Ultimo aggiornamento :
17/12/2025
Antibiotico   Tobramycin sulfate   
Collirio
Aerosol Iniezione Soluzione orale
Stabilità dei preparati farmaceutici Stabilità in miscela Fattori che influenzano la stabilità Compatibilità Bibliografia pdf
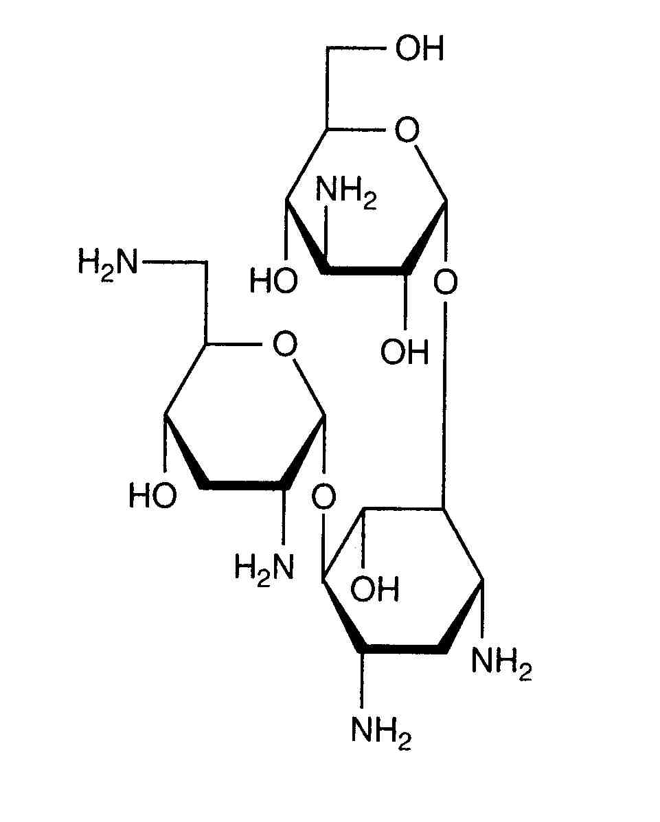
   Struttura chimica  

Collirio
Stabilità in miscela   Collirio   Stabilità in miscela : Tobramycin sulfate      
Assenza di dati

  Mentions Légales