Utolsó frissítés :
17/12/2025
Antibiotikum   Tobramycin sulfate   
Szemcsepp
aeroszol belsőleges oldat Injekció
Stabilitása gyógyszerészeti készítmények A keverékek stabilitása Stabilitást befolyásoló tényezők Kompatibilitás Irodalom pdf
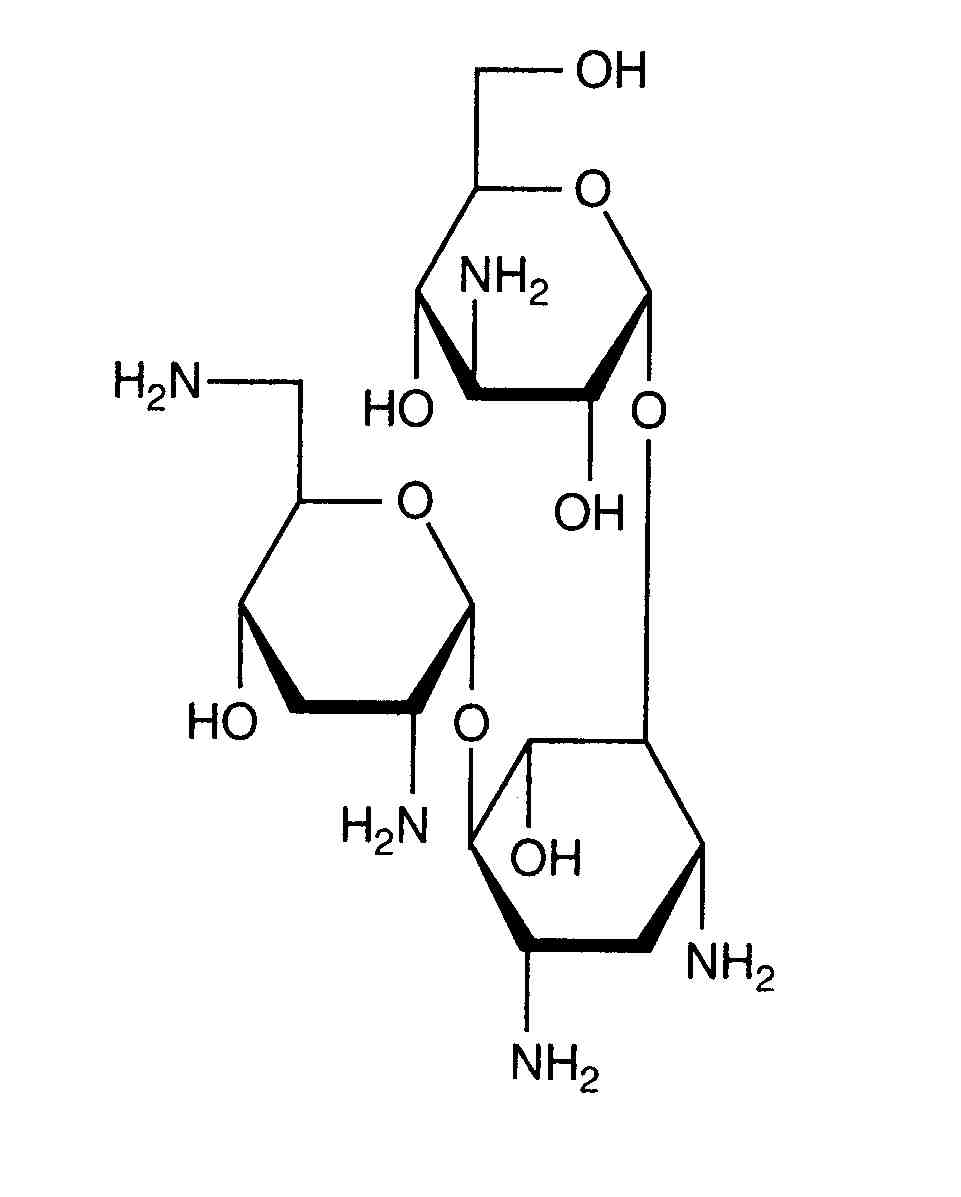
   Kémiai szerkezet   

Szemcsepp
A keverékek stabilitása   Szemcsepp   A keverékek stabilitása : Tobramycin sulfate      
Hiányzó adat

  Mentions Légales