Pēdējā atjaunošana :
27/11/2025
Antibiotika   Tobramycin sulfate   
Acu pilieni
Aerosols Injekcija Orāls šķīdums
Stabilitāte farmaceitisko preparātu Maisījuma stabilitāte Stabilitāti ietekmējoši faktori Saderība Literatūras saraksts pdf
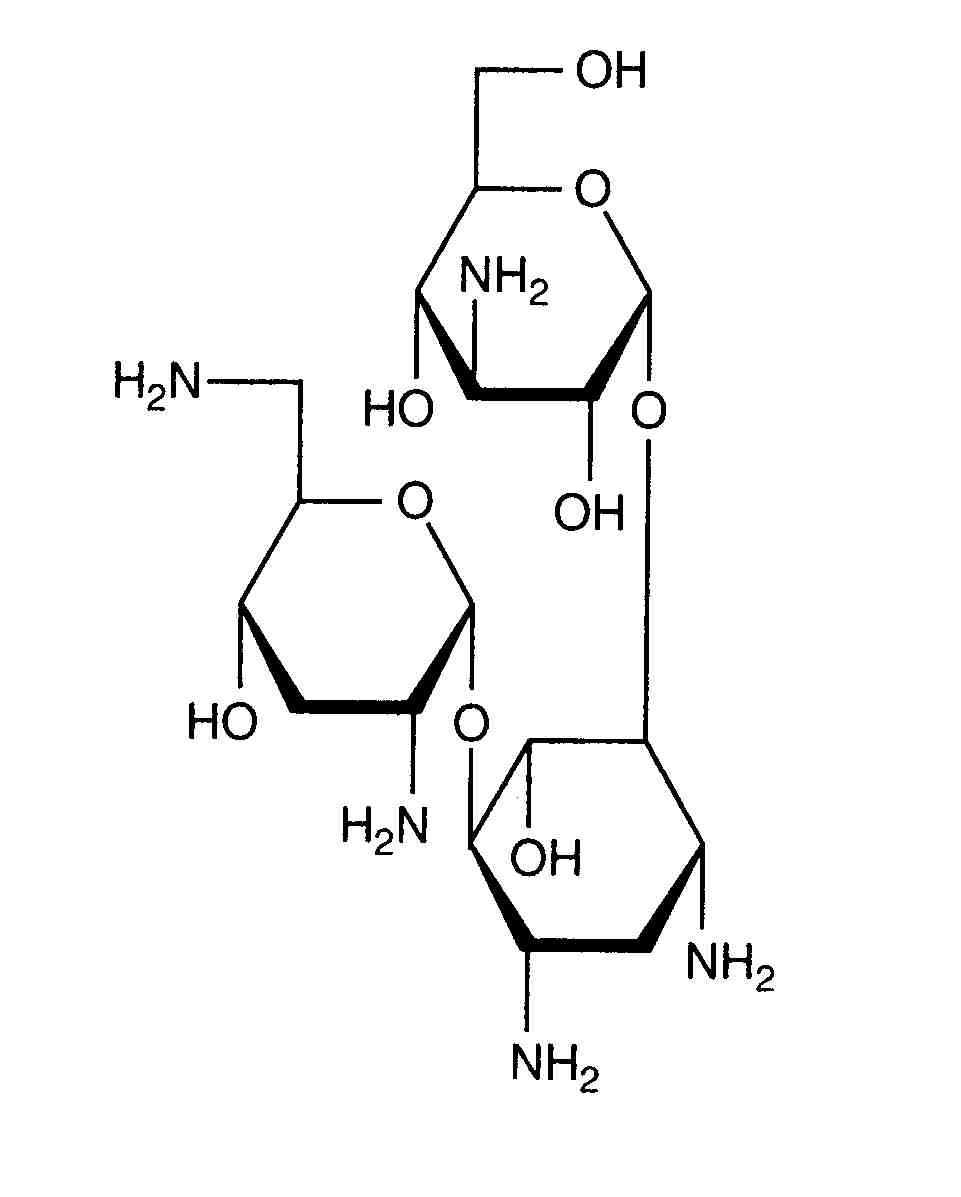
   Ķīmiskā uzbūve   

Acu pilieni
Maisījuma stabilitāte   Acu pilieni   Maisījuma stabilitāte : Tobramycin sulfate      
Nav datu

  Mentions Légales