آخر تحديث :
17/12/2025
مضاد حيوي   Tobramycin sulfate   
قطرات العين
الأيروصولات حقن عن طريق الفم
استقرار المستحضرات الصيدلانية استقرار مخاليط العوامل التي تؤثر على الاستقرار التوافق مراجع pdf
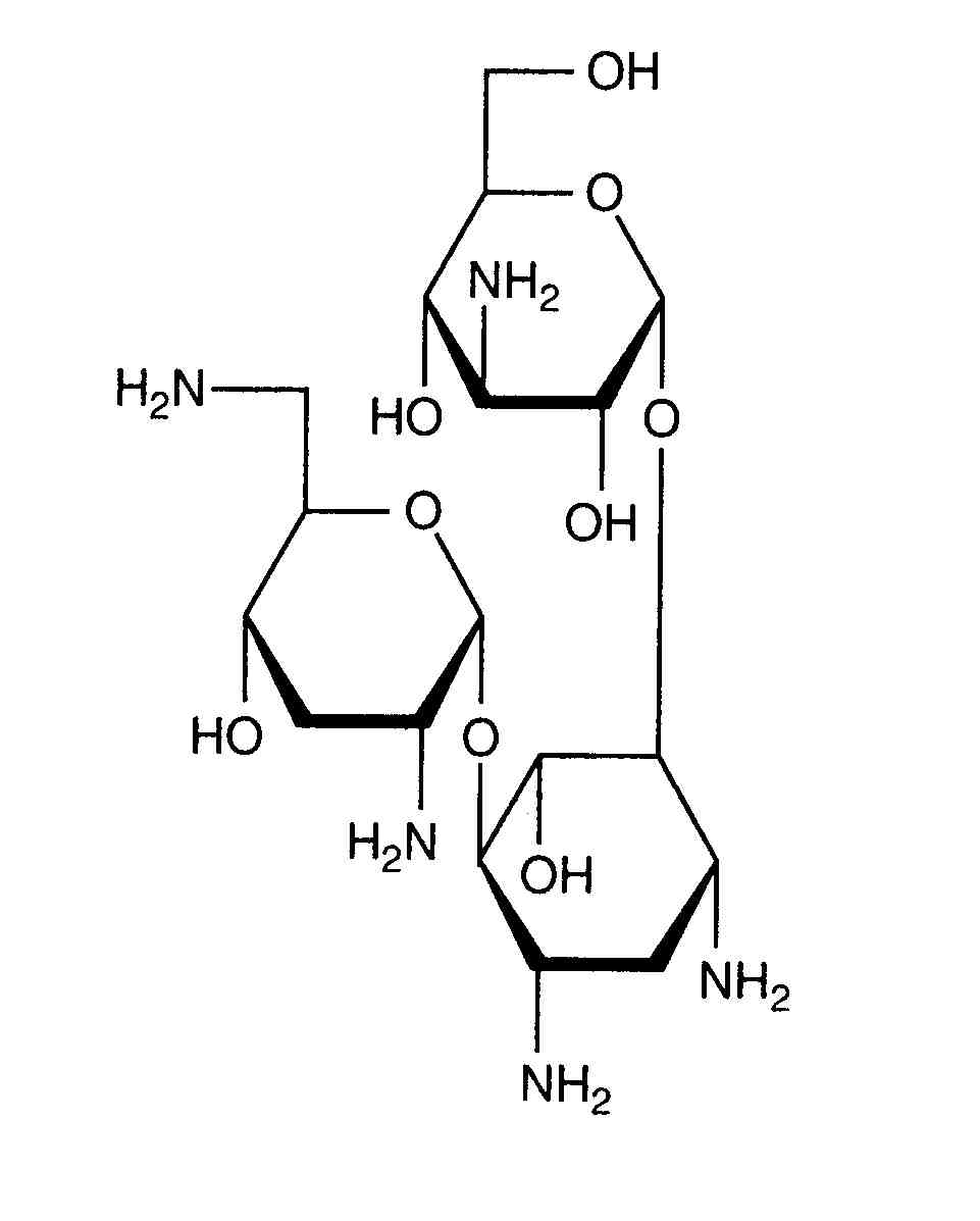
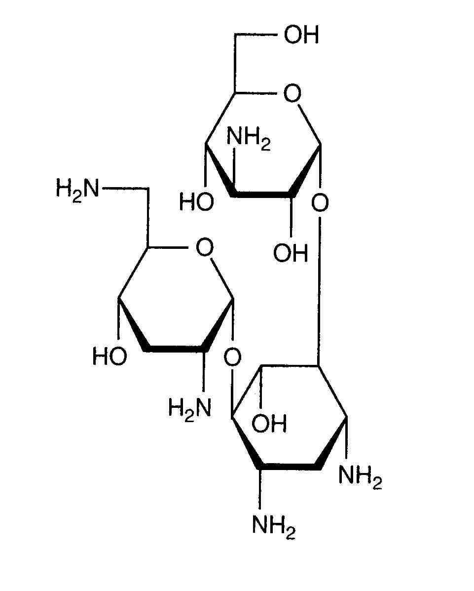
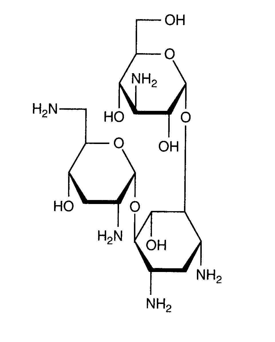
   التركيب الكيميائي  

قطرات العين
استقرار مخاليط   قطرات العين   استقرار مخاليط : Tobramycin sulfate      
لا توجد بيانات

  Mentions Légales