Viimeisin päivitys :
17/12/2025
Antibiootit   Tobramycin sulfate   
Silmätipat
Aerosoli Injektioneste Oraaliliuos
Vakaus lääkevalmisteen Stabilius seoksissa Tekijät, jotka vaikuttavat stabiliuteen Yhteensopivuus Viitteet pdf
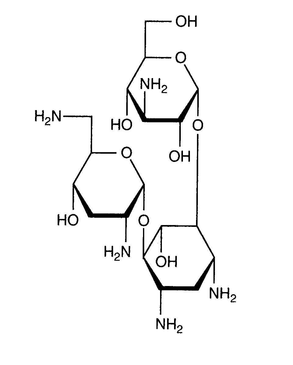
   Kemiallinen rakenne  

Silmätipat
Stabilius seoksissa   Silmätipat   Stabilius seoksissa : Tobramycin sulfate      
ei tietoa

  Mentions Légales