Poslední aktualizace :
17/12/2025
Antibiotikum   Tobramycin sulfate   
Humbuk
Aerosol injekce Perorální roztok
Stabilita farmaceutických přípravků Stabilita směsí Faktory ovlivňující stabilitu Kompatibilita Odkazy pdf
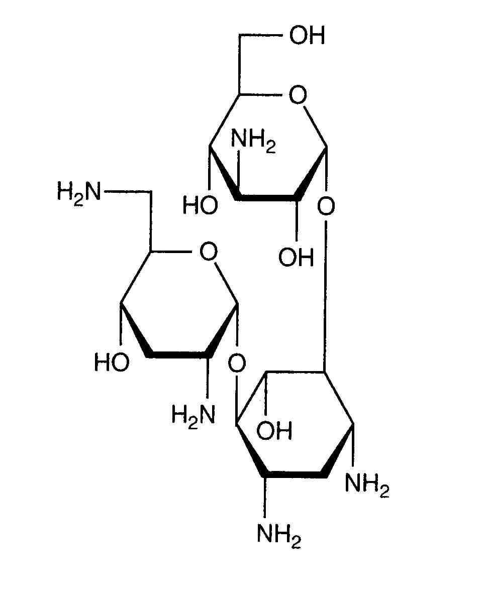
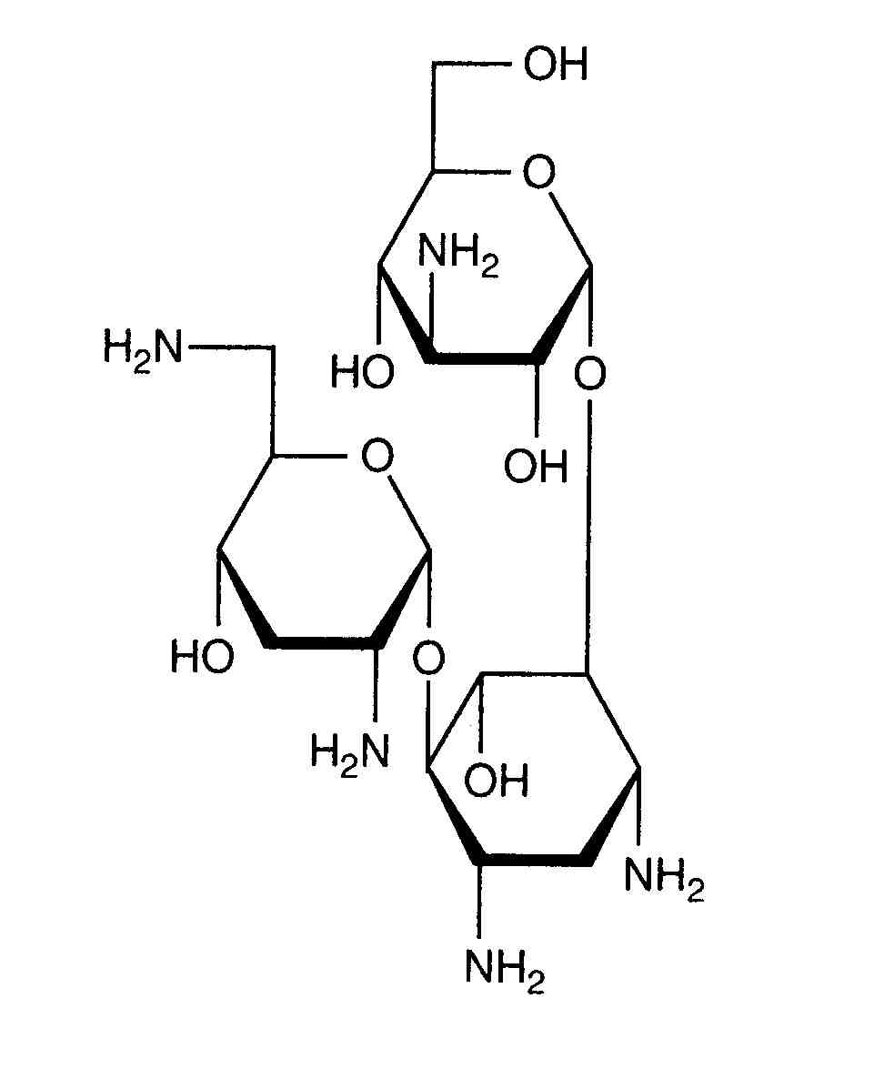
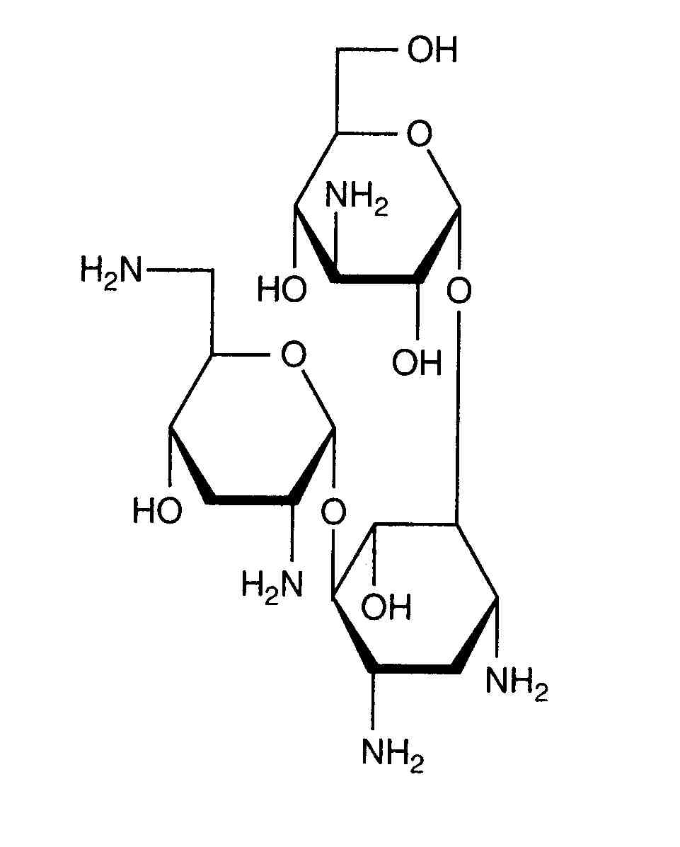
   Chemický vzorec  

Humbuk
Stabilita směsí   Humbuk   Stabilita směsí : Tobramycin sulfate      
žádná data

  Mentions Légales