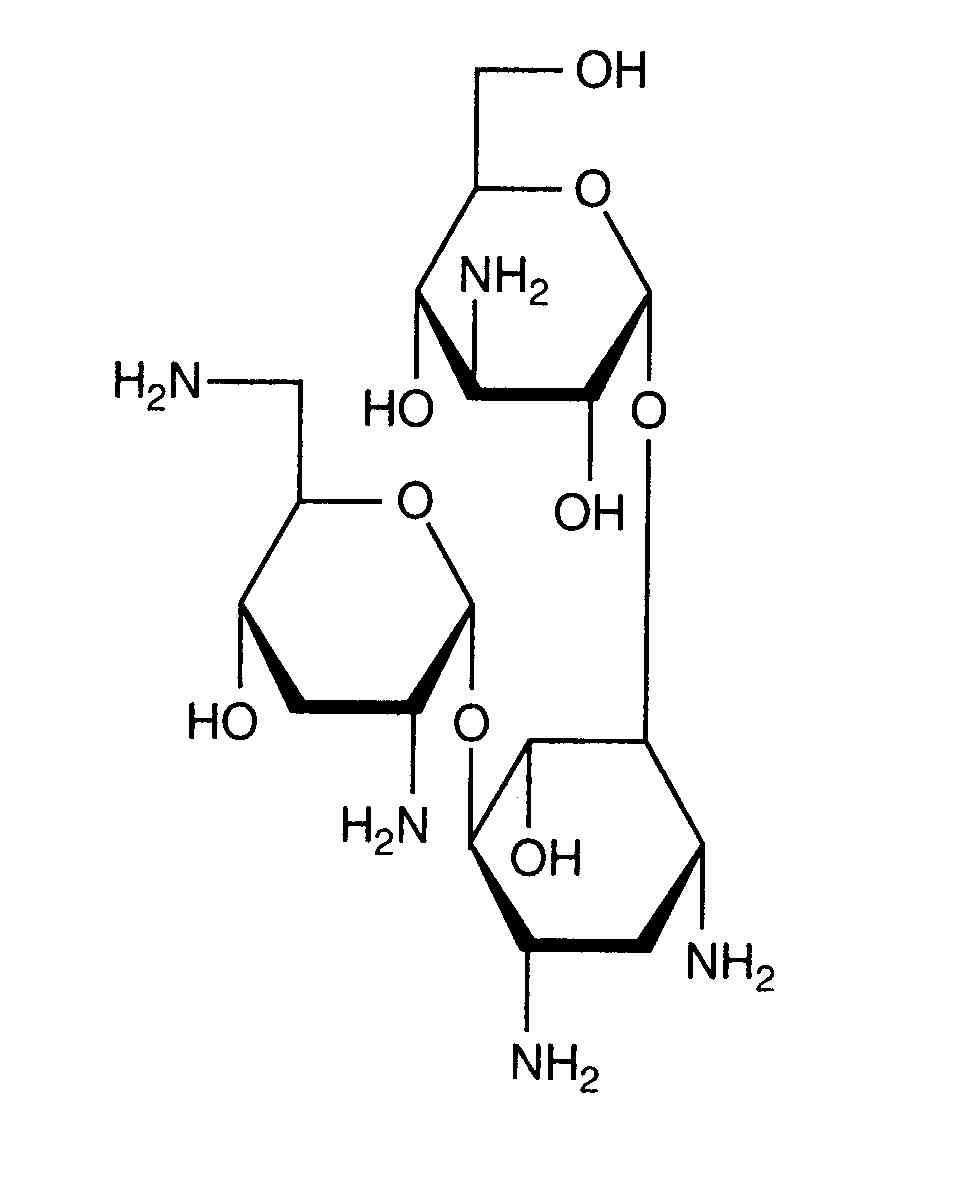
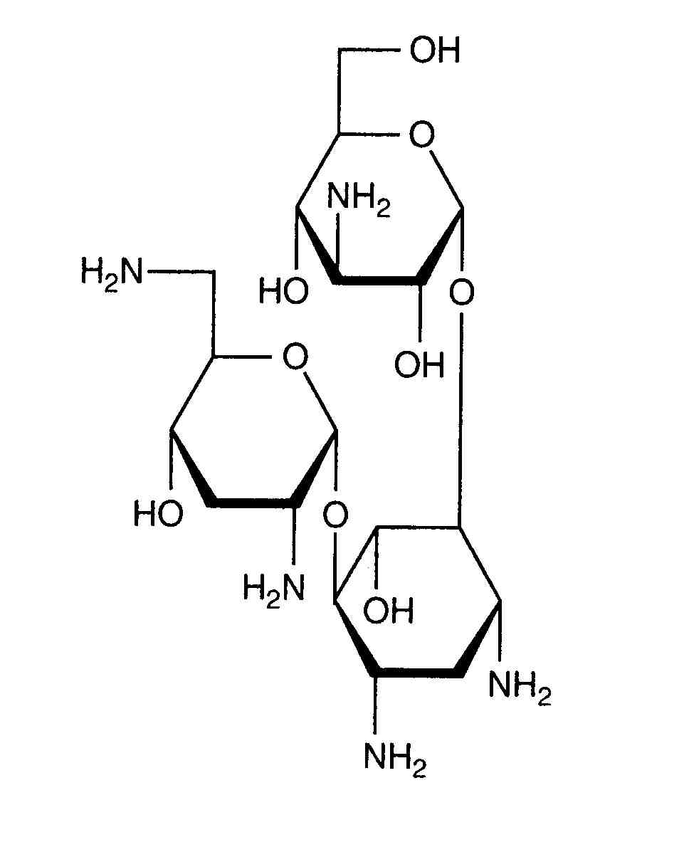
   化学構造  

点眼薬
混合時の安定性   点眼薬   混合時の安定性 : Tobramycin sulfate      
データなし

  Mentions Légales