Ostatnia aktualizacja :
27/11/2025
Antybiotyk   Tobramycin sulfate   
Krople oczne
Aerozol Injekcje Roztwór doustny
Stabilność preparatów farmaceutycznych Trwałość w mieszaninie Czynnik wpływający na trwałość Zgodność Bibliografia pdf
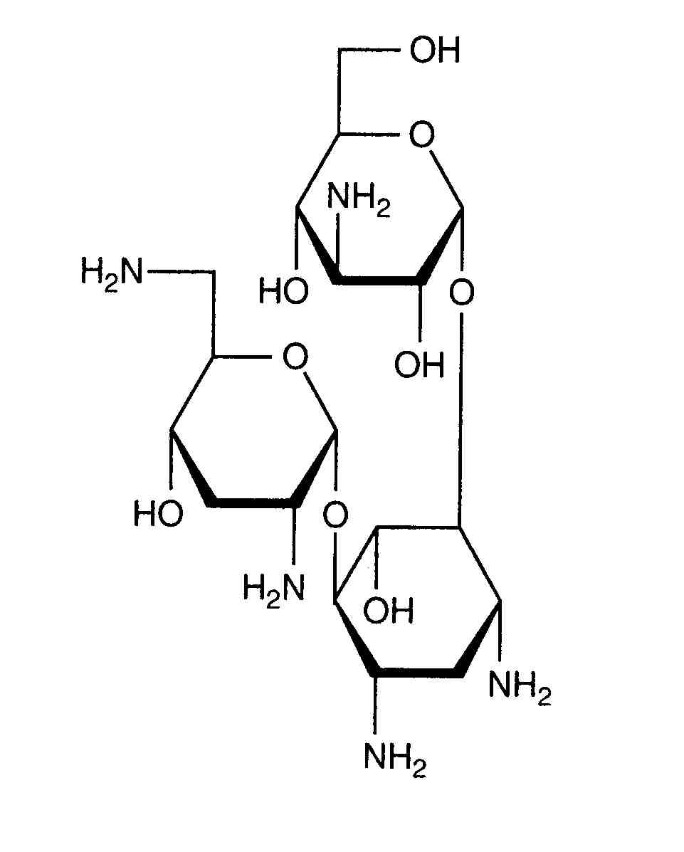
   Struktura chemiczna  

Krople oczne
Trwałość w mieszaninie   Krople oczne   Trwałość w mieszaninie : Tobramycin sulfate      
Brak danych

  Mentions Légales