viimane versioon :
27/11/2025
antibiootikum   Tobramycin sulfate   
Silmatilgad
aerosool Süsteravim suukaudne lahus
Stabiilsust ravimpreparaadid Stabiilsust mõjutavad tegurid stabiilsust mõjutavad faktorid Sobimatus Viited pdf
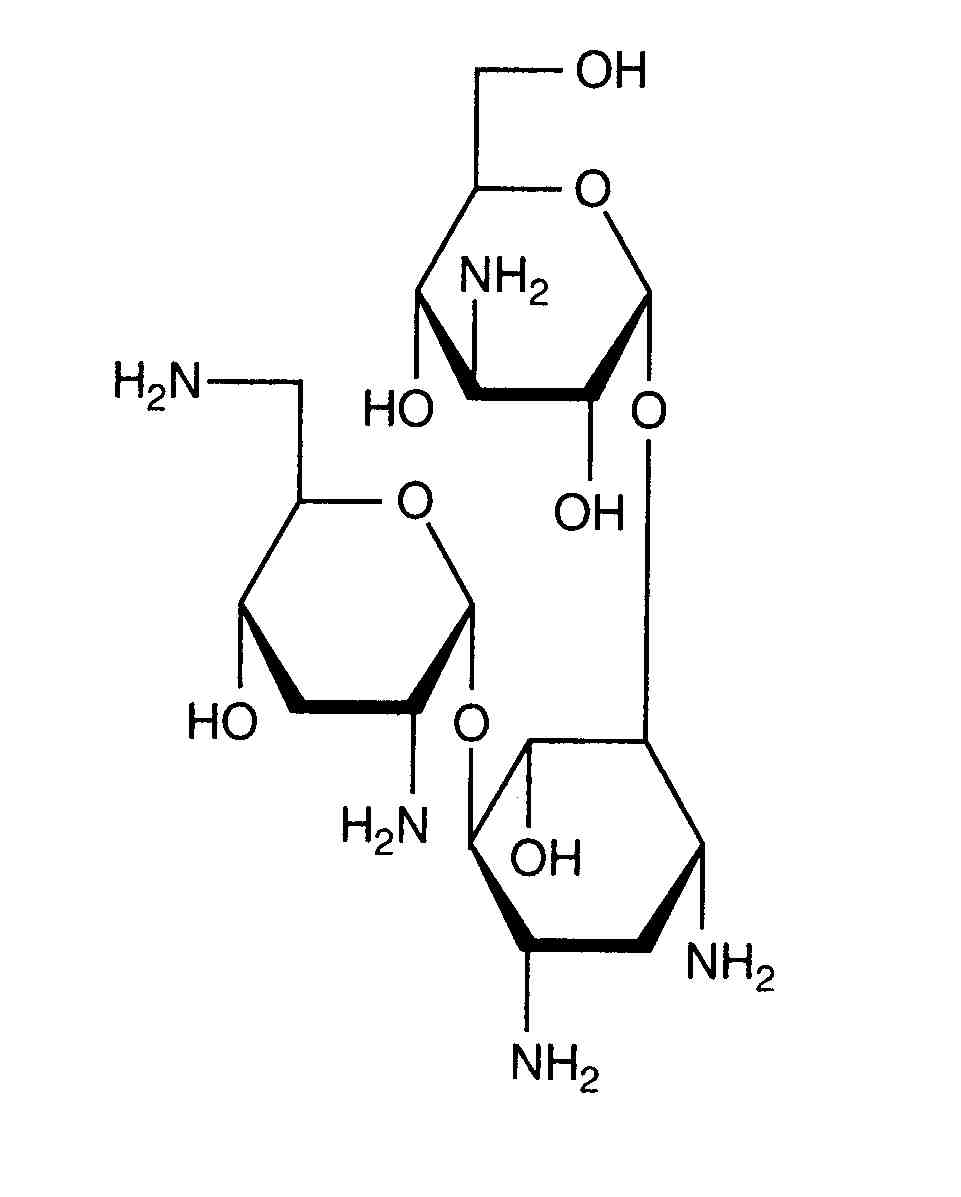
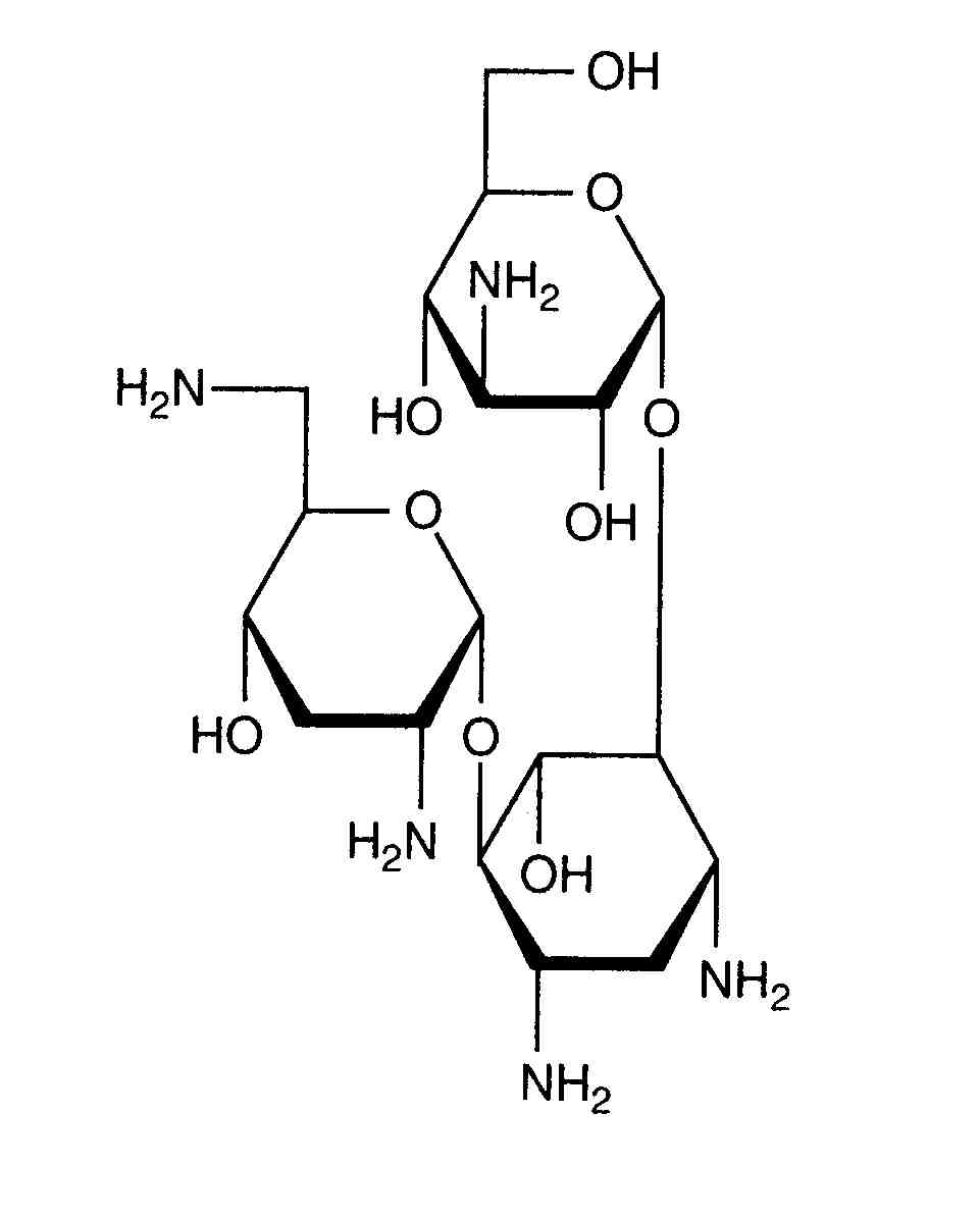
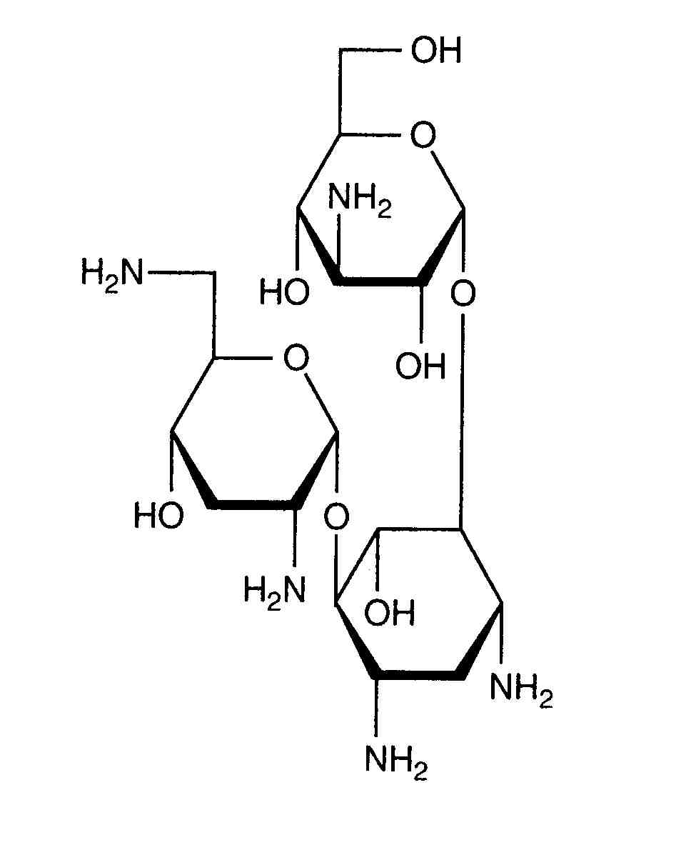
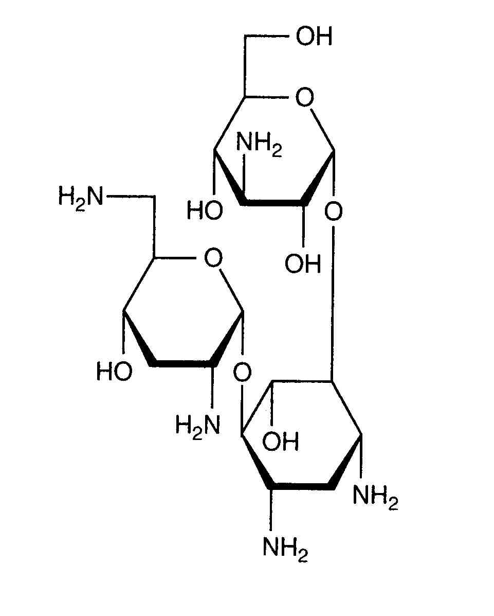
   keemiline struktuur  

Silmatilgad
Stabiilsust mõjutavad tegurid   Silmatilgad   Stabiilsust mõjutavad tegurid : Tobramycin sulfate      
andmed puuduvad

  Mentions Légales